Question: solving differential equation

I'm working on a mecanic's problem and I need to solve a differential equation:

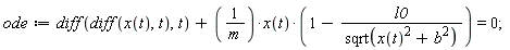
I want to determine x(t) and plot it... 

This is the way I do it: 

(1)

(2)

(3)

 

Download dsolve.mw

 
 
As you can see I have a problem with this equation.
 
Any help is welcome...
Please Wait...