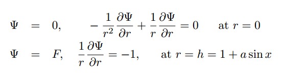
Question: Boundary conditions in cylindrical coordinates

How to include/code/type such type of boundary conditions in maple?

Thanks

 

Please Wait...