Question: How determine number of condition and inf it then substitute in equation ?

i seperate my equation of real part and imaginary part i want  after taking integrale from my real part we see the pattern betwen real and imaginary part  which they equal about variable beside coefficient , i want to determine and find parameter from real part of my equation then substitute in imaginary for solving but  the number of condition i don't know is how much and there is a little bit repeatation how i can determine the correct one and then substitute ?

restart

with(PDEtools)

undeclare(prime, quiet)

declare(u(x, t), quiet); declare(U(xi), quiet); declare(V(xi), quiet)

pde := I*(diff(u(x, t), `$`(t, 2))-s^2*(diff(u(x, t), `$`(x, 2))))+(1/24)*c[1]*(diff(u(x, t), t, `$`(x, 4)))-alpha*s*c[1]*(diff(u(x, t), `$`(x, 5)))+diff(c[2]*u(x, t)*U(-t*v+x)^2, t)-beta*s*(diff(c[2]*u(x, t)*U(-t*v+x)^2, x))

I*(diff(diff(u(x, t), t), t)-s^2*(diff(diff(u(x, t), x), x)))+(1/24)*c[1]*(diff(diff(diff(diff(diff(u(x, t), t), x), x), x), x))-alpha*s*c[1]*(diff(diff(diff(diff(diff(u(x, t), x), x), x), x), x))+c[2]*(diff(u(x, t), t))*U(-t*v+x)^2-2*c[2]*u(x, t)*U(-t*v+x)*(D(U))(-t*v+x)*v-beta*s*(c[2]*(diff(u(x, t), x))*U(-t*v+x)^2+2*c[2]*u(x, t)*U(-t*v+x)*(D(U))(-t*v+x))

(1)

G1 := U(-t*v+x) = U(xi); G2 := (D(U))(-t*v+x) = diff(U(xi), xi); G3 := ((D@@2)(U))(-t*v+x) = diff(U(xi), `$`(xi, 2)); G4 := ((D@@3)(U))(-t*v+x) = diff(U(xi), `$`(xi, 3)); G5 := ((D@@4)(U))(-t*v+x) = diff(U(xi), `$`(xi, 4)); G6 := ((D@@5)(U))(-t*v+x) = diff(U(xi), `$`(xi, 5))

T := xi = -t*v+x; T1 := u(x, t) = U(-t*v+x)*exp(I*k*(t*w+x))

xi = -t*v+x

 

u(x, t) = U(-t*v+x)*exp(I*k*(t*w+x))

(2)

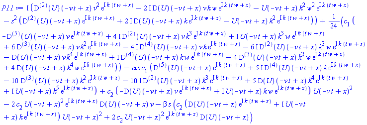
P1 := I*(diff(u(x, t), `$`(t, 2))-s^2*(diff(u(x, t), `$`(x, 2))))+(1/24)*c[1]*(diff(u(x, t), t, `$`(x, 4)))-alpha*s*c[1]*(diff(u(x, t), `$`(x, 5)))+diff(c[2]*u(x, t)*U(-t*v+x)^2, t)-beta*s*(diff(c[2]*u(x, t)*U(-t*v+x)^2, x))

I*(diff(diff(u(x, t), t), t)-s^2*(diff(diff(u(x, t), x), x)))+(1/24)*c[1]*(diff(diff(diff(diff(diff(u(x, t), t), x), x), x), x))-alpha*s*c[1]*(diff(diff(diff(diff(diff(u(x, t), x), x), x), x), x))+c[2]*(diff(u(x, t), t))*U(-t*v+x)^2-2*c[2]*u(x, t)*U(-t*v+x)*(D(U))(-t*v+x)*v-beta*s*(c[2]*(diff(u(x, t), x))*U(-t*v+x)^2+2*c[2]*u(x, t)*U(-t*v+x)*(D(U))(-t*v+x))

(3)

P11 := eval(P1, {T, T1})

I*(((D@@2)(U))(-t*v+x)*v^2*exp(I*k*(t*w+x))-(2*I)*(D(U))(-t*v+x)*v*k*w*exp(I*k*(t*w+x))-U(-t*v+x)*k^2*w^2*exp(I*k*(t*w+x))-s^2*(((D@@2)(U))(-t*v+x)*exp(I*k*(t*w+x))+(2*I)*(D(U))(-t*v+x)*k*exp(I*k*(t*w+x))-U(-t*v+x)*k^2*exp(I*k*(t*w+x))))+(1/24)*c[1]*(-((D@@5)(U))(-t*v+x)*v*exp(I*k*(t*w+x))+(4*I)*((D@@2)(U))(-t*v+x)*v*k^3*exp(I*k*(t*w+x))+I*U(-t*v+x)*k^5*w*exp(I*k*(t*w+x))+6*((D@@3)(U))(-t*v+x)*v*k^2*exp(I*k*(t*w+x))-(4*I)*((D@@4)(U))(-t*v+x)*v*k*exp(I*k*(t*w+x))-(6*I)*((D@@2)(U))(-t*v+x)*k^3*w*exp(I*k*(t*w+x))-(D(U))(-t*v+x)*v*k^4*exp(I*k*(t*w+x))+I*((D@@4)(U))(-t*v+x)*k*w*exp(I*k*(t*w+x))-4*((D@@3)(U))(-t*v+x)*k^2*w*exp(I*k*(t*w+x))+4*(D(U))(-t*v+x)*k^4*w*exp(I*k*(t*w+x)))-alpha*s*c[1]*(((D@@5)(U))(-t*v+x)*exp(I*k*(t*w+x))+(5*I)*((D@@4)(U))(-t*v+x)*k*exp(I*k*(t*w+x))-10*((D@@3)(U))(-t*v+x)*k^2*exp(I*k*(t*w+x))-(10*I)*((D@@2)(U))(-t*v+x)*k^3*exp(I*k*(t*w+x))+5*(D(U))(-t*v+x)*k^4*exp(I*k*(t*w+x))+I*U(-t*v+x)*k^5*exp(I*k*(t*w+x)))+c[2]*(-(D(U))(-t*v+x)*v*exp(I*k*(t*w+x))+I*U(-t*v+x)*k*w*exp(I*k*(t*w+x)))*U(-t*v+x)^2-2*c[2]*U(-t*v+x)^2*exp(I*k*(t*w+x))*(D(U))(-t*v+x)*v-beta*s*(c[2]*((D(U))(-t*v+x)*exp(I*k*(t*w+x))+I*U(-t*v+x)*k*exp(I*k*(t*w+x)))*U(-t*v+x)^2+2*c[2]*U(-t*v+x)^2*exp(I*k*(t*w+x))*(D(U))(-t*v+x))

(4)

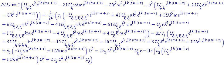
P111 := subs({G1, G2, G3, G4, G5, G6}, P11)

I*((diff(diff(U(xi), xi), xi))*v^2*exp(I*k*(t*w+x))-(2*I)*(diff(U(xi), xi))*v*k*w*exp(I*k*(t*w+x))-U(xi)*k^2*w^2*exp(I*k*(t*w+x))-s^2*((diff(diff(U(xi), xi), xi))*exp(I*k*(t*w+x))+(2*I)*(diff(U(xi), xi))*k*exp(I*k*(t*w+x))-U(xi)*k^2*exp(I*k*(t*w+x))))+(1/24)*c[1]*(-(diff(diff(diff(diff(diff(U(xi), xi), xi), xi), xi), xi))*v*exp(I*k*(t*w+x))+(4*I)*(diff(diff(U(xi), xi), xi))*v*k^3*exp(I*k*(t*w+x))+I*U(xi)*k^5*w*exp(I*k*(t*w+x))+6*(diff(diff(diff(U(xi), xi), xi), xi))*v*k^2*exp(I*k*(t*w+x))-(4*I)*(diff(diff(diff(diff(U(xi), xi), xi), xi), xi))*v*k*exp(I*k*(t*w+x))-(6*I)*(diff(diff(U(xi), xi), xi))*k^3*w*exp(I*k*(t*w+x))-(diff(U(xi), xi))*v*k^4*exp(I*k*(t*w+x))+I*(diff(diff(diff(diff(U(xi), xi), xi), xi), xi))*k*w*exp(I*k*(t*w+x))-4*(diff(diff(diff(U(xi), xi), xi), xi))*k^2*w*exp(I*k*(t*w+x))+4*(diff(U(xi), xi))*k^4*w*exp(I*k*(t*w+x)))-alpha*s*c[1]*((diff(diff(diff(diff(diff(U(xi), xi), xi), xi), xi), xi))*exp(I*k*(t*w+x))+(5*I)*(diff(diff(diff(diff(U(xi), xi), xi), xi), xi))*k*exp(I*k*(t*w+x))-10*(diff(diff(diff(U(xi), xi), xi), xi))*k^2*exp(I*k*(t*w+x))-(10*I)*(diff(diff(U(xi), xi), xi))*k^3*exp(I*k*(t*w+x))+5*(diff(U(xi), xi))*k^4*exp(I*k*(t*w+x))+I*U(xi)*k^5*exp(I*k*(t*w+x)))+c[2]*(-(diff(U(xi), xi))*v*exp(I*k*(t*w+x))+I*U(xi)*k*w*exp(I*k*(t*w+x)))*U(xi)^2-2*c[2]*U(xi)^2*exp(I*k*(t*w+x))*(diff(U(xi), xi))*v-beta*s*(c[2]*((diff(U(xi), xi))*exp(I*k*(t*w+x))+I*U(xi)*k*exp(I*k*(t*w+x)))*U(xi)^2+2*c[2]*U(xi)^2*exp(I*k*(t*w+x))*(diff(U(xi), xi)))

(5)

pde1 := P111 = 0

I*((diff(diff(U(xi), xi), xi))*v^2*exp(I*k*(t*w+x))-(2*I)*(diff(U(xi), xi))*v*k*w*exp(I*k*(t*w+x))-U(xi)*k^2*w^2*exp(I*k*(t*w+x))-s^2*((diff(diff(U(xi), xi), xi))*exp(I*k*(t*w+x))+(2*I)*(diff(U(xi), xi))*k*exp(I*k*(t*w+x))-U(xi)*k^2*exp(I*k*(t*w+x))))+(1/24)*c[1]*(-(diff(diff(diff(diff(diff(U(xi), xi), xi), xi), xi), xi))*v*exp(I*k*(t*w+x))+(4*I)*(diff(diff(U(xi), xi), xi))*v*k^3*exp(I*k*(t*w+x))+I*U(xi)*k^5*w*exp(I*k*(t*w+x))+6*(diff(diff(diff(U(xi), xi), xi), xi))*v*k^2*exp(I*k*(t*w+x))-(4*I)*(diff(diff(diff(diff(U(xi), xi), xi), xi), xi))*v*k*exp(I*k*(t*w+x))-(6*I)*(diff(diff(U(xi), xi), xi))*k^3*w*exp(I*k*(t*w+x))-(diff(U(xi), xi))*v*k^4*exp(I*k*(t*w+x))+I*(diff(diff(diff(diff(U(xi), xi), xi), xi), xi))*k*w*exp(I*k*(t*w+x))-4*(diff(diff(diff(U(xi), xi), xi), xi))*k^2*w*exp(I*k*(t*w+x))+4*(diff(U(xi), xi))*k^4*w*exp(I*k*(t*w+x)))-alpha*s*c[1]*((diff(diff(diff(diff(diff(U(xi), xi), xi), xi), xi), xi))*exp(I*k*(t*w+x))+(5*I)*(diff(diff(diff(diff(U(xi), xi), xi), xi), xi))*k*exp(I*k*(t*w+x))-10*(diff(diff(diff(U(xi), xi), xi), xi))*k^2*exp(I*k*(t*w+x))-(10*I)*(diff(diff(U(xi), xi), xi))*k^3*exp(I*k*(t*w+x))+5*(diff(U(xi), xi))*k^4*exp(I*k*(t*w+x))+I*U(xi)*k^5*exp(I*k*(t*w+x)))+c[2]*(-(diff(U(xi), xi))*v*exp(I*k*(t*w+x))+I*U(xi)*k*w*exp(I*k*(t*w+x)))*U(xi)^2-2*c[2]*U(xi)^2*exp(I*k*(t*w+x))*(diff(U(xi), xi))*v-beta*s*(c[2]*((diff(U(xi), xi))*exp(I*k*(t*w+x))+I*U(xi)*k*exp(I*k*(t*w+x)))*U(xi)^2+2*c[2]*U(xi)^2*exp(I*k*(t*w+x))*(diff(U(xi), xi))) = 0

(6)

numer(lhs(pde1))*denom(rhs(pde1)) = numer(rhs(pde1))*denom(lhs(pde1))

-exp(I*k*(t*w+x))*((diff(U(xi), xi))*k^4*v*c[1]-4*(diff(U(xi), xi))*k^4*w*c[1]-48*(diff(U(xi), xi))*k*v*w+72*c[2]*U(xi)^2*(diff(U(xi), xi))*v-6*(diff(diff(diff(U(xi), xi), xi), xi))*k^2*v*c[1]+4*(diff(diff(diff(U(xi), xi), xi), xi))*k^2*w*c[1]+24*(diff(diff(diff(diff(diff(U(xi), xi), xi), xi), xi), xi))*alpha*s*c[1]-(24*I)*U(xi)*k^2*s^2+(24*I)*U(xi)*k^2*w^2+(24*I)*U(xi)*alpha*k^5*s*c[1]-(240*I)*(diff(diff(U(xi), xi), xi))*alpha*k^3*s*c[1]+(24*I)*U(xi)^3*beta*k*s*c[2]+(120*I)*(diff(diff(diff(diff(U(xi), xi), xi), xi), xi))*alpha*k*s*c[1]+120*(diff(U(xi), xi))*alpha*k^4*s*c[1]+72*(diff(U(xi), xi))*U(xi)^2*beta*s*c[2]-240*(diff(diff(diff(U(xi), xi), xi), xi))*alpha*k^2*s*c[1]-I*U(xi)*k^5*w*c[1]-(4*I)*(diff(diff(U(xi), xi), xi))*k^3*v*c[1]+(6*I)*(diff(diff(U(xi), xi), xi))*k^3*w*c[1]-(24*I)*U(xi)^3*k*w*c[2]+(4*I)*(diff(diff(diff(diff(U(xi), xi), xi), xi), xi))*k*v*c[1]-I*(diff(diff(diff(diff(U(xi), xi), xi), xi), xi))*k*w*c[1]-48*(diff(U(xi), xi))*k*s^2+(diff(diff(diff(diff(diff(U(xi), xi), xi), xi), xi), xi))*v*c[1]+(24*I)*(diff(diff(U(xi), xi), xi))*s^2-(24*I)*(diff(diff(U(xi), xi), xi))*v^2) = 0

(7)

%/(-exp(I*k*(t*w+x)))

(diff(U(xi), xi))*k^4*v*c[1]-4*(diff(U(xi), xi))*k^4*w*c[1]-48*(diff(U(xi), xi))*k*v*w+72*c[2]*U(xi)^2*(diff(U(xi), xi))*v-6*(diff(diff(diff(U(xi), xi), xi), xi))*k^2*v*c[1]+4*(diff(diff(diff(U(xi), xi), xi), xi))*k^2*w*c[1]+24*(diff(diff(diff(diff(diff(U(xi), xi), xi), xi), xi), xi))*alpha*s*c[1]-(24*I)*U(xi)*k^2*s^2+(24*I)*U(xi)*k^2*w^2+(24*I)*U(xi)*alpha*k^5*s*c[1]-(240*I)*(diff(diff(U(xi), xi), xi))*alpha*k^3*s*c[1]+(24*I)*U(xi)^3*beta*k*s*c[2]+(120*I)*(diff(diff(diff(diff(U(xi), xi), xi), xi), xi))*alpha*k*s*c[1]+120*(diff(U(xi), xi))*alpha*k^4*s*c[1]+72*(diff(U(xi), xi))*U(xi)^2*beta*s*c[2]-240*(diff(diff(diff(U(xi), xi), xi), xi))*alpha*k^2*s*c[1]-I*U(xi)*k^5*w*c[1]-(4*I)*(diff(diff(U(xi), xi), xi))*k^3*v*c[1]+(6*I)*(diff(diff(U(xi), xi), xi))*k^3*w*c[1]-(24*I)*U(xi)^3*k*w*c[2]+(4*I)*(diff(diff(diff(diff(U(xi), xi), xi), xi), xi))*k*v*c[1]-I*(diff(diff(diff(diff(U(xi), xi), xi), xi), xi))*k*w*c[1]-48*(diff(U(xi), xi))*k*s^2+(diff(diff(diff(diff(diff(U(xi), xi), xi), xi), xi), xi))*v*c[1]+(24*I)*(diff(diff(U(xi), xi), xi))*s^2-(24*I)*(diff(diff(U(xi), xi), xi))*v^2 = 0

(8)

Re(%)

Re((diff(U(xi), xi))*k^4*v*c[1]-4*(diff(U(xi), xi))*k^4*w*c[1]-48*(diff(U(xi), xi))*k*v*w+72*c[2]*U(xi)^2*(diff(U(xi), xi))*v-6*(diff(diff(diff(U(xi), xi), xi), xi))*k^2*v*c[1]+4*(diff(diff(diff(U(xi), xi), xi), xi))*k^2*w*c[1]+24*(diff(diff(diff(diff(diff(U(xi), xi), xi), xi), xi), xi))*alpha*s*c[1]+120*(diff(U(xi), xi))*alpha*k^4*s*c[1]+72*(diff(U(xi), xi))*U(xi)^2*beta*s*c[2]-240*(diff(diff(diff(U(xi), xi), xi), xi))*alpha*k^2*s*c[1]-48*(diff(U(xi), xi))*k*s^2+(diff(diff(diff(diff(diff(U(xi), xi), xi), xi), xi), xi))*v*c[1])-Im(-24*U(xi)*k^2*s^2+24*U(xi)*k^2*w^2+24*U(xi)*alpha*k^5*s*c[1]-240*(diff(diff(U(xi), xi), xi))*alpha*k^3*s*c[1]+24*U(xi)^3*beta*k*s*c[2]+120*(diff(diff(diff(diff(U(xi), xi), xi), xi), xi))*alpha*k*s*c[1]-U(xi)*k^5*w*c[1]-4*(diff(diff(U(xi), xi), xi))*k^3*v*c[1]+6*(diff(diff(U(xi), xi), xi))*k^3*w*c[1]-24*U(xi)^3*k*w*c[2]+4*(diff(diff(diff(diff(U(xi), xi), xi), xi), xi))*k*v*c[1]-(diff(diff(diff(diff(U(xi), xi), xi), xi), xi))*k*w*c[1]+24*(diff(diff(U(xi), xi), xi))*s^2-24*(diff(diff(U(xi), xi), xi))*v^2) = 0

(9)

R := (diff(U(xi), xi))*k^4*v*c[1]-4*(diff(U(xi), xi))*k^4*w*c[1]-48*(diff(U(xi), xi))*k*v*w+72*c[2]*U(xi)^2*(diff(U(xi), xi))*v-6*(diff(diff(diff(U(xi), xi), xi), xi))*k^2*v*c[1]+4*(diff(diff(diff(U(xi), xi), xi), xi))*k^2*w*c[1]+24*(diff(diff(diff(diff(diff(U(xi), xi), xi), xi), xi), xi))*alpha*s*c[1]+120*(diff(U(xi), xi))*alpha*k^4*s*c[1]+72*(diff(U(xi), xi))*U(xi)^2*beta*s*c[2]-240*(diff(diff(diff(U(xi), xi), xi), xi))*alpha*k^2*s*c[1]-48*(diff(U(xi), xi))*k*s^2+(diff(diff(diff(diff(diff(U(xi), xi), xi), xi), xi), xi))*v*c[1] = 0

(diff(U(xi), xi))*k^4*v*c[1]-4*(diff(U(xi), xi))*k^4*w*c[1]-48*(diff(U(xi), xi))*k*v*w+72*c[2]*U(xi)^2*(diff(U(xi), xi))*v-6*(diff(diff(diff(U(xi), xi), xi), xi))*k^2*v*c[1]+4*(diff(diff(diff(U(xi), xi), xi), xi))*k^2*w*c[1]+24*(diff(diff(diff(diff(diff(U(xi), xi), xi), xi), xi), xi))*alpha*s*c[1]+120*(diff(U(xi), xi))*alpha*k^4*s*c[1]+72*(diff(U(xi), xi))*U(xi)^2*beta*s*c[2]-240*(diff(diff(diff(U(xi), xi), xi), xi))*alpha*k^2*s*c[1]-48*(diff(U(xi), xi))*k*s^2+(diff(diff(diff(diff(diff(U(xi), xi), xi), xi), xi), xi))*v*c[1] = 0

(10)

collect(R, {U(xi), diff(U(xi), xi), diff(U(xi), `$`(xi, 3)), diff(diff(U(xi), xi), xi), diff(diff(diff(diff(diff(U(xi), xi), xi), xi), xi), xi)})

(72*beta*s*c[2]+72*v*c[2])*(diff(U(xi), xi))*U(xi)^2+(120*alpha*k^4*s*c[1]+k^4*v*c[1]-4*k^4*w*c[1]-48*k*s^2-48*k*v*w)*(diff(U(xi), xi))+(-240*alpha*k^2*s*c[1]-6*k^2*v*c[1]+4*k^2*w*c[1])*(diff(diff(diff(U(xi), xi), xi), xi))+(24*alpha*s*c[1]+v*c[1])*(diff(diff(diff(diff(diff(U(xi), xi), xi), xi), xi), xi)) = 0

(11)

map(int, (72*beta*s*c[2]+72*v*c[2])*(diff(U(xi), xi))*U(xi)^2+(120*alpha*k^4*s*c[1]+k^4*v*c[1]-4*k^4*w*c[1]-48*k*s^2-48*k*v*w)*(diff(U(xi), xi))+(-240*alpha*k^2*s*c[1]-6*k^2*v*c[1]+4*k^2*w*c[1])*(diff(diff(diff(U(xi), xi), xi), xi))+(24*alpha*s*c[1]+v*c[1])*(diff(diff(diff(diff(diff(U(xi), xi), xi), xi), xi), xi)) = 0, xi)

(24*alpha*s*c[1]+v*c[1])*(diff(diff(diff(diff(U(xi), xi), xi), xi), xi))+(-240*alpha*k^2*s*c[1]-6*k^2*v*c[1]+4*k^2*w*c[1])*(diff(diff(U(xi), xi), xi))+(120*alpha*k^4*s*c[1]+k^4*v*c[1]-4*k^4*w*c[1]-48*k*s^2-48*k*v*w)*U(xi)+(1/3)*(72*beta*s*c[2]+72*v*c[2])*U(xi)^3 = 0

(12)

numer(lhs((24*alpha*s*c[1]+v*c[1])*(diff(diff(diff(diff(U(xi), xi), xi), xi), xi))+(-240*alpha*k^2*s*c[1]-6*k^2*v*c[1]+4*k^2*w*c[1])*(diff(diff(U(xi), xi), xi))+(120*alpha*k^4*s*c[1]+k^4*v*c[1]-4*k^4*w*c[1]-48*k*s^2-48*k*v*w)*U(xi)+(1/3)*(72*beta*s*c[2]+72*v*c[2])*U(xi)^3 = 0))*denom(rhs((24*alpha*s*c[1]+v*c[1])*(diff(diff(diff(diff(U(xi), xi), xi), xi), xi))+(-240*alpha*k^2*s*c[1]-6*k^2*v*c[1]+4*k^2*w*c[1])*(diff(diff(U(xi), xi), xi))+(120*alpha*k^4*s*c[1]+k^4*v*c[1]-4*k^4*w*c[1]-48*k*s^2-48*k*v*w)*U(xi)+(1/3)*(72*beta*s*c[2]+72*v*c[2])*U(xi)^3 = 0)) = numer(rhs((24*alpha*s*c[1]+v*c[1])*(diff(diff(diff(diff(U(xi), xi), xi), xi), xi))+(-240*alpha*k^2*s*c[1]-6*k^2*v*c[1]+4*k^2*w*c[1])*(diff(diff(U(xi), xi), xi))+(120*alpha*k^4*s*c[1]+k^4*v*c[1]-4*k^4*w*c[1]-48*k*s^2-48*k*v*w)*U(xi)+(1/3)*(72*beta*s*c[2]+72*v*c[2])*U(xi)^3 = 0))*denom(lhs((24*alpha*s*c[1]+v*c[1])*(diff(diff(diff(diff(U(xi), xi), xi), xi), xi))+(-240*alpha*k^2*s*c[1]-6*k^2*v*c[1]+4*k^2*w*c[1])*(diff(diff(U(xi), xi), xi))+(120*alpha*k^4*s*c[1]+k^4*v*c[1]-4*k^4*w*c[1]-48*k*s^2-48*k*v*w)*U(xi)+(1/3)*(72*beta*s*c[2]+72*v*c[2])*U(xi)^3 = 0))

120*U(xi)*alpha*k^4*s*c[1]+U(xi)*k^4*v*c[1]-4*U(xi)*k^4*w*c[1]-240*(diff(diff(U(xi), xi), xi))*alpha*k^2*s*c[1]+24*U(xi)^3*beta*s*c[2]-6*(diff(diff(U(xi), xi), xi))*k^2*v*c[1]+4*(diff(diff(U(xi), xi), xi))*k^2*w*c[1]+24*U(xi)^3*v*c[2]+24*(diff(diff(diff(diff(U(xi), xi), xi), xi), xi))*alpha*s*c[1]-48*U(xi)*k*s^2-48*U(xi)*k*v*w+(diff(diff(diff(diff(U(xi), xi), xi), xi), xi))*v*c[1] = 0

(13)

RR := collect(%, {U(xi), diff(U(xi), xi), diff(U(xi), `$`(xi, 3)), diff(diff(U(xi), xi), xi), diff(diff(diff(diff(U(xi), xi), xi), xi), xi), diff(diff(diff(diff(diff(U(xi), xi), xi), xi), xi), xi)})

(24*beta*s*c[2]+24*v*c[2])*U(xi)^3+(120*alpha*k^4*s*c[1]+k^4*v*c[1]-4*k^4*w*c[1]-48*k*s^2-48*k*v*w)*U(xi)+(-240*alpha*k^2*s*c[1]-6*k^2*v*c[1]+4*k^2*w*c[1])*(diff(diff(U(xi), xi), xi))+(24*alpha*s*c[1]+v*c[1])*(diff(diff(diff(diff(U(xi), xi), xi), xi), xi)) = 0

(14)

IM := 24*U(xi)*k^2*s^2-24*U(xi)*k^2*w^2-24*U(xi)*alpha*k^5*s*c[1]+240*(diff(diff(U(xi), xi), xi))*alpha*k^3*s*c[1]-24*U(xi)^3*beta*k*s*c[2]-120*(diff(diff(diff(diff(U(xi), xi), xi), xi), xi))*alpha*k*s*c[1]+U(xi)*k^5*w*c[1]+4*(diff(diff(U(xi), xi), xi))*k^3*v*c[1]-6*(diff(diff(U(xi), xi), xi))*k^3*w*c[1]+24*U(xi)^3*k*w*c[2]-4*(diff(diff(diff(diff(U(xi), xi), xi), xi), xi))*k*v*c[1]+(diff(diff(diff(diff(U(xi), xi), xi), xi), xi))*k*w*c[1]-24*(diff(diff(U(xi), xi), xi))*s^2+24*(diff(diff(U(xi), xi), xi))*v^2 = 0

collect(IM, {U(xi), diff(U(xi), xi), diff(U(xi), `$`(xi, 3)), diff(diff(U(xi), xi), xi), diff(diff(diff(diff(U(xi), xi), xi), xi), xi), diff(diff(diff(diff(diff(U(xi), xi), xi), xi), xi), xi)})

P := %

(-24*beta*k*s*c[2]+24*k*w*c[2])*U(xi)^3+(-24*alpha*k^5*s*c[1]+k^5*w*c[1]+24*k^2*s^2-24*k^2*w^2)*U(xi)+(240*alpha*k^3*s*c[1]+4*k^3*v*c[1]-6*k^3*w*c[1]-24*s^2+24*v^2)*(diff(diff(U(xi), xi), xi))+(-120*alpha*k*s*c[1]-4*k*v*c[1]+k*w*c[1])*(diff(diff(diff(diff(U(xi), xi), xi), xi), xi)) = 0

(15)

NULL

NULL

C1 := v = solve(24*beta*s*c[2]+24*v*c[2] = 0, v)

v = -beta*s

(16)

C2 := w = solve(120*alpha*k^4*s*c[1]+k^4*v*c[1]-4*k^4*w*c[1]-48*k*s^2-48*k*v*w = 0, w)

w = (1/4)*(120*alpha*k^3*s*c[1]+k^3*v*c[1]-48*s^2)/(k^3*c[1]+12*v)

(17)

C3 := alpha = solve(-240*alpha*k^2*s*c[1]-6*k^2*v*c[1]+4*k^2*w*c[1] = 0, alpha)

alpha = -(1/120)*(3*v-2*w)/s

(18)

ode1 := subs({C1, C2, C3}, P)

(-24*beta*k*s*c[2]+6*k*(120*alpha*k^3*s*c[1]+k^3*v*c[1]-48*s^2)*c[2]/(k^3*c[1]+12*v))*U(xi)^3+((1/5)*(3*v-2*w)*k^5*c[1]+(1/4)*k^5*(120*alpha*k^3*s*c[1]+k^3*v*c[1]-48*s^2)*c[1]/(k^3*c[1]+12*v)+24*k^2*s^2-(3/2)*k^2*(120*alpha*k^3*s*c[1]+k^3*v*c[1]-48*s^2)^2/(k^3*c[1]+12*v)^2)*U(xi)+(-2*(3*v-2*w)*k^3*c[1]-4*k^3*beta*s*c[1]-(3/2)*k^3*(120*alpha*k^3*s*c[1]+k^3*v*c[1]-48*s^2)*c[1]/(k^3*c[1]+12*v)-24*s^2+24*beta^2*s^2)*(diff(diff(U(xi), xi), xi))+((3*v-2*w)*k*c[1]+4*k*beta*s*c[1]+(1/4)*k*(120*alpha*k^3*s*c[1]+k^3*v*c[1]-48*s^2)*c[1]/(k^3*c[1]+12*v))*(diff(diff(diff(diff(U(xi), xi), xi), xi), xi)) = 0

(19)

Download F-condition_and_replacing.mw

Please Wait...