Question: why dsolve losses one solution when asked to use the method explicitly?

Solving an ode, dsolve says it used exact method and gives two solutions as result (correct result).

But when asking dsolve to solve same ode but now specifying that it uses exact method (i.e. same one it used itself before), now it gives one solution only, not two as before.

Why is that? Should not both commands give same result? i.e. two solutions?

interface(version);

`Standard Worksheet Interface, Maple 2025.1, Linux, June 12 2025 Build ID 1932578`

SupportTools:-Version()

`The Customer Support Updates version in the MapleCloud is 29 and is the same as the version installed in this computer, created June 23, 2025, 10:25 hours Eastern Time.`

Physics:-Version()

`The "Physics Updates" version in the MapleCloud is 1881 and is the same as the version installed in this computer, created 2025, October 7, 16:4 hours Pacific Time.`

restart;

ode:=3*y(x)^3*x^2+y(x)^4+(3*x^3*y(x)^2+y(x)^4+4*x*y(x)^3)*diff(y(x),x) = 0;
DEtools:-odeadvisor(ode);
infolevel[dsolve]:=5:

3*y(x)^3*x^2+y(x)^4+(3*x^3*y(x)^2+y(x)^4+4*x*y(x)^3)*(diff(y(x), x)) = 0

[_exact, _rational]

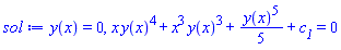
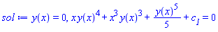
sol:=dsolve(ode); #gives two solutions

Classification methods on request

Methods to be used are: [exact]

----------------------------

* Tackling ODE using method: exact

--- Trying classification methods ---

trying exact

<- exact successful

y(x) = 0, x*y(x)^4+x^3*y(x)^3+(1/5)*y(x)^5+c__1 = 0

maple_sol:=dsolve(ode,[exact]);  #why y=0 solution do not show here??

Classification methods on request

Methods to be used are: [exact]

----------------------------

* Tackling ODE using method: exact

--- Trying classification methods ---

trying exact

<- exact successful

x*y(x)^4+x^3*y(x)^3+(1/5)*y(x)^5+c__1 = 0

sol:=dsolve(ode); #gives two solutions again

Classification methods on request

Methods to be used are: [exact]

----------------------------

* Tackling ODE using method: exact

--- Trying classification methods ---

trying exact

<- exact successful

y(x) = 0, x*y(x)^4+x^3*y(x)^3+(1/5)*y(x)^5+c__1 = 0

 

 

Download why_different_solutions_maple_2025_1_oct_22_2025.mw

Please Wait...