Question: Problem in differential equation?

Hi,

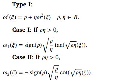
I want to solve the equation shown in the image, along with its given conditions, using Maple and obtain the same results as in the image, but it does not work. Could you please help me?

NULL

restart:
interface(showassumed = 0):


df := diff(w(xi), xi) = rho + eta*w(xi)^2:

 

# Condition (1): rho * eta>0,
assume(rho * eta>0);

w1 := dsolve([df, w(0)=0]);

w(xi) = tan(xi*(rho*eta)^(1/2))*(rho*eta)^(1/2)/eta

(1)
 

 

Download 852.mw

Please Wait...