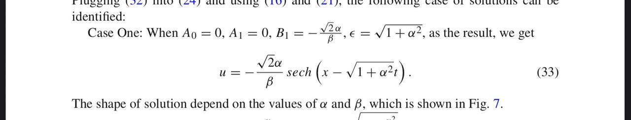
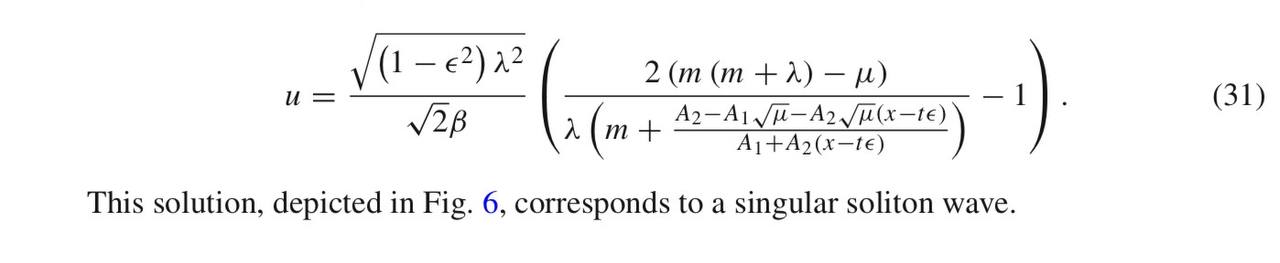
Question: How calculate this integral test for stability?

I am trying to calculate the stability of my solution using this integral test:

U = 1/2 * ∫ u(x,t)^2 dx

Then I want to compute the derivative with respect to epsilon and check if the result is greater than zero or less than zero.

I tried to do it in Maple but it is not working correctly.

Also, I want to substitute random numbers for the parameters to test stability. I prefer to use simple integer values like 1, 2, 3, etc., not decimal numbers. When I try random values, sometimes the result does not evaluate or gives complicated output.

S-test.mw

Please Wait...