Axel Vogt

5941 Reputation

20 Badges

21 years, 5 days
Munich, Bavaria, Germany

MaplePrimes Activity


These are answers submitted by Axel Vogt

For me it is a bug: the inner integral evaluates (as Georgios Kokovidis shows) and
after that Maple runs into troubles, if r is not specified further (using Maple 15)

you have a typo: what is beta8?

And may be, there is no solution (have not tried 'fsolve' seriously).

  (1/200*(x-r))*r*(1+(a+(1/400)*(1+a^2)^(3/2)*r^2)^2)^(3/2);
  subs((1+a^2)^(3/2) = b, %);
  int(%,r):
  subs(b=(1+a^2)^(3/2), %):
  simplify(%, power):
  eval(%, r=x) - eval(%, r=0):
  simplify(%, radical):
  factor(%): simplify(%, size); # assuming 0 < x:
  F:=unapply(%, a,x);

This is a symbolic result for the integral (though I have ignored to check
it and I also did not care, whether the fundamental theorem applies, i.e.
whether the anti-derivative is continous [will depend on a]).

  F(1,5):
  evalf(%);
                                                -9
                  0.3195877736 + 0.3858819604 10   I

With conditions on the parameters you can ignore the imaginary part

What is meant by those terms, using mathematical words?

1.
With some corrections:

symMonomial := proc(test::list)
 local h,i,j,k,ki,c;
 uses combinat; #with(combinat);
 
 c:= copy(test);
 
 h := 0;
 for i from 1 to nops(test) do
     h[i] := choose(test,i);
 od;
 
 k := 0;
 for k from 1 to nops(test) do
     c[k] := 0;
     for i from 1 to nops(h[k]) do
         ki := 1;
         for j from 1 to nops(h[k][i]) do
             ki := ki*h[k][i,j];
         od;
         c[k] := c[k] + ki;
     od;
 od;
 return c;
end proc;


symMonomial([x1, x2, x3]);

           [x1 + x2 + x3, x1 x2 + x1 x3 + x2 x3, x1 x2 x3]

2.
However if you remember, that the elementary symmetric functions can be obtained
as the coefficients of an univariate polynomial, then you can do:

  L := [x1, x2, x3];
  product(X+L[i],i=1..nops(L));
  expand(%);
  #coeffs(%, X);
  PolynomialTools[CoefficientList](%, X); # sorted by degree

          [x1 x2 x3, x1 x3 + x1 x2 + x2 x3, x1 + x3 + x2, 1]

I do not see, how a C-style '++' would answer your question, but
[seq([seq(i, j = i .. 5)], i = 1 .. 5)];
map(nops, %);
convert(%,`+`); # sum up

                                  15

Have not tried to use your code (sorry) and would expect *Maple Support* to answer

But usually I plot (Standard interface, even if it is not perfct) and if I need an export,
then I save as HTML, which gives me gifs in reasonable quality

v4 means to find

Int(1/(r^2-(a+x)^2)^(1/2)*exp(-x^2),x);
                        /            2
                       |       exp(-x )
                       |  ------------------ dx
                       |    2          2 1/2
                      /   (r  - (a + x) )

may be a series for 1/sqrt may help

Or likewise Int(1/(1-(b+x*s)^2)^(1/2)*exp(-x^2),x)

You have more equations than variables ...

the 1st can be substituted into the 2nd and 3rd,
only the last contains Wc, so solve that and now
check, whether that satisfies the (new) 2nd, but
as it had not been depending on Wc ...

Thus the (new) 2nd equation must be satisfied
or not by reasons not depending on Wc

For me it remains unclear, why as user I can not use the
usual notation as it is done in Mathematics:

k |-> (y |-> y^k)

If you do not want to type in the expression again and you only have
few of them, then you can export as Maple input (file type *.mpl).

This is a pure text file, from you can copy easily (no formattings).

Try to execute each command in a separate group (to see, where it happens)
and activate to show 'invisible' characters (menu bar / view / in classical Maple)

where the last error message indicates, that you may be a victim of the
standard interface

in reply to http://www.mapleprimes.com/questions/123502-Once-Again-An-Asymptotic-Series-Problem#comment123641
(because comments do not give updates to a thread ...)

Khan,

I guess you mean eq (3) in your attached pdf?

Sorry, my knowledge about DEs is too much limited for a reasonable answer,
may be others can help - but for that it would be better to open a new thread
with a specific question (this one here is becoming quite long now and usually
nobody would step in, as s/he would have to read everything before).

For checking symbolical solutions there commands in Maple like ?odetest

But best would be to start a new thread

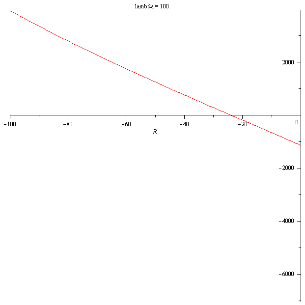
I want to bet: it has roots

Here some animated plot, it seems that for increasing lambda (=your lower case L)
there may be no solution for negativ R3 - could that be?

First 40 41 42 43 44 45 46 Last Page 42 of 93