maple fan

205 Reputation

14 Badges

17 years, 223 days

MaplePrimes Activity


These are replies submitted by maple fan

@Markiyan Hirnyk 

I got two point coordinates with fortran,
d=400e-10,betar=2.13972055888224,betai=2.90030000251869e-3
d=400e-10,betar=2.43413173652695,betai=1.89019000247816e-2

thank you for your comments,Markiyan Hirnyk.


still need method with maple.

@Markiyan Hirnyk the first point is d=400e-10, beta in the (2.1+I*1e-3..2.2+I*1e-2), the second point is d=400e-10, beta in the (2.25+I*1e-2..2.5+0.1*I).I got the interval for beta from a article, so it's approximate value,not exact value.

@Markiyan Hirnyk the first point is d=400e-10, beta in the (2.1+I*1e-3..2.2+I*1e-2), the second point is d=400e-10, beta in the (2.25+I*1e-2..2.5+0.1*I).I got the interval for beta from a article, so it's approximate value,not exact value.

Markiyan Hirnyk, thank you very much for your help.

I'm very appreciated for your method.

But there are some problems.

1. d is an independent variable, beta is a dependent variable. when betar is a constant, then d is a constant too,so does betai. I can't understand your plot between d and betai.

2. Even if your plot is right, the data in the plot is wrong. I supplied two points coordinate which were not included with your plot.

Finally, I use fortran, it solved my problem. firstly produce mesh grid point, second substitute the coordinates into the expression, plot the result, the supplied two points is easy to get although it's approximate. the same steps in maple are so slow, I can't wait more.

thank you all the same, my friend.

Still want to know how to solve the problem with Maple, I'm still waiting for someone to solve it.

Markiyan Hirnyk, thank you very much for your help.

I'm very appreciated for your method.

But there are some problems.

1. d is an independent variable, beta is a dependent variable. when betar is a constant, then d is a constant too,so does betai. I can't understand your plot between d and betai.

2. Even if your plot is right, the data in the plot is wrong. I supplied two points coordinate which were not included with your plot.

Finally, I use fortran, it solved my problem. firstly produce mesh grid point, second substitute the coordinates into the expression, plot the result, the supplied two points is easy to get although it's approximate. the same steps in maple are so slow, I can't wait more.

thank you all the same, my friend.

Still want to know how to solve the problem with Maple, I'm still waiting for someone to solve it.

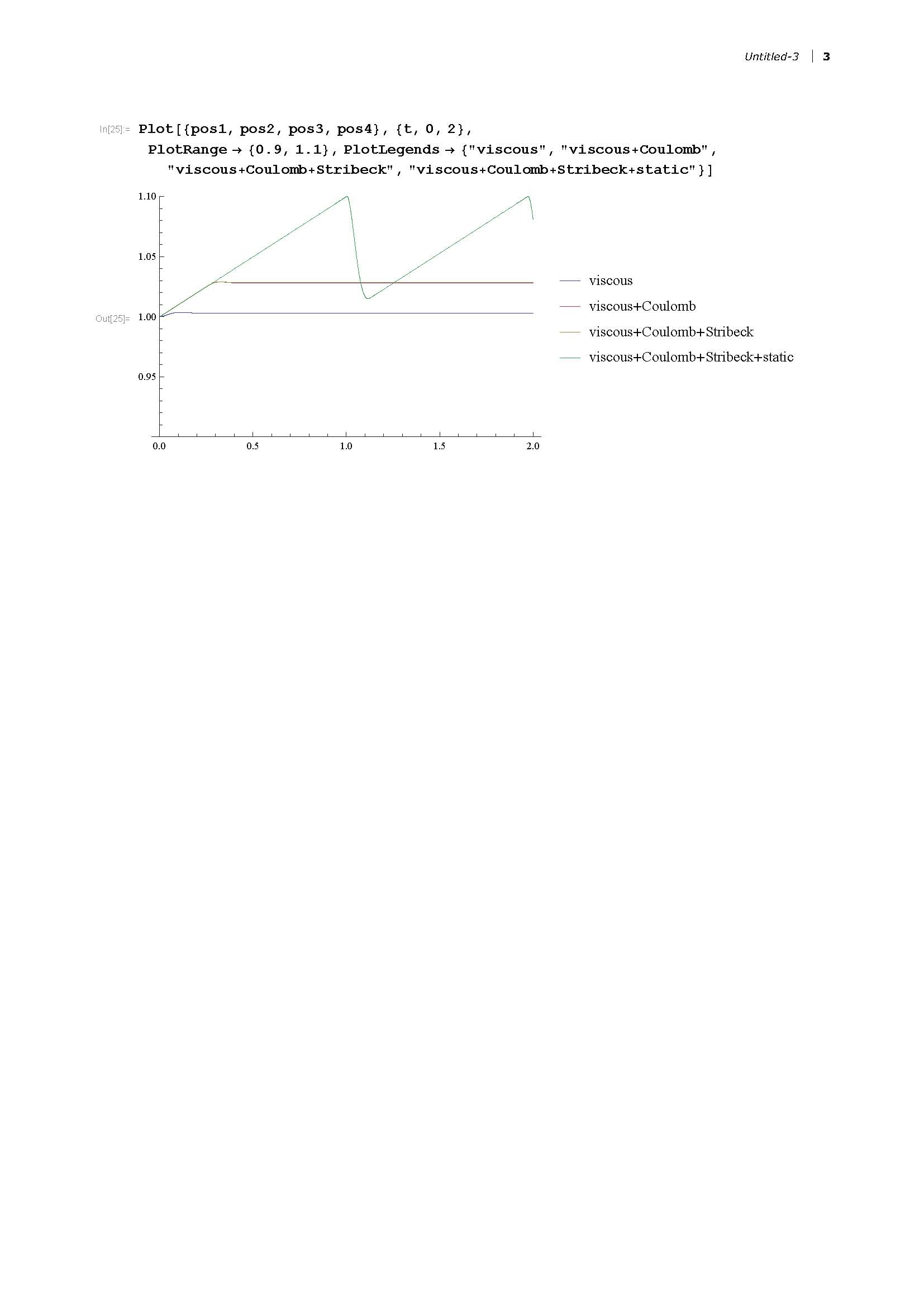
solutions of the first three models, still looking for the solution of the fourth model...

restart;
m, l := 1., 1.;
beltv := proc (t) options operator, arrow; .1 end proc;
spring := proc (x) options operator, arrow; 1000.*(l-x) end proc;
sys1 := [m*(diff(x(t), t, t)) = spring(x(t))+friction1(diff(x(t), t)), x(0) = 1, (D(x))(0) = 0];
viscous := proc (v) options operator, arrow; (-1)*30.*(v-beltv(t)) end proc;
friction1 := proc (v) options operator, arrow; viscous(v) end proc;
friction1(v);
sys1;
sol1 := dsolve(sys1, numeric, output = listprocedure, range = 0 .. 2);
plots[odeplot](sol1, [t, x(t)], 0 .. 1, gridlines = true, thickness = 2, refine = 2);
plots[odeplot](sol1, [[t, diff(x(t), t)], [t, beltv(t)]], 0 .. 1, gridlines = true, thickness = 2, refine = 2);
sys2 := [m*(diff(x(t), t, t)) = spring(x(t))+friction2(diff(x(t), t)), x(0) = 1, (D(x))(0) = 0];
coulomb := proc (v) options operator, arrow; (-1)*25.*signum(v-beltv(t)) end proc;
friction2 := proc (v) options operator, arrow; viscous(v)+coulomb(v) end proc;
friction2(v);
sys2;
sol2 := dsolve(sys2, numeric, method = classical[abmoulton], stepsize = 0.4500000e-4, output = listprocedure);
plots[odeplot](sol2, [t, x(t)], 0 .. 1, gridlines = true, thickness = 2);
plots[odeplot](sol2, [[t, diff(x(t), t)], [t, beltv(t)]], 0 .. 1, gridlines = true, thickness = 2, numpoints = 500);
sys3 := [m*(diff(x(t), t, t)) = spring(x(t))+friction3(diff(x(t), t)), x(0) = 1, (D(x))(0) = 0];
stribeck := proc (v) options operator, arrow; (-1)*.3*signum(v)*exp(-2*abs(v)) end proc;
friction3 := proc (v) options operator, arrow; viscous(v)+coulomb(v)+stribeck(v) end proc;
friction3(v);
sys3;
sol3 := dsolve(sys3, numeric, method = classical[abmoulton], stepsize = 0.4500000e-4, output = listprocedure);
plots[odeplot](sol3, [t, x(t)], 0 .. 1, gridlines = true, thickness = 2);
plots[odeplot](sol3, [[t, diff(x(t), t)], [t, beltv(t)]], 0 .. 1, gridlines = true, thickness = 2, numpoints = 500);
plots[display]({plots[odeplot](sol1, [t, x(t)], 0 .. 1, gridlines = true, thickness = 2, refine = 2), plots[odeplot](sol2, [t, x(t)], 0 .. 1, gridlines = true, thickness = 2, color = green), plots[odeplot](sol3, [t, x(t)], 0 .. 1, gridlines = true, thickness = 2, color = blue)}, view = [0 .. 1, 1 .. 1.03]);
plots[display]({plots[odeplot](sol1, [[t, diff(x(t), t)], [t, beltv(t)]], 0 .. 1, gridlines = true, thickness = 2, refine = 2), plots[odeplot](sol2, [[t, diff(x(t), t)], [t, beltv(t)]], 0 .. 1, gridlines = true, thickness = 2, numpoints = 500, color = green), plots[odeplot](sol3, [[t, diff(x(t), t)], [t, beltv(t)]], 0 .. 1, gridlines = true, thickness = 2, numpoints = 500, color = blue)}, view = [0 .. 1, -0.2e-1 .. .13]);

solutions of the first three models, still looking for the solution of the fourth model...

restart;
m, l := 1., 1.;
beltv := proc (t) options operator, arrow; .1 end proc;
spring := proc (x) options operator, arrow; 1000.*(l-x) end proc;
sys1 := [m*(diff(x(t), t, t)) = spring(x(t))+friction1(diff(x(t), t)), x(0) = 1, (D(x))(0) = 0];
viscous := proc (v) options operator, arrow; (-1)*30.*(v-beltv(t)) end proc;
friction1 := proc (v) options operator, arrow; viscous(v) end proc;
friction1(v);
sys1;
sol1 := dsolve(sys1, numeric, output = listprocedure, range = 0 .. 2);
plots[odeplot](sol1, [t, x(t)], 0 .. 1, gridlines = true, thickness = 2, refine = 2);
plots[odeplot](sol1, [[t, diff(x(t), t)], [t, beltv(t)]], 0 .. 1, gridlines = true, thickness = 2, refine = 2);
sys2 := [m*(diff(x(t), t, t)) = spring(x(t))+friction2(diff(x(t), t)), x(0) = 1, (D(x))(0) = 0];
coulomb := proc (v) options operator, arrow; (-1)*25.*signum(v-beltv(t)) end proc;
friction2 := proc (v) options operator, arrow; viscous(v)+coulomb(v) end proc;
friction2(v);
sys2;
sol2 := dsolve(sys2, numeric, method = classical[abmoulton], stepsize = 0.4500000e-4, output = listprocedure);
plots[odeplot](sol2, [t, x(t)], 0 .. 1, gridlines = true, thickness = 2);
plots[odeplot](sol2, [[t, diff(x(t), t)], [t, beltv(t)]], 0 .. 1, gridlines = true, thickness = 2, numpoints = 500);
sys3 := [m*(diff(x(t), t, t)) = spring(x(t))+friction3(diff(x(t), t)), x(0) = 1, (D(x))(0) = 0];
stribeck := proc (v) options operator, arrow; (-1)*.3*signum(v)*exp(-2*abs(v)) end proc;
friction3 := proc (v) options operator, arrow; viscous(v)+coulomb(v)+stribeck(v) end proc;
friction3(v);
sys3;
sol3 := dsolve(sys3, numeric, method = classical[abmoulton], stepsize = 0.4500000e-4, output = listprocedure);
plots[odeplot](sol3, [t, x(t)], 0 .. 1, gridlines = true, thickness = 2);
plots[odeplot](sol3, [[t, diff(x(t), t)], [t, beltv(t)]], 0 .. 1, gridlines = true, thickness = 2, numpoints = 500);
plots[display]({plots[odeplot](sol1, [t, x(t)], 0 .. 1, gridlines = true, thickness = 2, refine = 2), plots[odeplot](sol2, [t, x(t)], 0 .. 1, gridlines = true, thickness = 2, color = green), plots[odeplot](sol3, [t, x(t)], 0 .. 1, gridlines = true, thickness = 2, color = blue)}, view = [0 .. 1, 1 .. 1.03]);
plots[display]({plots[odeplot](sol1, [[t, diff(x(t), t)], [t, beltv(t)]], 0 .. 1, gridlines = true, thickness = 2, refine = 2), plots[odeplot](sol2, [[t, diff(x(t), t)], [t, beltv(t)]], 0 .. 1, gridlines = true, thickness = 2, numpoints = 500, color = green), plots[odeplot](sol3, [[t, diff(x(t), t)], [t, beltv(t)]], 0 .. 1, gridlines = true, thickness = 2, numpoints = 500, color = blue)}, view = [0 .. 1, -0.2e-1 .. .13]);

export to eps can get better antialiasing

thank you,Preben Alsholm,

that's ok,

What I want most is the solution of the fourth model,

can you help me again,

thank you very much.

thank you,Preben Alsholm,

that's ok,

What I want most is the solution of the fourth model,

can you help me again,

thank you very much.

@Preben Alsholm 

sorry, I upload it again.

 

 

 

 

@acer 

On my PC, the problem is still exist.

I don't know whether it exists in Maple 16. Maybe it's a bug.

the round bracket is nothing but an indicati on.

thank you very much for your help.

@acer 

On my PC, the problem is still exist.

I don't know whether it exists in Maple 16. Maybe it's a bug.

the round bracket is nothing but an indicati on.

thank you very much for your help.

A random validation code is needed before anyone posts

3 4 5 6 7 8 9 Page 5 of 9