salim-barzani

1735 Reputation

9 Badges

1 years, 247 days

MaplePrimes Activity


These are replies submitted by salim-barzani

@janhardo  is new i didn't think which we can plot  by chosen inside  this really i liked that 

@acer  if you have a good design of plot please update file you have a good design in plotting  ...

@dharr  you need 1000 Cup thank you so much ....each time are you a door for my way like a light in the dark...

@dharr if you watch my reply  one  before last reply in eq(5.15) we have that function and at there we need 3D numerical plots i did try but i think in mine there is a mistake which i didnt use eq(5.15)  correctly and the plot is really ugly unlike yours 

and do you think i can use both of them 2D and 3D numerically  or just one of them ?

Dr.D-N.mw

@dharr  is numerical approach semi-analytical approach but why they mention exact solution... i can find exact solution and i did but i am stuck at this point how show that this numerical approach what is idea behind this what he doing how we know kenitic and potential are same and not chang ethe important part how we can show that graphically by numerical  i want add this to my article but i dont know how graphically show that it will be best and compare with what when they didn't mention exact 

numerical-exact.mw

@dharr  the code are perfect and all is set up but i am in shock when i see is not our answer even every step are correct, i have a lot paper but pde of them are a little bit complex i have another one from my friend  paper  in all paper all structure is same i did try to make it zero but again have same problem, tommorow i will look for other equations too if still don't figure out 

u-1.mw

@dharr  this topic is a little bit complex but for you must be very simpler  kind of exprence, let me show you another paper which i am in study yet and try to combine all the part to gether to get full undrestand and find the best writing program for Lie symmetry and get ode, i saw in your file for second part you found a lot of equation  but thus equation don't reach anyway becuase there is some steps missing i have to collect in all paper and somehow combine in this paper i can add  a missing steps there   maybe you can figure out also i have full paper in case you needed  i just stuck until reach ode after that it will be easy for me  the eq(13)  in this paper is so importan and in second paper  is have good explanation for finding 

paper

@dharr  i did for my own solution, also i think is becuase the parameter is not calculate   if we choose the range of x and choose some  good parameters it will works ...

TT.mw

@dharr i did same like paper by your code, but i don't know how arrange parameter becuase in a paper asked to do the Vakhitov-Kolokolov criterion so i have to do in best shape of possible ...

i did for both but the second one i don't know why is getting zero in infinite range and interval

T-1.mw

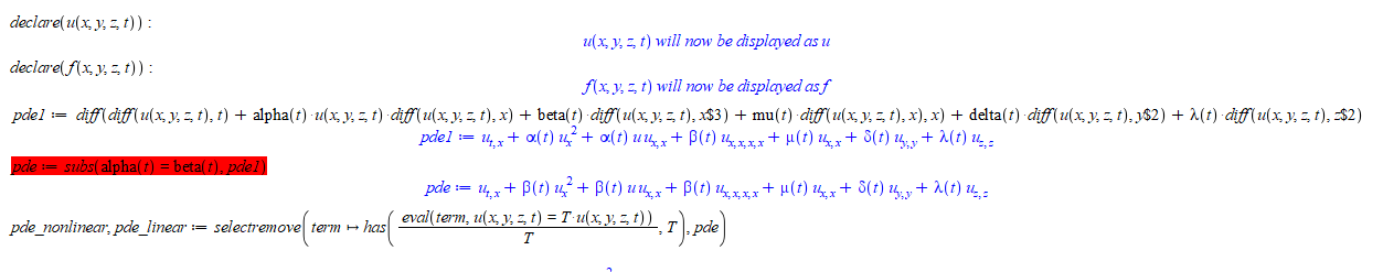
@dharr just setting up the two solution arrange them somehow must the pde be zero  i didn't do any mistake at my work, but this work and this transformation is new and is first time i work on it ...

@dharr  @janhardo  thanks for both of you, i am keep trying for solvong  this is more than 4 hour i am work on it but  i don't know how to get zero pdes, i set up every part and chekced again and again , i watched the paper which my result is not same as he did my mean my equation is so different from him and my balancing is different  he did mistake at there, the special thing i want to say is not importan to find b[1],b[2], b[3] is just parameters of equation , also i just use one transformation  but he did twice which i am sure mine is true about that is just for that we have to remove the power of n in  whle equation and i did that part my equation is so diferent from him eq(2.13) , also i try to use a method for finding solution but i am not sure why is not make my equation to zero. if need any information please mentioned

 

link of paper in case needed he use different method ...
link-paper-open access

@dharr you are act like a god of thus topic , i  like your work a lot... thank you so much more than you think 

@dharr  how we can plot is have any relation with trigonometric or hyperbolic  how we can plot this function  really i am intresting if we can plot this what is the shape of plotting?, i will do for  other  case,  if i got problem i will  update

@janhardo construct and chose thus function which make the ode to zero and make table ..

1 2 3 4 5 6 7 Last Page 1 of 45