Question: Algsubs question

Question:Algsubs question

treaders 5 Maple

Hello,

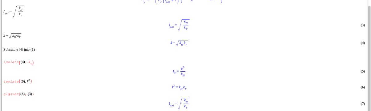
With reference to the attached screen grab, the Maple command "algsubs" seems unable to substitute equation (6) into equation (3). I was expecting a result where Iani was expressed in terms of kH and k. What am I doing wrong?

Regards,

Ben

 

Please Wait...