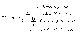
Question: Plot a 3D piecewise function?

I want to plot a piecewise function, F(x,y), so I look for piecewise command in help page, there are a lot of examples for one-variable piecewise functions, but lack of examples for two-variable piecewise functions. I don't know how to input a two-variable piecewise function and how to plot it, can you help me? Thank you very much.

 

Please Wait...