asgard

0 Reputation

4 Badges

14 years, 271 days

MaplePrimes Activity


These are replies submitted by asgard

EDIT: I have figured it out (somewhat), so nevermind!

I wrote this in my AddSystem:


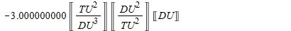
However for output that should be unitless, I still get units (which can be cancelled), like this:


:|

 

Originial Post:

Hi acer, I'm wondering why SI units are still displayed when I have already defined my units that I want and using my user defined system too:

As 2-D Input:

> restart;
> with(Units:-Standard);
> Units:-UseSystem(SI);
> Units:-AddUnit(DistanceUnit, prefix = SI, abbreviation = DU, context = SI, conversion = 6378.145*m);
> Units:-AddUnit(TimeUnit, prefix = SI, abbreviation = TU, context = SI, conversion = 806.8118744* s);
> Units:-AddSystem(mysys, Units:-GetSystem(SI), DU, TU);
> Units:-UseSystem(mysys);
> with(Units:-Standard);

I want to use DU and TU for distance and time from now on (not m or s), so for example:

> sqrt(

then I get this as the answer:
                  11179.87903 m/s

I want the answer to be  1.414213562 DU/TU

 

I appreciate any of your help :)







Thank you, I really appreciate your answer!

-asgard

Thank you, I really appreciate your answer!

-asgard

Page 1 of 1