herclau

Mr. Hermes Rozsa Iglesias

1043 Reputation

13 Badges

21 years, 64 days

MaplePrimes Activity


These are replies submitted by herclau

@Robert Israel 10^6 Gracias.

How to develop fourth-order differentiation matrix?
From the attached document above is not clear to me.

Gracais

 

 

 

@Robert Israel 10^6 Gracias.

How to develop fourth-order differentiation matrix?
From the attached document above is not clear to me.

Gracais

 

 

 

See this example peak_det_in_functio.zip

I hope it helps.

I want to play in Maple the examples shown here:The Derivation of Second and Fourth Order Differentiation Matrices.

presentation.pdf

Gracias

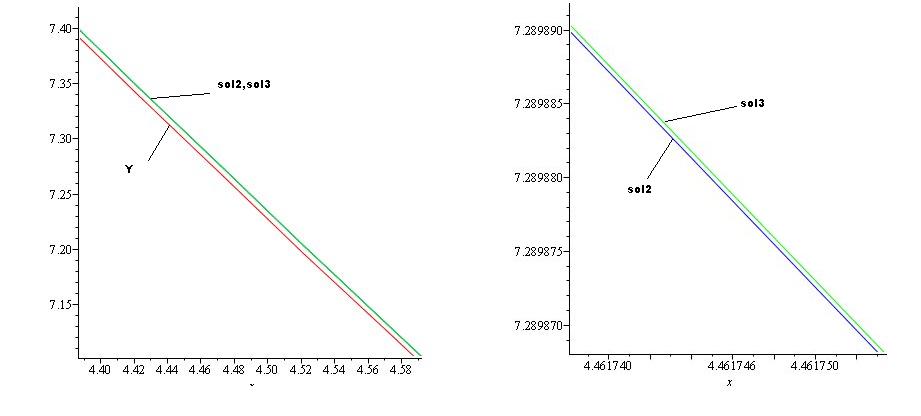
plot([y,sol2,sol3],x=0..10,color=[red,blue,green]); # All very close to lying on top of each other.

eval(sol1,x=4.5)-eval(sol2,x=4.5);

-.527680706221360

eval(sol1, x = 4.5)-(eval(sol3, x = 4.5))

-.527681123666859

eval(sol2, x = 4.5)-(eval(sol3, x = 4.5))

-4.17445499500957*10^(-7)

plot([y,sol2,sol3],x=0..10,color=[red,blue,green]); # All very close to lying on top of each other.

eval(sol1,x=4.5)-eval(sol2,x=4.5);

-.527680706221360

eval(sol1, x = 4.5)-(eval(sol3, x = 4.5))

-.527681123666859

eval(sol2, x = 4.5)-(eval(sol3, x = 4.5))

-4.17445499500957*10^(-7)

In all good examples, fast and low resource consumption, which can be seen in the Forum, there is a need to expiate the internal sequence called the command to obtain these results. Using showstat (...). Is this view correct?
Drive, use "internal code" is needed expertise and time in the use of maple. Also found little or no information in support of maple about it.

HerClau

In all good examples, fast and low resource consumption, which can be seen in the Forum, there is a need to expiate the internal sequence called the command to obtain these results. Using showstat (...). Is this view correct?
Drive, use "internal code" is needed expertise and time in the use of maple. Also found little or no information in support of maple about it.

HerClau

 

My apologies. This was a mistake I made by copying the code in the forum.

 Example_1__FFT_of_a_.mw

 

My apologies. This was a mistake I made by copying the code in the forum.

 Example_1__FFT_of_a_.mw

 

P := proc (x, lambda) piecewise(x < 0, 0, lambda^x*exp(-lambda)/factorial(x)) end proc:

Lu := proc (a) sum(P(x, lambda), x = 0 .. a)-0.5e-1 end proc:

Ll := proc (a) sum(P(x, lambda), x = a .. infinity)-0.5e-1 end proc:

fsolve~(Lu~(<0, 1, 2, 3, 4, 5, 6, 7, 8, 9, 10>), lambda, 0 .. 20):

fsolve~(Ll~(<0, 1, 2, 3, 4, 5, 6, 7, 8, 9, 10>), lambda, 0 .. 12):

 

Perfect.
How to achieve these results using the Statistics Package?
How to plot the confidence limit ?

Gracias

 

 

 

P := proc (x, lambda) piecewise(x < 0, 0, lambda^x*exp(-lambda)/factorial(x)) end proc:

Lu := proc (a) sum(P(x, lambda), x = 0 .. a)-0.5e-1 end proc:

Ll := proc (a) sum(P(x, lambda), x = a .. infinity)-0.5e-1 end proc:

fsolve~(Lu~(<0, 1, 2, 3, 4, 5, 6, 7, 8, 9, 10>), lambda, 0 .. 20):

fsolve~(Ll~(<0, 1, 2, 3, 4, 5, 6, 7, 8, 9, 10>), lambda, 0 .. 12):

 

Perfect.
How to achieve these results using the Statistics Package?
How to plot the confidence limit ?

Gracias

 

 

What can I do to achieve display help?

Gracias

 

@pagan Thanks for the suggestion
Please run the link
The image that I hope, as the book, for the TM matrix is:

Matrix TM:

Gracias

@pagan Thanks for the suggestion
Please run the link
The image that I hope, as the book, for the TM matrix is:

Matrix TM:

Gracias

First 7 8 9 10 11 12 13 Page 9 of 13