tomleslie

13876 Reputation

20 Badges

16 years, 101 days

MaplePrimes Activity


These are replies submitted by tomleslie

The maximum absolute error of what???

@dorna01

  1. By default Maple will perform most calculations using "software floats" with 10-digit precision. You can change this to any precision level you want up to the value reurned by Maple_floats(MAX_DIGITS). This may(?) be machine-dependent, but on my machine is 38,654,705,646 digits (gulp!?). The higher you set the value of Digits, the more precise the calculation will be, but the longer it will take
  2. To save on execution time, many Maple commands will use "hardware floats" because this allows number-crunching to be done in hardware rather than software. This will generally be noticeably faster than using "software floats" but you are restricted to conventional double precision arithmetic; roughly 16 digits, and exponents between -308 and 308. Whether or not Maple is allowed use "hardware floats" depends on the value assigned to Digits, and the value of kernelopts(useHardwareFloats), By default these are set to 10 and "deduced". Since a "hardware float" is 16-digits, Maple "deduces" that under these default settings, it is acceptable to use "hardware floats" if desired. If Digits is set >16, then Maple "deduces" that using "hardware floats" does not offer sufficient precision, so won't do it.
  3. I'm mot exactly sure why you need/want 10 results. I note that each successive result is almost exactly 1/2 of the previous one. Is this coincidence, or does it arise for some "physical" reason? Without more understanding of your problem, it is difficult for me to come up with a better strategy. The for-loop is not the problem: it is the total number of function evaluations. Even something like simplifying the input equation as much as possible starts to become important. For example, if the expresssion contains multiple terms containin omega^3, it is inefficent to perform this exponentiation multiple times
  4. On my machine it takes ~3secs to execute the for loop, so 500*500*5 equations would take ~1040hours. Even on an 8-core machine like mine that's ~6days. I would consider this to be completely impractical and try to come up with an alternative method of solving the problem!!!

Since each iteration in your for-loop depends on the results of the previous iteration, the calculation would seem to be inherently "sequential", so that I doubt if it can be parallelized :-(

@Gabriel samaila 

Code runs perfectly in Maple 2016. Check the attached: note output from the kernelopts(version). Please post woksheet with the problem you are getting

restart;
kernelopts(version);

`Maple 2016.2, X86 64 WINDOWS, Jan 13 2017, Build ID 1194701`

(1)

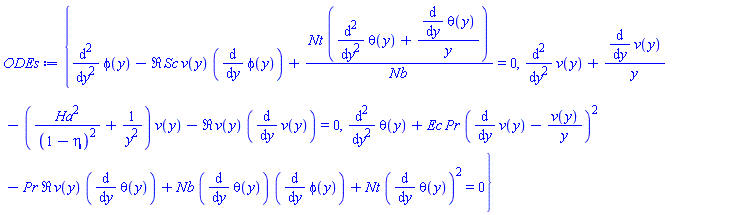
ODEs:= {diff(phi(y), y, y)-Re*Sc*v(y)*(diff(phi(y), y))+Nt*(diff(theta(y), y, y)+(diff(theta(y), y))/y)/Nb = 0,
         diff(v(y), y, y)+(diff(v(y), y))/y-(Ha^2/(1-eta)^2+1/y^2)*v(y)-Re*v(y)*(diff(v(y), y)) = 0,
         diff(theta(y), y, y)+Ec*Pr*(diff(v(y), y)-v(y)/y)^2-Pr*Re*v(y)*(diff(theta(y), y))+Nb*(diff(theta(y), y))*(diff(phi(y), y))+Nt*(diff(theta(y), y))^2 = 0};

{diff(diff(phi(y), y), y)-Re*Sc*v(y)*(diff(phi(y), y))+Nt*(diff(diff(theta(y), y), y)+(diff(theta(y), y))/y)/Nb = 0, diff(diff(v(y), y), y)+(diff(v(y), y))/y-(Ha^2/(1-eta)^2+1/y^2)*v(y)-Re*v(y)*(diff(v(y), y)) = 0, diff(diff(theta(y), y), y)+Ec*Pr*(diff(v(y), y)-v(y)/y)^2-Pr*Re*v(y)*(diff(theta(y), y))+Nb*(diff(theta(y), y))*(diff(phi(y), y))+Nt*(diff(theta(y), y))^2 = 0}

(2)

BCs := {phi(1) = 0, phi(eta) = 1, theta(1) = 0, theta(eta) = 1, v(1) = 0, v(eta) = 1};

{phi(1) = 0, phi(eta) = 1, theta(1) = 0, theta(eta) = 1, v(1) = 0, v(eta) = 1}

(3)

HaVals:=[1, 2, 5, 10]:
for j from 1 by 1 to numelems(HaVals) do
    pVals := [eta = .5, Ha = HaVals[j], Sc = .8, Nt = .1, Nb = .1, Re = 2, Ec = 0.1e-1, Pr = 10];
    sol[j]:=dsolve( `union`(eval(ODEs, pVals), eval(BCs, pVals)),
                     numeric,
                     output=listprocedure
                  );
od:
displ_opt:= titlefont=[times, bold, 20],
            legend=[seq(typeset("Ha= ", HaVals[j]),j=1..4)],
            legendstyle=[font=[times, bold, 16]],
            size=[800,600],
            color=[red, green, blue, black]:
plot( [seq( eval(theta(y), sol[j])(y),j=1..4)],
      y=0.5..1,
      title="theta(y) vs y",
      displ_opt
    );
plot( [seq( eval(phi(y), sol[j])(y),j=1..4)],
      y=0.5..1,
      title="phi(y) vs y",
      displ_opt
     );
plot( [seq( eval(v(y), sol[j])(y),j=1..4)],
      y=0.5..1,
      title="v(y) vs y",
      displ_opt
   );

 

 

 

 

 


 

Download odeProb4.mw

Latest expression is no longer homogeneous so may well have a minimum (or possibly many minima!)

The attached does some checks on the expression to confirm the above statement, then obtains a minimum in two different ways - using NLPSolve and DirectSearch()

In both cases the value of the obtained minimum is around 1.376072*10^6, and both methods agree (more-or-less) on the required values of d[i, j] for i,j=0..2. However they disagree somewhat on the required values of c[i,j] for i,j=0..2

This suggests that the function may have multiple (more-or-less equivalent) minima. Don't have time to investigate further at the moment. May(?) get back to this later depending on how my day works out

restart;
Digits:=20:
J:=1.0416666692708333334*10^8*d[0, 0]*d[0, 1]+2.0833328385416666666*10^7*d[0, 0]*d[0, 2]+4.1666666145833333334*10^7*d[0, 1]*d[0, 2]+3.4722222309027777780*10^7*d[1, 0]*d[1, 1]+6.9444427951388888895*10^6*d[1, 0]*d[1, 2]+1.3888888715277777780*10^7*d[1, 1]*d[1, 2]+2.0833333385416666666*10^7*d[2, 0]*d[2, 1]+4.1666656770833333334*10^6*d[2, 0]*d[2, 2]+8.3333332291666666665*10^6*d[2, 1]*d[2, 2]+7.4599330357142857145*10^(-16)*c[0, 1]*c[2, 2]^3+4.1666666666666666666*10^(-19)*c[0, 2]*c[2, 0]^3-3.1666666666666666666*10^(-17)*c[0, 2]*c[2, 1]^3+2.5000000000000000000*10^(-18)*c[1, 0]^3*c[2, 1]-4.1666666666666666666*10^(-19)*c[1, 0]^3*c[2, 2]+1.2500000000000000000*10^(-18)*c[1, 0]*c[2, 1]^3+2.5000000000000000000*10^(-18)*c[1, 1]^3*c[2, 0]-4.3854166666666666666*10^(-17)*c[1, 1]^3*c[2, 2]+1.2500000000000000000*10^(-18)*c[1, 1]*c[2, 0]^3-9.8100074404761904760*10^(-16)*c[1, 2]^3*c[2, 1]+4.2708333333333333334*10^(-18)*c[0, 0]*c[1, 1]^3-2.5000000000000000000*10^(-18)*c[0, 1]*c[1, 0]^3-1.0235007440476190476*10^(-15)*c[0, 1]*c[1, 2]^3+8.7500000000000000000*10^(-18)*c[0, 2]*c[1, 0]^3-1.2645833333333333334*10^(-16)*c[0, 2]*c[1, 1]^3-2.5000000000000000000*10^(-18)*c[1, 0]^3*c[1, 1]-3.7500000000000000000*10^(-18)*c[1, 0]^3*c[1, 2]+1.1562500000000000000*10^(-17)*c[1, 0]*c[1, 1]^3-1.0666666666666666666*10^(-16)*c[1, 1]^3*c[1, 2]+4.4327752976190476190*10^(-16)*c[1, 1]*c[1, 2]^3+1.2500000000000000000*10^(-17)*c[0, 2]^3*c[1, 1]-1.4592782738095238095*10^(-15)*c[0, 2]^3*c[2, 1]-6.2500000000000000000*10^(-18)*c[0, 0]^3*c[1, 1]+8.3333333333333333335*10^(-18)*c[0, 0]^3*c[1, 2]-5.7291666666666666665*10^(-18)*c[0, 1]^3*c[1, 0]+1.7708333333333333334*10^(-17)*c[0, 1]^3*c[1, 2]+2.9166666666666666666*10^(-18)*c[0, 0]^3*c[2, 2]+1.5312500000000000000*10^(-17)*c[0, 1]^3*c[2, 0]-9.6875000000000000000*10^(-18)*c[0, 1]^3*c[2, 2]+1.2500000000000000000*10^(-18)*c[0, 0]^3*c[2, 1]+6.6311284638019735570*10^6+72.544642857142857135*c[0, 0]^2*c[1, 2]*c[2, 2]+260.41666666666666666*c[0, 0]*c[0, 1]^2*c[1, 0]+104.16666666666666666*c[0, 0]*c[0, 1]^2*c[1, 2]+111.60714285714285711*c[0, 0]*c[0, 1]^2*c[2, 0]+44.642857142857142951*c[0, 0]*c[0, 1]^2*c[2, 2]+61.383928571428571495*c[1, 0]^2*c[1, 2]*c[2, 2]+57.043650793650793760*c[1, 0]*c[1, 1]^2*c[1, 2]+102.30654761904761905*c[1, 0]*c[1, 1]^2*c[2, 0]+40.922619047619047749*c[1, 0]*c[1, 1]^2*c[2, 2]+61.383928571428571495*c[1, 0]*c[1, 2]^2*c[2, 0]+17.538265306122449348*c[1, 0]*c[1, 2]^2*c[2, 2]+33.820346320346320272*c[1, 0]*c[1, 2]*c[2, 1]^2+14.494434137291279463*c[1, 0]*c[1, 2]*c[2, 2]^2+66.964285714285714350*c[0, 1]*c[1, 1]^2*c[2, 1]+52.614795918367345815*c[0, 1]*c[1, 1]*c[1, 2]^2+93.005952380952380950*c[0, 1]*c[1, 1]*c[2, 0]^2+55.803571428571428595*c[0, 1]*c[1, 1]*c[2, 1]^2+29.230442176870748487*c[0, 1]*c[1, 1]*c[2, 2]^2+35.076530612244898366*c[0, 1]*c[1, 2]^2*c[2, 1]+71.022727272727272735*c[0, 1]*c[2, 0]^2*c[2, 1]+22.321428571428571789*c[0, 1]*c[2, 1]*c[2, 2]^2+35.076530612244897394*c[0, 2]^2*c[1, 0]*c[1, 2]+72.544642857142857135*c[0, 2]^2*c[1, 0]*c[2, 0]+20.727040816326531178*c[0, 2]^2*c[1, 0]*c[2, 2]+37.999574829931971258*c[0, 2]^2*c[1, 1]*c[2, 1]+20.727040816326531178*c[0, 2]^2*c[1, 2]*c[2, 0]+156.25000000000000000*c[0, 0]^2*c[0, 2]*c[1, 2]+66.964285714285714355*c[0, 0]^2*c[0, 2]*c[2, 2]+362.72321428571428572*c[0, 0]^2*c[1, 0]*c[2, 0]+120.90773809523809524*c[0, 0]^2*c[1, 1]*c[2, 1]+71.022727272727272735*c[0, 0]*c[2, 0]*c[2, 1]^2+1.9841269841269841302*c[2, 1]*c[2, 2]*d[0, 0]+.39682539682539680895*c[2, 1]*c[2, 2]*d[0, 1]-.82199546485260771110*c[2, 1]*c[2, 2]*d[0, 2]+1.3640873015873015860*c[2, 1]*c[2, 2]*d[1, 0]+.27281746031746032180*c[2, 1]*c[2, 2]*d[1, 1]-.56512188208616780715*c[2, 1]*c[2, 2]*d[1, 2]+.86805555555555555655*c[2, 1]*c[2, 2]*d[2, 0]+.17361111111111111314*c[2, 1]*c[2, 2]*d[2, 1]-.35962301587301587203*c[2, 1]*c[2, 2]*d[2, 2]+167.41071428571428569*c[0, 1]*c[1, 0]^2*c[1, 1]+111.60714285714285711*c[0, 1]*c[1, 0]^2*c[2, 1]+1.3640873015873015908*c[1, 0]*c[2, 2]*d[2, 1]-.40922619047619048710*c[1, 0]*c[2, 2]*d[2, 2]+1.6121031746031746060*c[1, 1]*c[1, 2]*d[2, 0]+.32242063492063492331*c[1, 1]*c[1, 2]*d[2, 1]-.66787131519274374115*c[1, 1]*c[1, 2]*d[2, 2]+156.25000000000000000*c[0, 0]*c[0, 2]^2*c[1, 0]+44.642857142857142857*c[0, 0]*c[0, 2]^2*c[1, 2]+66.964285714285714355*c[0, 0]*c[0, 2]^2*c[2, 0]+19.132653061224489599*c[0, 0]*c[0, 2]^2*c[2, 2]+81.845238095238095200*c[0, 0]*c[0, 2]*c[1, 1]^2+35.076530612244897394*c[0, 0]*c[0, 2]*c[1, 2]^2+44.642857142857142951*c[0, 0]*c[0, 2]*c[2, 1]^2+19.132653061224489599*c[0, 0]*c[0, 2]*c[2, 2]^2+334.82142857142857142*c[0, 0]*c[1, 0]^2*c[2, 0]+167.41071428571428569*c[0, 0]*c[1, 0]*c[1, 1]^2+100.44642857142857130*c[0, 0]*c[1, 0]*c[1, 2]^2+279.01785714285714285*c[0, 0]*c[1, 0]*c[2, 0]^2+93.005952380952380950*c[0, 0]*c[1, 0]*c[2, 1]^2+55.803571428571428505*c[0, 0]*c[1, 0]*c[2, 2]^2+66.964285714285714415*c[0, 0]*c[1, 1]^2*c[1, 2]+111.60714285714285711*c[0, 0]*c[1, 1]^2*c[2, 0]+44.642857142857142951*c[0, 0]*c[1, 1]^2*c[2, 2]+66.964285714285714355*c[0, 0]*c[1, 2]^2*c[2, 0]+19.132653061224489599*c[0, 0]*c[1, 2]^2*c[2, 2]+37.202380952380952251*c[0, 0]*c[1, 2]*c[2, 1]^2+15.943877551020407795*c[0, 0]*c[1, 2]*c[2, 2]^2+260.41666666666666666*c[0, 0]^2*c[0, 1]*c[1, 1]+111.60714285714285711*c[0, 0]^2*c[0, 1]*c[2, 1]+1.7857142857142857295*c[0, 2]*c[2, 2]*d[2, 0]+.36848072562358279097*c[0, 2]*c[2, 2]*d[2, 1]-1.3605442176870747069*c[0, 2]*c[2, 2]*d[2, 2]+4.0302579365079365080*c[1, 0]*c[1, 1]*d[2, 0]+.80605158730158730105*c[1, 0]*c[1, 1]*d[2, 1]-3.2242063492063492051*c[1, 0]*c[1, 1]*d[2, 2]+1.6121031746031746065*c[1, 0]*c[1, 2]*d[2, 1]-.48363095238095238294*c[1, 0]*c[1, 2]*d[2, 2]+7.2544642857142857140*c[1, 0]*c[2, 0]*d[1, 0]-.80605158730158730195*c[1, 0]*c[2, 0]*d[1, 1]-4.8363095238095238092*c[1, 0]*c[2, 0]*d[1, 2]+6.1383928571428571430*c[1, 0]*c[2, 0]*d[2, 0]-.68204365079365079385*c[1, 0]*c[2, 0]*d[2, 1]-4.0922619047619047612*c[1, 0]*c[2, 0]*d[2, 2]+4.0302579365079365080*c[1, 0]*c[2, 1]*d[1, 0]+.80605158730158730105*c[1, 0]*c[2, 1]*d[1, 1]-3.2242063492063492051*c[1, 0]*c[2, 1]*d[1, 2]+3.4102182539682539680*c[1, 0]*c[2, 1]*d[2, 0]+.68204365079365079425*c[1, 0]*c[2, 1]*d[2, 1]-2.7281746031746031740*c[1, 0]*c[2, 1]*d[2, 2]+1.6121031746031746065*c[1, 0]*c[2, 2]*d[1, 1]-.48363095238095238294*c[1, 0]*c[2, 2]*d[1, 2]+42.613636363636363594*c[0, 0]*c[2, 0]*c[2, 2]^2+28.409090909090909032*c[0, 0]*c[2, 1]^2*c[2, 2]+.43402777777777777747*c[2, 0]*c[2, 1]*d[2, 1]-1.7361111111111111101*c[2, 0]*c[2, 1]*d[2, 2]+1.9841269841269841262*c[2, 0]*c[2, 2]*d[0, 1]-.59523809523809522370*c[2, 0]*c[2, 2]*d[0, 2]+1.3640873015873015908*c[2, 0]*c[2, 2]*d[1, 1]-.40922619047619048710*c[2, 0]*c[2, 2]*d[1, 2]+.86805555555555555635*c[2, 0]*c[2, 2]*d[2, 1]-.26041666666666666654*c[2, 0]*c[2, 2]*d[2, 2]+42.613636363636363594*c[0, 2]*c[2, 0]^2*c[2, 2]+28.409090909090909032*c[0, 2]*c[2, 0]*c[2, 1]^2+12.175324675324676135*c[0, 2]*c[2, 0]*c[2, 2]^2+22.321428571428571789*c[0, 2]*c[2, 1]^2*c[2, 2]+102.30654761904761905*c[1, 0]^2*c[1, 1]*c[2, 1]+89.285714285714285725*c[0, 0]*c[0, 1]*c[0, 2]*c[2, 1]+409.22619047619047622*c[0, 0]*c[0, 1]*c[1, 0]*c[1, 1]-17.577326954359643821*c[0, 0]^2*c[1, 0]+1.6121031746031746060*c[1, 1]*c[2, 2]*d[1, 0]+.32242063492063492331*c[1, 1]*c[2, 2]*d[1, 1]-.66787131519274374115*c[1, 1]*c[2, 2]*d[1, 2]+1.3640873015873015860*c[1, 1]*c[2, 2]*d[2, 0]+.27281746031746032180*c[1, 1]*c[2, 2]*d[2, 1]-.56512188208616780715*c[1, 1]*c[2, 2]*d[2, 2]+1.6121031746031746065*c[1, 2]*c[2, 0]*d[1, 1]-.48363095238095238294*c[1, 2]*c[2, 0]*d[1, 2]+1.3640873015873015908*c[1, 2]*c[2, 0]*d[2, 1]-.40922619047619048710*c[1, 2]*c[2, 0]*d[2, 2]+1.6121031746031746060*c[1, 2]*c[2, 1]*d[1, 0]+.32242063492063492331*c[1, 2]*c[2, 1]*d[1, 1]-.66787131519274374115*c[1, 2]*c[2, 1]*d[1, 2]+1.3640873015873015860*c[1, 2]*c[2, 1]*d[2, 0]+.27281746031746032180*c[1, 2]*c[2, 1]*d[2, 1]-.56512188208616780715*c[1, 2]*c[2, 1]*d[2, 2]+1.4508928571428571338*c[1, 2]*c[2, 2]*d[1, 0]+.29939058956916098696*c[1, 2]*c[2, 2]*d[1, 1]-1.1054421768707481760*c[1, 2]*c[2, 2]*d[1, 2]+1.2276785714285714153*c[1, 2]*c[2, 2]*d[2, 0]+.25333049886621315412*c[1, 2]*c[2, 2]*d[2, 1]-.93537414965986394370*c[1, 2]*c[2, 2]*d[2, 2]+4.9603174603174603176*c[2, 0]*c[2, 1]*d[0, 0]+.99206349206349206245*c[2, 0]*c[2, 1]*d[0, 1]-3.9682539682539682534*c[2, 0]*c[2, 1]*d[0, 2]+3.4102182539682539680*c[2, 0]*c[2, 1]*d[1, 0]+.68204365079365079425*c[2, 0]*c[2, 1]*d[1, 1]-2.7281746031746031740*c[2, 0]*c[2, 1]*d[1, 2]+2.1701388888888888892*c[2, 0]*c[2, 1]*d[2, 0]+2.6041666666666666665*c[1, 1]*c[2, 1]*d[0, 0]+.86805555555555555230*c[1, 1]*c[2, 1]*d[0, 1]-2.0833333333333333358*c[1, 1]*c[2, 1]*d[0, 2]+1.7361111111111111101*c[1, 1]*c[2, 2]*d[0, 0]+.34722222222222222019*c[1, 1]*c[2, 2]*d[0, 1]-.71924603174603175515*c[1, 1]*c[2, 2]*d[0, 2]+1.7361111111111111104*c[1, 2]*c[2, 0]*d[0, 1]-.52083333333333333345*c[1, 2]*c[2, 0]*d[0, 2]-.52083333333333333345*c[0, 2]*c[1, 0]*d[2, 2]+1.7361111111111111101*c[0, 2]*c[1, 1]*d[2, 0]+.34722222222222222019*c[0, 2]*c[1, 1]*d[2, 1]-.71924603174603175515*c[0, 2]*c[1, 1]*d[2, 2]+1.5624999999999999999*c[0, 2]*c[1, 2]*d[2, 0]+.32242063492063491360*c[0, 2]*c[1, 2]*d[2, 1]-1.1904761904761904782*c[0, 2]*c[1, 2]*d[2, 2]+1.7361111111111111104*c[0, 2]*c[2, 0]*d[1, 1]-.52083333333333333345*c[0, 2]*c[2, 0]*d[1, 2]+1.7361111111111111101*c[0, 2]*c[2, 1]*d[1, 0]+.34722222222222222019*c[0, 2]*c[2, 1]*d[1, 1]-.71924603174603175515*c[0, 2]*c[2, 1]*d[1, 2]+1.5624999999999999999*c[0, 2]*c[2, 2]*d[1, 0]+.32242063492063491360*c[0, 2]*c[2, 2]*d[1, 1]-1.1904761904761904782*c[0, 2]*c[2, 2]*d[1, 2]-5.2083333333333333335*c[0, 0]*c[1, 0]*d[2, 2]+4.3402777777777777774*c[0, 0]*c[1, 1]*d[2, 0]+.86805555555555555585*c[0, 0]*c[1, 1]*d[2, 1]-3.4722222222222222232*c[0, 0]*c[1, 1]*d[2, 2]+1.7361111111111111104*c[0, 0]*c[1, 2]*d[2, 1]-.52083333333333333345*c[0, 0]*c[1, 2]*d[2, 2]+7.8125000000000000000*c[0, 0]*c[2, 0]*d[1, 0]-.86805555555555555570*c[0, 0]*c[2, 0]*d[1, 1]-5.2083333333333333335*c[0, 0]*c[2, 0]*d[1, 2]+1.7361111111111111101*c[1, 2]*c[2, 1]*d[0, 0]+.34722222222222222019*c[1, 2]*c[2, 1]*d[0, 1]-.71924603174603175515*c[1, 2]*c[2, 1]*d[0, 2]+1.5624999999999999999*c[1, 2]*c[2, 2]*d[0, 0]+.32242063492063491360*c[1, 2]*c[2, 2]*d[0, 1]-1.1904761904761904782*c[1, 2]*c[2, 2]*d[0, 2]+40.922619047619047749*c[1, 1]^2*c[1, 2]*c[2, 0]+32.153486394557822004*c[1, 1]^2*c[1, 2]*c[2, 2]+33.820346320346320272*c[1, 1]^2*c[2, 0]*c[2, 2]+32.153486394557822004*c[1, 1]*c[1, 2]^2*c[2, 1]+104.16666666666666666*c[0, 1]^2*c[0, 2]*c[1, 0]+81.845238095238095240*c[0, 1]^2*c[0, 2]*c[1, 2]+44.642857142857142951*c[0, 1]^2*c[0, 2]*c[2, 0]+35.076530612244898366*c[0, 1]^2*c[0, 2]*c[2, 2]+81.845238095238095200*c[0, 1]^2*c[1, 0]*c[1, 2]+120.90773809523809524*c[0, 1]^2*c[1, 0]*c[2, 0]+48.363095238095238131*c[0, 1]^2*c[1, 0]*c[2, 2]+72.544642857142857055*c[0, 1]^2*c[1, 1]*c[2, 1]+48.363095238095238131*c[0, 1]^2*c[1, 2]*c[2, 0]+37.999574829931971258*c[0, 1]^2*c[1, 2]*c[2, 2]+44.642857142857142951*c[0, 1]^2*c[2, 0]*c[2, 2]+81.845238095238095240*c[0, 1]*c[0, 2]^2*c[1, 1]+35.076530612244898366*c[0, 1]*c[0, 2]^2*c[2, 1]+2.6041666666666666665*c[0, 1]*c[2, 1]*d[1, 0]+.86805555555555555230*c[0, 1]*c[2, 1]*d[1, 1]-2.0833333333333333358*c[0, 1]*c[2, 1]*d[1, 2]+1.7361111111111111101*c[0, 1]*c[2, 2]*d[1, 0]+.34722222222222222019*c[0, 1]*c[2, 2]*d[1, 1]-.71924603174603175515*c[0, 1]*c[2, 2]*d[1, 2]+1.7361111111111111104*c[0, 2]*c[1, 0]*d[2, 1]+2.6041666666666666666*c[1, 0]*c[1, 2]*d[1, 1]-.78125000000000000000*c[1, 0]*c[1, 2]*d[1, 2]+7.8125000000000000000*c[1, 0]*c[2, 0]*d[0, 0]-.86805555555555555570*c[1, 0]*c[2, 0]*d[0, 1]-5.2083333333333333335*c[1, 0]*c[2, 0]*d[0, 2]+4.3402777777777777774*c[1, 0]*c[2, 1]*d[0, 0]+.86805555555555555585*c[1, 0]*c[2, 1]*d[0, 1]-3.4722222222222222232*c[1, 0]*c[2, 1]*d[0, 2]-1.0788690476190476190*c[1, 1]*c[1, 2]*d[1, 2]+4.3402777777777777774*c[1, 1]*c[2, 0]*d[0, 0]+.86805555555555555585*c[1, 1]*c[2, 0]*d[0, 1]-3.4722222222222222232*c[1, 1]*c[2, 0]*d[0, 2]+7.8125000000000000000*c[0, 0]*c[1, 0]*d[2, 0]-.86805555555555555570*c[0, 0]*c[1, 0]*d[2, 1]+1.9513238631105736344*c[0, 0]^2-5.8591089847865479405*c[1, 0]*c[2, 0]^2-6.9751297437935094530*c[1, 0]^2*c[2, 0]-13.671254297835278528*c[0, 0]*c[1, 0]^2-5.8591089847865479405*c[0, 0]^2*c[2, 0]-7.5331401232969902090*c[0, 0]*c[2, 0]^2+2.1701388888888888892*c[0, 0]*c[0, 1]*d[2, 0]+.43402777777777777747*c[0, 0]*c[0, 1]*d[2, 1]-1.7361111111111111101*c[0, 0]*c[0, 1]*d[2, 2]+.86805555555555555635*c[0, 0]*c[0, 2]*d[2, 1]-.26041666666666666654*c[0, 0]*c[0, 2]*d[2, 2]+15.625000000000000000*c[0, 0]*c[1, 0]*d[1, 0]-1.7361111111111111104*c[0, 0]*c[1, 0]*d[1, 1]-10.416666666666666664*c[0, 0]*c[1, 0]*d[1, 2]+4.3402777777777777774*c[0, 0]*c[2, 1]*d[1, 0]+.86805555555555555585*c[0, 0]*c[2, 1]*d[1, 1]-3.4722222222222222232*c[0, 0]*c[2, 1]*d[1, 2]+1.7361111111111111104*c[0, 0]*c[2, 2]*d[1, 1]-.52083333333333333345*c[0, 0]*c[2, 2]*d[1, 2]+4.3402777777777777774*c[0, 1]*c[1, 0]*d[2, 0]+.86805555555555555585*c[0, 1]*c[1, 0]*d[2, 1]-3.4722222222222222232*c[0, 1]*c[1, 0]*d[2, 2]+2.6041666666666666665*c[0, 1]*c[1, 1]*d[2, 0]+.86805555555555555230*c[0, 1]*c[1, 1]*d[2, 1]-2.0833333333333333358*c[0, 1]*c[1, 1]*d[2, 2]+1.7361111111111111101*c[0, 1]*c[1, 2]*d[2, 0]+.34722222222222222019*c[0, 1]*c[1, 2]*d[2, 1]-.71924603174603175515*c[0, 1]*c[1, 2]*d[2, 2]+4.3402777777777777774*c[0, 1]*c[2, 0]*d[1, 0]+.86805555555555555585*c[0, 1]*c[2, 0]*d[1, 1]-3.4722222222222222232*c[0, 1]*c[2, 0]*d[1, 2]+6.5104166666666666665*c[1, 0]*c[1, 1]*d[1, 0]+1.3020833333333333334*c[1, 0]*c[1, 1]*d[1, 1]-5.2083333333333333335*c[1, 0]*c[1, 1]*d[1, 2]+66.964285714285714355*c[0, 2]*c[1, 0]^2*c[2, 2]+66.964285714285714415*c[0, 2]*c[1, 0]*c[1, 1]^2+28.698979591836735062*c[0, 2]*c[1, 0]*c[1, 2]^2+37.202380952380952251*c[0, 2]*c[1, 0]*c[2, 1]^2+15.943877551020407795*c[0, 2]*c[1, 0]*c[2, 2]^2+52.614795918367345815*c[0, 2]*c[1, 1]^2*c[1, 2]+44.642857142857142951*c[0, 2]*c[1, 1]^2*c[2, 0]+35.076530612244898366*c[0, 2]*c[1, 1]^2*c[2, 2]+19.132653061224489599*c[0, 2]*c[1, 2]^2*c[2, 0]+28.698979591836742666*c[0, 2]*c[1, 2]^2*c[2, 2]+55.803571428571428505*c[0, 2]*c[1, 2]*c[2, 0]^2+29.230442176870748487*c[0, 2]*c[1, 2]*c[2, 1]^2+23.915816326530603766*c[0, 2]*c[1, 2]*c[2, 2]^2+14.494434137291279463*c[1, 2]^2*c[2, 0]*c[2, 2]+1.7361111111111111104*c[1, 0]*c[2, 2]*d[0, 1]-.52083333333333333345*c[1, 0]*c[2, 2]*d[0, 2]+2.6041666666666666666*c[1, 1]*c[1, 2]*d[1, 0]+.52083333333333333335*c[1, 1]*c[1, 2]*d[1, 1]+31.090561224489796426*c[0, 2]^2*c[1, 2]*c[2, 2]+19.132653061224489599*c[0, 2]^2*c[2, 0]*c[2, 2]+100.44642857142857130*c[0, 2]*c[1, 0]^2*c[1, 2]+.44555622522002140762*c[2, 0]^2+.46170938409674118636*c[1, 2]^2+1.1547178907808560042*c[0, 2]^2+.77964068416622337705*c[1, 0]^2+1.6009621174674121518*c[0, 1]^2+.64008855996096283515*c[1, 1]^2+.26384338633743085922*c[2, 2]^2+.36578064568603858890*c[2, 1]^2+7.1100074404761904760*10^(-15)*c[0, 2]*c[1, 1]*c[1, 2]*c[2, 2]+8.2291666666666666665*10^(-17)*c[0, 2]*c[1, 1]*c[2, 0]*c[2, 2]+8.2291666666666666665*10^(-17)*c[0, 2]*c[1, 2]*c[2, 0]*c[2, 1]-4.7672247023809523810*10^(-15)*c[0, 2]*c[1, 2]*c[2, 1]*c[2, 2]+8.8541666666666666665*10^(-17)*c[0, 2]*c[2, 0]*c[2, 1]*c[2, 2]+1.1562500000000000000*10^(-16)*c[1, 0]*c[1, 1]*c[1, 2]*c[2, 0]-8.2291666666666666665*10^(-17)*c[1, 0]*c[1, 1]*c[1, 2]*c[2, 2]-4.1666666666666666666*10^(-18)*c[0, 0]*c[1, 0]*c[1, 2]*c[2, 0]+9.7916666666666666665*10^(-17)*c[0, 0]*c[1, 0]*c[1, 2]*c[2, 1]-1.2500000000000000000*10^(-17)*c[0, 0]*c[1, 0]*c[2, 0]*c[2, 1]+3.7500000000000000000*10^(-17)*c[0, 0]*c[1, 0]*c[2, 0]*c[2, 2]-1.1562500000000000000*10^(-16)*c[0, 0]*c[1, 0]*c[2, 1]*c[2, 2]+9.7916666666666666665*10^(-17)*c[0, 0]*c[1, 1]*c[1, 2]*c[2, 0]+1.1875000000000000000*10^(-16)*c[0, 0]*c[1, 1]*c[1, 2]*c[2, 2]-1.1562500000000000000*10^(-16)*c[0, 0]*c[1, 1]*c[2, 0]*c[2, 2]-1.1562500000000000000*10^(-16)*c[0, 0]*c[1, 2]*c[2, 0]*c[2, 1]+8.2291666666666666665*10^(-17)*c[0, 0]*c[1, 2]*c[2, 1]*c[2, 2]+1.1125000000000000000*10^(-15)*c[0, 1]*c[0, 2]*c[1, 0]*c[1, 2]-2.8437500000000000000*10^(-16)*c[0, 1]*c[0, 2]*c[1, 1]*c[2, 1]-2.0104166666666666666*10^(-16)*c[0, 1]*c[0, 2]*c[1, 2]*c[2, 0]-2.0927827380952380952*10^(-15)*c[0, 1]*c[0, 2]*c[1, 2]*c[2, 2]+1.1875000000000000000*10^(-16)*c[0, 1]*c[0, 2]*c[2, 0]*c[2, 2]+9.7916666666666666665*10^(-17)*c[0, 0]*c[1, 0]*c[1, 1]*c[2, 2]+9.7916666666666666665*10^(-17)*c[0, 0]*c[0, 2]*c[2, 0]*c[2, 1]+1.1875000000000000000*10^(-16)*c[0, 0]*c[0, 2]*c[2, 1]*c[2, 2]+2.5000000000000000000*10^(-17)*c[0, 0]*c[1, 0]*c[1, 1]*c[2, 0]+1.7708333333333333334*10^(-17)*c[0, 0]*c[0, 2]*c[1, 1]*c[2, 0]-2.0104166666666666666*10^(-16)*c[0, 0]*c[0, 2]*c[1, 1]*c[2, 2]-2.0104166666666666666*10^(-16)*c[0, 0]*c[0, 2]*c[1, 2]*c[2, 1]+1.1562500000000000000*10^(-16)*c[0, 0]*c[1, 0]*c[1, 1]*c[1, 2]+1.7708333333333333334*10^(-17)*c[0, 1]*c[0, 2]*c[1, 0]*c[2, 0]-2.0104166666666666666*10^(-16)*c[0, 1]*c[0, 2]*c[1, 0]*c[2, 2]+1.2500000000000000000*10^(-17)*c[0, 0]*c[0, 1]*c[1, 0]*c[2, 0]+1.7708333333333333334*10^(-17)*c[0, 0]*c[0, 1]*c[1, 0]*c[2, 2]+1.5312500000000000000*10^(-16)*c[0, 0]*c[0, 1]*c[1, 1]*c[2, 1]+1.7708333333333333334*10^(-17)*c[0, 0]*c[0, 1]*c[1, 2]*c[2, 0]-2.0104166666666666666*10^(-16)*c[0, 0]*c[0, 1]*c[1, 2]*c[2, 2]-3.3333333333333333334*10^(-17)*c[0, 0]*c[0, 2]*c[1, 0]*c[2, 0]+1.7708333333333333334*10^(-17)*c[0, 0]*c[0, 2]*c[1, 0]*c[2, 1]-4.2708333333333333334*10^(-17)*c[0, 1]*c[1, 0]*c[1, 1]*c[2, 1]+9.7916666666666666665*10^(-17)*c[0, 1]*c[1, 0]*c[1, 2]*c[2, 0]+1.1875000000000000000*10^(-16)*c[0, 1]*c[1, 0]*c[1, 2]*c[2, 2]-1.1562500000000000000*10^(-16)*c[0, 1]*c[1, 0]*c[2, 0]*c[2, 2]+1.8645833333333333334*10^(-16)*c[0, 1]*c[1, 1]*c[1, 2]*c[2, 1]+4.6878192182561424716*c[1, 1]*c[2, 0]^2+3.4692522367229974886*c[1, 1]*c[2, 1]^2+8.0949218856869941400*c[0, 1]*c[1, 1]^2-3.9839812974840909517*c[1, 0]*c[2, 1]^2-4.7428348779572511330*c[1, 1]^2*c[2, 0]+4.1300621865749970104*c[1, 1]^2*c[2, 1]-0.46851590661216218748e-1*c[2, 0]*d[2, 1]+0.12500851248683046591e-1*c[2, 0]*d[2, 2]+.13026153637602374528*c[1, 0]*d[0, 0]-0.78085984435360364590e-1*c[0, 0]*d[1, 1]+.13026153637602374528*c[1, 0]*d[1, 0]+0.78156921825614247160e-1*c[2, 0]*d[2, 0]+5.1658309360967613105*c[0, 1]*c[1, 2]^2+4.4604671615009967714*c[0, 1]*c[2, 1]^2+25.443306693306693295*c[2, 0]*c[2, 1]^2*c[2, 2]-1.1041666666666666666*10^(-16)*c[0, 1]*c[1, 1]*c[2, 0]*c[2, 1]+9.7916666666666666665*10^(-17)*c[0, 1]*c[1, 1]*c[2, 1]*c[2, 2]+8.2291666666666666665*10^(-17)*c[0, 1]*c[1, 2]*c[2, 0]*c[2, 2]-2.1656250000000000000*10^(-15)*c[0, 2]*c[1, 0]*c[1, 1]*c[1, 2]+9.7916666666666666665*10^(-17)*c[0, 2]*c[1, 0]*c[1, 1]*c[2, 0]+1.1875000000000000000*10^(-16)*c[0, 2]*c[1, 0]*c[1, 1]*c[2, 2]+1.1875000000000000000*10^(-16)*c[0, 2]*c[1, 0]*c[1, 2]*c[2, 1]-1.1562500000000000000*10^(-16)*c[0, 2]*c[1, 0]*c[2, 0]*c[2, 1]+8.2291666666666666665*10^(-17)*c[0, 2]*c[1, 0]*c[2, 1]*c[2, 2]+1.1875000000000000000*10^(-16)*c[0, 2]*c[1, 1]*c[1, 2]*c[2, 0]+9.7916666666666666665*10^(-17)*c[0, 0]*c[0, 1]*c[2, 0]*c[2, 2]-1.7708333333333333334*10^(-17)*c[0, 0]*c[0, 2]*c[1, 0]*c[1, 1]+1.1125000000000000000*10^(-15)*c[0, 0]*c[0, 2]*c[1, 1]*c[1, 2]-1.5312500000000000000*10^(-16)*c[1, 0]*c[1, 1]*c[2, 0]*c[2, 2]-1.5312500000000000000*10^(-16)*c[1, 0]*c[1, 2]*c[2, 0]*c[2, 1]+5.5208333333333333335*10^(-17)*c[1, 0]*c[1, 2]*c[2, 1]*c[2, 2]+8.0208333333333333335*10^(-17)*c[1, 0]*c[2, 0]*c[2, 1]*c[2, 2]+5.5208333333333333335*10^(-17)*c[1, 1]*c[1, 2]*c[2, 0]*c[2, 2]+6.9791666666666666665*10^(-17)*c[1, 2]*c[2, 0]*c[2, 1]*c[2, 2]+6.5104166666666666665*c[0, 1]*c[1, 1]*d[0, 0]+2.1701388888888888900*c[0, 1]*c[1, 1]*d[0, 1]-5.2083333333333333595*c[0, 1]*c[1, 1]*d[0, 2]+8.9285714285714285715*c[0, 0]*c[2, 0]*d[2, 0]-.99206349206349206360*c[0, 0]*c[2, 0]*d[2, 1]-5.9523809523809523815*c[0, 0]*c[2, 0]*d[2, 2]+4.9603174603174603176*c[0, 0]*c[2, 1]*d[2, 0]+.99206349206349206245*c[0, 0]*c[2, 1]*d[2, 1]-3.9682539682539682534*c[0, 0]*c[2, 1]*d[2, 2]+1.9841269841269841262*c[0, 0]*c[2, 2]*d[2, 1]-.59523809523809522370*c[0, 0]*c[2, 2]*d[2, 2]+4.9603174603174603176*c[0, 1]*c[2, 0]*d[2, 0]+.99206349206349206245*c[0, 1]*c[2, 0]*d[2, 1]-3.9682539682539682534*c[0, 1]*c[2, 0]*d[2, 2]+2.9761904761904761902*c[0, 1]*c[2, 1]*d[2, 0]+.99206349206349206725*c[0, 1]*c[2, 1]*d[2, 1]-2.3809523809523809370*c[0, 1]*c[2, 1]*d[2, 2]+1.9841269841269841302*c[0, 1]*c[2, 2]*d[2, 0]+.39682539682539680895*c[0, 1]*c[2, 2]*d[2, 1]-.82199546485260771110*c[0, 1]*c[2, 2]*d[2, 2]+1.9841269841269841262*c[0, 2]*c[2, 0]*d[2, 1]-.59523809523809522370*c[0, 2]*c[2, 0]*d[2, 2]+1.9841269841269841302*c[0, 2]*c[2, 1]*d[2, 0]+.39682539682539680895*c[0, 2]*c[2, 1]*d[2, 1]-.82199546485260771110*c[0, 2]*c[2, 1]*d[2, 2]+4.0302579365079365080*c[1, 1]*c[2, 0]*d[1, 0]+.80605158730158730105*c[1, 1]*c[2, 0]*d[1, 1]-3.2242063492063492051*c[1, 1]*c[2, 0]*d[1, 2]+3.4102182539682539680*c[1, 1]*c[2, 0]*d[2, 0]+.68204365079365079425*c[1, 1]*c[2, 0]*d[2, 1]-2.7281746031746031740*c[1, 1]*c[2, 0]*d[2, 2]+2.4181547619047619042*c[1, 1]*c[2, 1]*d[1, 0]+.80605158730158729815*c[1, 1]*c[2, 1]*d[1, 1]-1.9345238095238095288*c[1, 1]*c[2, 1]*d[1, 2]+2.0461309523809523803*c[1, 1]*c[2, 1]*d[2, 0]+.68204365079365079125*c[1, 1]*c[2, 1]*d[2, 1]-1.6369047619047619102*c[1, 1]*c[2, 1]*d[2, 2]+4.3402777777777777686*c[0, 1]*c[1, 2]*d[0, 0]+.86805555555555553445*c[0, 1]*c[1, 2]*d[0, 1]-1.7981150793650793742*c[0, 1]*c[1, 2]*d[0, 2]-2.1701388888888888896*c[0, 0]*c[1, 0]*d[0, 1]-13.020833333333333336*c[0, 0]*c[1, 0]*d[0, 2]+10.850694444444444444*c[0, 0]*c[1, 1]*d[0, 0]+2.1701388888888888873*c[0, 0]*c[1, 1]*d[0, 1]-8.6805555555555555645*c[0, 0]*c[1, 1]*d[0, 2]+4.3402777777777777708*c[0, 0]*c[1, 2]*d[0, 1]-1.3020833333333333354*c[0, 0]*c[1, 2]*d[0, 2]+.86805555555555553445*c[0, 1]*c[0, 2]*d[1, 1]-1.7981150793650793742*c[0, 1]*c[0, 2]*d[1, 2]+10.850694444444444444*c[0, 1]*c[1, 0]*d[0, 0]+2.1701388888888888873*c[0, 1]*c[1, 0]*d[0, 1]-8.6805555555555555645*c[0, 1]*c[1, 0]*d[0, 2]+74.404761904761904800*c[0, 2]*c[1, 1]*c[2, 0]*c[2, 1]+58.460884353741495065*c[0, 2]*c[1, 1]*c[2, 1]*c[2, 2]+31.887755102040816892*c[0, 2]*c[1, 2]*c[2, 0]*c[2, 2]+81.845238095238095200*c[1, 0]*c[1, 1]*c[1, 2]*c[2, 1]+169.10173160173160174*c[1, 0]*c[1, 1]*c[2, 0]*c[2, 1]+133.92857142857142870*c[0, 0]*c[1, 0]*c[1, 2]*c[2, 2]+89.285714285714285725*c[0, 0]*c[1, 1]*c[1, 2]*c[2, 1]+186.01190476190476191*c[0, 0]*c[1, 1]*c[2, 0]*c[2, 1]+74.404761904761904800*c[0, 0]*c[1, 1]*c[2, 1]*c[2, 2]+111.60714285714285709*c[0, 0]*c[1, 2]*c[2, 0]*c[2, 2]+163.69047619047619034*c[0, 1]*c[0, 2]*c[1, 0]*c[1, 1]+128.61394557823129094*c[0, 1]*c[0, 2]*c[1, 1]*c[1, 2]+75.999149659863946195*c[0, 1]*c[0, 2]*c[1, 1]*c[2, 2]+75.999149659863946195*c[0, 1]*c[0, 2]*c[1, 2]*c[2, 1]+89.285714285714285725*c[0, 1]*c[0, 2]*c[2, 0]*c[2, 1]+70.153061224489797670*c[0, 1]*c[0, 2]*c[2, 1]*c[2, 2]+133.92857142857142872*c[0, 1]*c[1, 0]*c[1, 1]*c[1, 2]+12.054392275515794927*c[0, 0]*c[2, 0]*c[2, 1]-7.8336448812845034615*c[0, 0]*c[2, 0]*c[2, 2]+7.3542053467450928500*c[0, 0]*c[2, 1]*c[2, 2]-7.9679625949681819035*c[0, 0]*c[0, 1]*c[2, 1]+5.7199374919128499945*c[0, 0]*c[0, 1]*c[2, 2]-6.0928349076657249145*c[0, 0]*c[0, 2]*c[2, 0]+21.876489685195331534*c[0, 0]*c[1, 0]*c[1, 1]+13.346520814463316654*c[0, 2]*c[1, 0]*c[1, 1]-11.326683618314577070*c[0, 2]*c[1, 0]*c[1, 2]-7.8336448812845034615*c[0, 2]*c[1, 0]*c[2, 0]-6.2412338304998689980*c[0, 2]*c[1, 0]*c[2, 2]+10.331661872193522621*c[0, 2]*c[1, 1]*c[1, 2]+7.3542053467450928500*c[0, 2]*c[1, 1]*c[2, 0]-6.7720375140947471530*c[0, 2]*c[1, 1]*c[2, 1]+7.3542053467450928500*c[0, 0]*c[1, 2]*c[2, 1]-6.2412338304998689980*c[0, 0]*c[1, 2]*c[2, 2]-15.801420866221076690*c[0, 1]*c[0, 2]*c[1, 1]+13.283565264248814798*c[0, 1]*c[0, 2]*c[1, 2]+5.7199374919128499945*c[0, 1]*c[0, 2]*c[2, 0]-5.2671402887403588965*c[0, 1]*c[0, 2]*c[2, 1]-7.9679625949681819035*c[1, 1]*c[2, 0]*c[2, 1]+4.4278550880829382661*c[0, 1]*c[0, 2]*c[2, 2]+3.0559098639455789580*c[1, 2]^4+15.902066683316683317*c[2, 0]^4+3.1804133366633366626*c[2, 1]^4+1.3630342871414299812*c[2, 2]^4+35.652281746031746032*c[1, 0]^4+7.1304563492063492030*c[1, 1]^4+97.656250000000000000*c[0, 0]^4+19.531250000000000000*c[0, 1]^4+8.3705357142857142855*c[0, 2]^4-.25960615572676644142*c[0, 0]+.24240707320606005281*c[0, 1]-.21138413402536302932*c[0, 2]-0.87471982408028873830e-1*c[1, 0]+0.81551720514724265905e-1*c[1, 1]-0.70948357506605187480e-1*c[1, 2]+0.38631069150978361702e-3*c[2, 0]-0.30908363175691264053e-3*c[2, 1]+0.20086051245563603270e-3*c[2, 2]+133.92857142857142870*c[0, 0]*c[0, 2]*c[2, 0]*c[2, 2]+223.21428571428571431*c[0, 0]*c[1, 0]*c[1, 1]*c[2, 1]+8.3333333333333333335*10^(-19)*c[2, 0]^3*c[2, 2]-3.5156250088565194714*c[0, 0]*c[0, 1]+2.8515624892916628210*c[0, 0]*c[0, 2]-2.6601562620690206252*c[0, 1]*c[0, 2]+1.9565930553785368616*c[0, 0]*c[1, 0]-1.7578125044282597357*c[0, 0]*c[1, 1]+1.4257812446458314104*c[0, 0]*c[1, 2]+.38759818938809649672*c[0, 0]*c[2, 0]-.35156250088565194714*c[0, 0]*c[2, 1]+.28515624892916628210*c[0, 0]*c[2, 2]-1.7578125044282597357*c[0, 1]*c[1, 0]+1.6027185148900665608*c[0, 1]*c[1, 1]-1.3300781310345103126*c[0, 1]*c[1, 2]-.35156250088565194714*c[0, 1]*c[2, 0]+.31930356241547635364*c[0, 1]*c[2, 1]-.26601562620690206252*c[0, 1]*c[2, 2]+1.4257812446458314104*c[0, 2]*c[1, 0]-1.3300781310345103126*c[0, 2]*c[1, 1]+1.1557717292344486497*c[0, 2]*c[1, 2]+.28515624892916628210*c[0, 2]*c[2, 0]-.26601562620690206252*c[0, 2]*c[2, 1]-1.4062500035426077886*c[1, 0]*c[1, 1]+1.1406249957166651284*c[1, 0]*c[1, 2]+.78385063270263317745*c[1, 0]*c[2, 0]-.70312500177130389430*c[1, 0]*c[2, 1]+.57031249785833256420*c[1, 0]*c[2, 2]-1.0640625048276082500*c[1, 1]*c[1, 2]-.70312500177130389430*c[1, 1]*c[2, 0]+.64149187613976610195*c[1, 1]*c[2, 1]-.53203125241380412505*c[1, 1]*c[2, 2]+.57031249785833256420*c[1, 2]*c[2, 0]-.53203125241380412505*c[1, 2]*c[2, 1]+.46255137380402314644*c[1, 2]*c[2, 2]+.23041026150936755482*c[0, 2]*c[2, 2]-.60803571704434757145*c[2, 1]*c[2, 2]-.80357143059577587915*c[2, 0]*c[2, 1]+.65178571183809435905*c[2, 0]*c[2, 2]+1.2500000000000000000*10^(-18)*c[2, 0]^3*c[2, 1]-0.37467085050922198488e-1*c[1, 2]*d[2, 1]+0.21598281260207631468e-1*c[1, 2]*d[2, 2]-0.31234393774144145834e-1*c[1, 0]*d[2, 1]+0.83339008324553643905e-2*c[1, 0]*d[2, 2]-0.52057322956906909720e-1*c[1, 1]*d[2, 0]+0.68807884910447168185e-1*c[2, 2]*d[2, 0]-9.1392523614985873720*c[0, 0]^2*c[1, 2]-15.232087269164312287*c[0, 0]^2*c[0, 2]+1.5813768171724779521*c[2, 1]*c[2, 2]^2+.39078460912807123580*c[0, 0]*d[0, 0]+0.35436812885498769320e-1*c[1, 1]*d[2, 1]-0.13329512172578324201e-1*c[1, 1]*d[2, 2]+0.45871923273631445458e-1*c[1, 2]*d[2, 0]-2.1760124670234731837*c[2, 0]^2*c[2, 2]-2.8457009267743506797*c[2, 0]*c[2, 1]^2-1.8811215316929853200*c[2, 1]^2*c[2, 2]-5.1222616681938312235*c[0, 0]*c[2, 1]^2-9.7916666666666666665*10^(-18)*c[0, 0]*c[2, 1]^3-.43402777777777777762*c[0, 0]*c[2, 0]*d[0, 1]-2.6041666666666666666*c[0, 0]*c[2, 0]*d[0, 2]+2.1701388888888888892*c[0, 0]*c[2, 1]*d[0, 0]+.43402777777777777747*c[0, 0]*c[2, 1]*d[0, 1]+3.4722222222222222251*c[0, 1]*c[1, 2]*d[1, 0]+.69444444444444444210*c[0, 1]*c[1, 2]*d[1, 1]-1.4384920634920634830*c[0, 1]*c[1, 2]*d[1, 2]+2.1701388888888888892*c[0, 1]*c[2, 0]*d[0, 0]+.43402777777777777747*c[0, 1]*c[2, 0]*d[0, 1]-1.7361111111111111101*c[0, 1]*c[2, 0]*d[0, 2]+1.3020833333333333335*c[0, 1]*c[2, 1]*d[0, 0]+.43402777777777777774*c[0, 1]*c[2, 1]*d[0, 1]-1.0416666666666666642*c[0, 1]*c[2, 1]*d[0, 2]+.86805555555555555655*c[0, 1]*c[2, 2]*d[0, 0]+.17361111111111111314*c[0, 1]*c[2, 2]*d[0, 1]+1.7361111111111111162*c[0, 1]*c[1, 1]*d[1, 1]-4.1666666666666666642*c[0, 1]*c[1, 1]*d[1, 2]-.35962301587301587203*c[0, 1]*c[2, 2]*d[0, 2]+3.4722222222222222292*c[0, 2]*c[1, 0]*d[1, 1]-1.0416666666666666646*c[0, 2]*c[1, 0]*d[1, 2]+3.4722222222222222251*c[0, 2]*c[1, 1]*d[1, 0]+.69444444444444444210*c[0, 2]*c[1, 1]*d[1, 1]-1.4384920634920634830*c[0, 2]*c[1, 1]*d[1, 2]+8.6805555555555555565*c[1, 0]*c[1, 1]*d[0, 0]+1.7361111111111111108*c[1, 0]*c[1, 1]*d[0, 1]-6.9444444444444444355*c[1, 0]*c[1, 1]*d[0, 2]+3.4722222222222222292*c[1, 0]*c[1, 2]*d[0, 1]-1.0416666666666666646*c[1, 0]*c[1, 2]*d[0, 2]+8.6805555555555555565*c[0, 0]*c[1, 1]*d[1, 0]+1.7361111111111111108*c[0, 0]*c[1, 1]*d[1, 1]-6.9444444444444444355*c[0, 0]*c[1, 1]*d[1, 2]+3.4722222222222222292*c[0, 0]*c[1, 2]*d[1, 1]-1.0416666666666666646*c[0, 0]*c[1, 2]*d[1, 2]+3.9062500000000000001*c[0, 0]*c[2, 0]*d[0, 0]+3.4722222222222222251*c[1, 1]*c[1, 2]*d[0, 0]+.69444444444444444210*c[1, 1]*c[1, 2]*d[0, 1]-1.4384920634920634830*c[1, 1]*c[1, 2]*d[0, 2]+.78125000000000000010*c[0, 2]*c[2, 2]*d[0, 0]+.16121031746031746110*c[0, 2]*c[2, 2]*d[0, 1]-.59523809523809523795*c[0, 2]*c[2, 2]*d[0, 2]+3.1250000000000000020*c[0, 2]*c[1, 2]*d[1, 0]+.64484126984126984830*c[0, 2]*c[1, 2]*d[1, 1]-2.3809523809523809504*c[0, 2]*c[1, 2]*d[1, 2]+.86805555555555555635*c[0, 2]*c[2, 0]*d[0, 1]-.26041666666666666654*c[0, 2]*c[2, 0]*d[0, 2]+.86805555555555555655*c[0, 2]*c[2, 1]*d[0, 0]+.17361111111111111314*c[0, 2]*c[2, 1]*d[0, 1]-.35962301587301587203*c[0, 2]*c[2, 1]*d[0, 2]-1.7361111111111111101*c[0, 0]*c[2, 1]*d[0, 2]+.86805555555555555635*c[0, 0]*c[2, 2]*d[0, 1]-.26041666666666666654*c[0, 0]*c[2, 2]*d[0, 2]+.86805555555555555655*c[0, 1]*c[0, 2]*d[2, 0]+.17361111111111111314*c[0, 1]*c[0, 2]*d[2, 1]-.35962301587301587203*c[0, 1]*c[0, 2]*d[2, 2]+8.6805555555555555565*c[0, 1]*c[1, 0]*d[1, 0]+1.7361111111111111108*c[0, 1]*c[1, 0]*d[1, 1]-6.9444444444444444355*c[0, 1]*c[1, 0]*d[1, 2]+5.2083333333333333335*c[0, 1]*c[1, 1]*d[1, 0]+12.054392275515794927*c[0, 0]*c[1, 1]*c[2, 0]+7.3542053467450928500*c[0, 1]*c[2, 0]*c[2, 2]+9.3756384365122849430*c[0, 0]*c[0, 1]*c[2, 0]+12.054392275515794927*c[0, 1]*c[1, 0]*c[2, 0]+96.726190476190476330*c[0, 0]*c[0, 2]*c[1, 1]*c[2, 1]+145.08928571428571422*c[0, 0]*c[0, 2]*c[1, 2]*c[2, 0]+41.454081632653063902*c[0, 0]*c[0, 2]*c[1, 2]*c[2, 2]+96.726190476190476330*c[0, 1]*c[0, 2]*c[1, 0]*c[2, 1]+96.726190476190476330*c[0, 1]*c[0, 2]*c[1, 1]*c[2, 0]+4.3402777777777777708*c[0, 2]*c[1, 0]*d[0, 1]-1.3020833333333333354*c[0, 2]*c[1, 0]*d[0, 2]+4.3402777777777777686*c[0, 2]*c[1, 1]*d[0, 0]+.86805555555555553445*c[0, 2]*c[1, 1]*d[0, 1]-1.7981150793650793742*c[0, 2]*c[1, 1]*d[0, 2]+3.9062499999999999980*c[0, 2]*c[1, 2]*d[0, 0]+.80605158730158729455*c[0, 2]*c[1, 2]*d[0, 1]-2.9761904761904761925*c[0, 2]*c[1, 2]*d[0, 2]+10.850694444444444444*c[0, 0]*c[0, 1]*d[1, 0]+2.1701388888888888873*c[0, 0]*c[0, 1]*d[1, 1]-8.6805555555555555645*c[0, 0]*c[0, 1]*d[1, 2]+4.3402777777777777708*c[0, 0]*c[0, 2]*d[1, 1]-1.3020833333333333354*c[0, 0]*c[0, 2]*d[1, 2]+19.531250000000000000*c[0, 0]*c[1, 0]*d[0, 0]+4.3402777777777777686*c[0, 1]*c[0, 2]*d[1, 0]+8.6805555555555555635*c[0, 0]*c[0, 2]*d[0, 1]+8.6805555555555555655*c[0, 1]*c[0, 2]*d[0, 0]+1.7361111111111111314*c[0, 1]*c[0, 2]*d[0, 1]-3.5962301587301587203*c[0, 1]*c[0, 2]*d[0, 2]+21.701388888888888892*c[0, 0]*c[0, 1]*d[0, 0]+4.3402777777777777747*c[0, 0]*c[0, 1]*d[0, 1]-17.361111111111111101*c[0, 0]*c[0, 1]*d[0, 2]-2.0000000000000000000*10^(-18)*c[0, 0]*c[0, 2]*d[1, 0]+1.2500000000000000000*10^(-18)*c[0, 0]*c[0, 2]*d[0, 0]+1.2500000000000000000*10^(-18)*c[1, 0]*c[2, 0]^2*c[2, 1]+3.0000000000000000000*10^(-17)*c[1, 0]*c[2, 0]^2*c[2, 2]-6.6458333333333333335*10^(-17)*c[1, 0]*c[2, 1]*c[2, 2]^2+1.2500000000000000000*10^(-18)*c[1, 1]*c[2, 0]^2*c[2, 2]-3.0000000000000000000*10^(-17)*c[1, 1]*c[2, 0]*c[2, 1]^2-6.6458333333333333335*10^(-17)*c[1, 1]*c[2, 0]*c[2, 2]^2+1.0541666666666666666*10^(-16)*c[1, 1]*c[2, 1]^2*c[2, 2]+1.2500000000000000000*10^(-18)*c[1, 2]*c[2, 0]^2*c[2, 1]+2.5813244047619047619*10^(-16)*c[1, 2]*c[2, 1]*c[2, 2]^2+241.81547619047619044*c[0, 0]*c[0, 1]*c[1, 0]*c[2, 1]+241.81547619047619044*c[0, 0]*c[0, 1]*c[1, 1]*c[2, 0]+96.726190476190476330*c[0, 0]*c[0, 1]*c[1, 1]*c[2, 2]+96.726190476190476330*c[0, 0]*c[0, 1]*c[1, 2]*c[2, 1]+145.08928571428571422*c[0, 0]*c[0, 2]*c[1, 0]*c[2, 2]+208.33333333333333334*c[0, 0]*c[0, 1]*c[0, 2]*c[1, 1]-1.3950259487587018906*c[2, 0]^3-.44619985845521511922*c[2, 2]^3+.82601243731499940205*c[2, 1]^3-1.1601196319835593102*c[1, 2]^3+2.1476323370189984455*c[1, 1]^3+5.7820870612049958145*c[0, 1]^3-3.1233990091865058347*c[0, 2]^3+1.0416667005208333334*10^8*d[0, 0]^2+4.1666667187500000000*10^7*d[0, 1]^2+2.3809525922619047619*10^7*d[0, 2]^2+3.4722223350694444444*10^7*d[1, 0]^2+1.3888889062500000002*10^7*d[1, 1]^2+7.9365086408730158725*10^6*d[1, 2]^2+2.0833334010416666666*10^7*d[2, 0]^2+8.3333334375000000000*10^6*d[2, 1]^2+4.7619051845238095238*10^6*d[2, 2]^2+2.4416597526209407942*10^6*d[0, 0]-2.8512384252709060547*10^6*d[0, 1]-4.1731892473399419396*10^6*d[0, 2]-1.2987180575168411500*10^7*d[1, 0]-9.9712719361545637750*10^6*d[1, 1]-6.7854374494511594850*10^5*d[1, 2]-8.6142789001371026330*10^5*d[2, 0]+3.6945676880828881786*10^6*d[2, 1]+4.5336598854266311288*10^6*d[2, 2]+12.054392275515794927*c[0, 0]*c[1, 0]*c[2, 1]+223.21428571428571431*c[0, 1]*c[1, 0]*c[1, 1]*c[2, 0]+89.285714285714285725*c[0, 1]*c[1, 0]*c[1, 1]*c[2, 2]+89.285714285714285725*c[0, 1]*c[1, 0]*c[1, 2]*c[2, 1]+186.01190476190476191*c[0, 1]*c[1, 0]*c[2, 0]*c[2, 1]+74.404761904761904800*c[0, 1]*c[1, 0]*c[2, 1]*c[2, 2]+89.285714285714285725*c[0, 1]*c[1, 1]*c[1, 2]*c[2, 0]+70.153061224489797670*c[0, 1]*c[1, 1]*c[1, 2]*c[2, 2]+74.404761904761904800*c[0, 1]*c[1, 1]*c[2, 0]*c[2, 2]+74.404761904761904800*c[0, 1]*c[1, 2]*c[2, 0]*c[2, 1]+58.460884353741495065*c[0, 1]*c[1, 2]*c[2, 1]*c[2, 2]+56.818181818181818180*c[0, 1]*c[2, 0]*c[2, 1]*c[2, 2]+89.285714285714285725*c[0, 2]*c[1, 0]*c[1, 1]*c[2, 1]+133.92857142857142870*c[0, 2]*c[1, 0]*c[1, 2]*c[2, 0]+38.265306122448979224*c[0, 2]*c[1, 0]*c[1, 2]*c[2, 2]+111.60714285714285709*c[0, 2]*c[1, 0]*c[2, 0]*c[2, 2]+70.153061224489797670*c[0, 2]*c[1, 1]*c[1, 2]*c[2, 1]+223.21428571428571431*c[0, 0]*c[0, 1]*c[2, 0]*c[2, 1]+89.285714285714285725*c[0, 0]*c[0, 1]*c[2, 1]*c[2, 2]+245.53571428571428597*c[0, 0]*c[0, 2]*c[1, 0]*c[1, 2]-3.1250000000000000000*10^(-18)*c[0, 1]*c[0, 2]*c[2, 0]^2-2.8437500000000000000*10^(-16)*c[0, 1]*c[0, 2]*c[2, 1]^2-4.3327752976190476190*10^(-16)*c[0, 1]*c[0, 2]*c[2, 2]^2-9.7916666666666666665*10^(-17)*c[0, 1]*c[1, 0]^2*c[1, 2]+6.2500000000000000000*10^(-18)*c[0, 1]*c[1, 0]^2*c[2, 0]-3.1250000000000000000*10^(-18)*c[0, 1]*c[1, 0]^2*c[2, 2]+2.1875000000000000000*10^(-17)*c[0, 1]*c[1, 0]*c[1, 1]^2-1.1875000000000000000*10^(-16)*c[0, 1]*c[1, 0]*c[1, 2]^2+6.2500000000000000000*10^(-18)*c[0, 1]*c[1, 0]*c[2, 0]^2-1.4062500000000000000*10^(-17)*c[0, 1]*c[1, 0]*c[2, 1]^2+1.1875000000000000000*10^(-16)*c[0, 1]*c[1, 0]*c[2, 2]^2-2.0104166666666666666*10^(-16)*c[0, 0]*c[0, 1]*c[2, 2]^2-2.0104166666666666666*10^(-16)*c[0, 0]*c[0, 2]^2*c[2, 1]-3.7500000000000000000*10^(-17)*c[0, 0]*c[0, 2]*c[1, 0]^2-3.3333333333333333334*10^(-17)*c[0, 0]*c[0, 2]*c[2, 0]^2-6.2500000000000000000*10^(-18)*c[0, 0]*c[1, 0]^2*c[1, 1]+4.1666666666666666666*10^(-18)*c[0, 0]*c[1, 0]^2*c[1, 2]+6.2500000000000000000*10^(-18)*c[0, 0]*c[1, 0]^2*c[2, 1]-3.3333333333333333334*10^(-17)*c[0, 0]*c[1, 0]^2*c[2, 2]+3.8541666666666666666*10^(-17)*c[0, 0]*c[1, 1]^2*c[2, 1]-1.1875000000000000000*10^(-16)*c[0, 0]*c[1, 1]*c[1, 2]^2+6.2500000000000000000*10^(-18)*c[0, 0]*c[1, 1]*c[2, 0]^2-1.4062500000000000000*10^(-17)*c[0, 0]*c[1, 1]*c[2, 1]^2+1.1875000000000000000*10^(-16)*c[0, 0]*c[1, 1]*c[2, 2]^2-2.0104166666666666666*10^(-16)*c[0, 0]*c[1, 2]^2*c[2, 1]-4.1666666666666666666*10^(-18)*c[0, 0]*c[1, 2]*c[2, 0]^2-1.2500000000000000000*10^(-18)*c[0, 0]*c[2, 0]^2*c[2, 1]-2.5833333333333333334*10^(-17)*c[0, 0]*c[2, 0]^2*c[2, 2]-3.5416666666666666666*10^(-17)*c[1, 0]^2*c[1, 1]*c[2, 2]+4.1666666666666666666*10^(-18)*c[1, 0]^2*c[1, 2]*c[2, 0]+6.2500000000000000000*10^(-18)*c[0, 0]^2*c[0, 1]*c[2, 0]-3.1250000000000000000*10^(-18)*c[0, 0]^2*c[0, 1]*c[2, 2]-4.8958333333333333334*10^(-19)*c[1, 0]*c[1, 2]*d[2, 0]-4.8958333333333333334*10^(-19)*c[1, 0]*c[2, 2]*d[1, 0]-1.0625000000000000000*10^(-18)*c[1, 0]*c[2, 2]*d[2, 0]-5.6791666666666666665*10^(-16)*c[0, 0]*c[2, 1]*c[2, 2]^2+1.9791666666666666666*10^(-19)*c[2, 0]*c[2, 2]*d[0, 0]-1.0625000000000000000*10^(-18)*c[2, 0]*c[2, 2]*d[1, 0]+1.2500000000000000000*10^(-19)*c[2, 0]*c[2, 2]*d[2, 0]+1.1041666666666666666*10^(-16)*c[0, 0]*c[0, 1]*c[1, 1]^2-8.2291666666666666665*10^(-17)*c[0, 0]*c[0, 1]*c[1, 2]^2+6.2500000000000000000*10^(-18)*c[0, 0]*c[0, 1]*c[2, 0]^2+3.8541666666666666666*10^(-17)*c[0, 0]*c[0, 1]*c[2, 1]^2+8.4214657738095238095*10^(-16)*c[0, 2]*c[2, 1]*c[2, 2]^2-1.4062500000000000000*10^(-16)*c[1, 0]^2*c[1, 1]*c[1, 2]-6.2500000000000000000*10^(-18)*c[1, 0]^2*c[1, 1]*c[2, 0]-4.8958333333333333334*10^(-19)*c[1, 2]*c[2, 0]*d[1, 0]-1.0625000000000000000*10^(-18)*c[1, 2]*c[2, 0]*d[2, 0]-6.2412338304998689980*c[0, 2]*c[1, 2]*c[2, 0]+7.3542053467450928500*c[0, 2]*c[2, 0]*c[2, 1]+10.622741056409578562*c[1, 0]*c[1, 1]*c[1, 2]+11.161474329181291599*c[1, 0]*c[1, 1]*c[2, 0]-9.4856697559145022660*c[1, 0]*c[1, 1]*c[2, 1]+6.8094493951343452315*c[1, 0]*c[1, 1]*c[2, 2]-7.2533748900782439460*c[1, 0]*c[1, 2]*c[2, 0]+6.8094493951343452315*c[1, 0]*c[1, 2]*c[2, 1]+9.3756384365122849430*c[1, 0]*c[2, 0]*c[2, 1]-7.8336448812845034615*c[0, 0]*c[1, 2]*c[2, 0]+5.6929565418209206280*c[0, 2]*c[1, 2]*c[2, 1]-4.8189584713163232880*c[0, 2]*c[1, 2]*c[2, 2]+28.126915309536854830*c[0, 0]*c[0, 1]*c[1, 0]-18.591912721592424441*c[0, 1]*c[1, 0]*c[1, 1]+67.640692640692640750*c[1, 0]*c[1, 1]*c[2, 1]*c[2, 2]+101.46103896103896089*c[1, 0]*c[1, 2]*c[2, 0]*c[2, 2]+67.640692640692640750*c[1, 1]*c[1, 2]*c[2, 0]*c[2, 1]+53.146258503401361240*c[1, 1]*c[1, 2]*c[2, 1]*c[2, 2]+56.141774891774891710*c[1, 1]*c[2, 0]*c[2, 1]*c[2, 2]+163.69047619047619034*c[0, 0]*c[0, 1]*c[1, 1]*c[1, 2]-2.5000000000000000000*10^(-18)*c[0, 1]*c[2, 0]^3+7.3542053467450928500*c[0, 1]*c[1, 2]*c[2, 0]-6.7720375140947471530*c[0, 1]*c[1, 2]*c[2, 1]+5.6929565418209206280*c[0, 1]*c[1, 2]*c[2, 2]-10.244523336387662447*c[0, 1]*c[2, 0]*c[2, 1]-5.7789202134258046285*c[1, 0]*c[1, 2]*c[2, 2]-6.0928349076657249145*c[1, 0]*c[2, 0]*c[2, 2]+5.7199374919128499945*c[1, 0]*c[2, 1]*c[2, 2]+6.8094493951343452315*c[1, 1]*c[1, 2]*c[2, 0]+4.4278550880829382661*c[1, 2]*c[2, 1]*c[2, 2]-6.7720375140947471530*c[0, 1]*c[2, 1]*c[2, 2]+4.0856696370806071388*c[2, 0]*c[2, 1]*c[2, 2]+5.7199374919128499945*c[1, 1]*c[2, 0]*c[2, 2]-5.2671402887403588965*c[1, 1]*c[2, 1]*c[2, 2]+5.7199374919128499945*c[1, 2]*c[2, 0]*c[2, 1]-4.8542929792776758874*c[1, 2]*c[2, 0]*c[2, 2]-6.2412338304998689980*c[0, 2]*c[2, 0]*c[2, 2]+5.6929565418209206280*c[0, 2]*c[2, 1]*c[2, 2]-6.2704051056432844010*c[1, 1]*c[1, 2]*c[2, 1]+5.2712560572415931745*c[1, 1]*c[1, 2]*c[2, 2]+5.6929565418209206280*c[0, 2]*c[1, 1]*c[2, 2]+5.7199374919128499945*c[0, 0]*c[0, 2]*c[2, 1]-4.8542929792776758874*c[0, 0]*c[0, 2]*c[2, 2]-23.903887784904545710*c[0, 0]*c[0, 1]*c[1, 1]+17.159812475738549983*c[0, 0]*c[0, 1]*c[1, 2]-18.278504722997174744*c[0, 0]*c[0, 2]*c[1, 0]+17.159812475738549983*c[0, 0]*c[0, 2]*c[1, 1]-14.562878937833027662*c[0, 0]*c[0, 2]*c[1, 2]+17.159812475738549983*c[0, 1]*c[0, 2]*c[1, 0]+28.599687459564249972*c[0, 0]*c[0, 1]*c[0, 2]-14.216614784553358134*c[0, 0]*c[1, 0]*c[1, 2]-7.8336448812845034615*c[0, 0]*c[1, 0]*c[2, 2]+13.346520814463316654*c[0, 0]*c[1, 1]*c[1, 2]-10.244523336387662447*c[0, 0]*c[1, 1]*c[2, 1]+7.3542053467450928500*c[0, 0]*c[1, 1]*c[2, 2]+7.3542053467450928500*c[0, 2]*c[1, 0]*c[2, 1]+13.346520814463316654*c[0, 1]*c[1, 0]*c[1, 2]-10.244523336387662447*c[0, 1]*c[1, 0]*c[2, 1]+7.3542053467450928500*c[0, 1]*c[1, 0]*c[2, 2]-12.289994007060837425*c[0, 1]*c[1, 1]*c[1, 2]-10.244523336387662447*c[0, 1]*c[1, 1]*c[2, 0]+8.9209343230019935420*c[0, 1]*c[1, 1]*c[2, 1]-6.7720375140947471530*c[0, 1]*c[1, 1]*c[2, 2]+70.177218614718614720*c[1, 0]*c[2, 0]*c[2, 1]^2+42.106331168831168770*c[1, 0]*c[2, 0]*c[2, 2]^2+28.070887445887445916*c[1, 0]*c[2, 1]^2*c[2, 2]+70.177218614718614720*c[1, 1]*c[2, 0]^2*c[2, 1]+22.055697278911564848*c[1, 1]*c[2, 1]*c[2, 2]^2+42.106331168831168770*c[1, 2]*c[2, 0]^2*c[2, 2]+28.070887445887445916*c[1, 2]*c[2, 0]*c[2, 1]^2+12.030380333951763120*c[1, 2]*c[2, 0]*c[2, 2]^2+22.055697278911564848*c[1, 2]*c[2, 1]^2*c[2, 2]+6.2500000000000000000*10^(-18)*c[0, 0]^2*c[2, 0]*c[2, 1]-3.3333333333333333334*10^(-17)*c[0, 0]^2*c[2, 0]*c[2, 2]-3.1250000000000000000*10^(-18)*c[0, 0]^2*c[2, 1]*c[2, 2]+3.8541666666666666666*10^(-17)*c[0, 0]*c[0, 1]^2*c[2, 1]+1.2500000000000000000*10^(-17)*c[0, 0]*c[0, 1]*c[1, 0]^2-3.5416666666666666666*10^(-17)*c[1, 0]^2*c[1, 2]*c[2, 1]-2.5000000000000000000*10^(-17)*c[1, 0]^2*c[2, 0]*c[2, 2]-1.9270833333333333334*10^(-17)*c[1, 0]^2*c[2, 1]*c[2, 2]+1.4062500000000000000*10^(-17)*c[1, 0]*c[1, 1]^2*c[2, 1]+1.1979166666666666666*10^(-16)*c[1, 0]*c[1, 1]*c[1, 2]^2+1.1979166666666666666*10^(-17)*c[1, 0]*c[1, 1]*c[2, 1]^2+3.5312500000000000000*10^(-16)*c[1, 0]*c[1, 1]*c[2, 2]^2-1.1875000000000000000*10^(-16)*c[1, 0]*c[1, 2]^2*c[2, 1]-2.5000000000000000000*10^(-17)*c[1, 0]*c[1, 2]*c[2, 0]^2-1.8645833333333333334*10^(-16)*c[0, 1]*c[1, 1]^2*c[1, 2]+3.8541666666666666666*10^(-17)*c[0, 1]*c[1, 1]^2*c[2, 0]-2.8437500000000000000*10^(-16)*c[0, 1]*c[1, 1]^2*c[2, 2]-2.0104166666666666666*10^(-16)*c[0, 1]*c[1, 2]^2*c[2, 0]-4.3327752976190476190*10^(-16)*c[0, 1]*c[1, 2]^2*c[2, 2]+3.5416666666666666666*10^(-17)*c[0, 1]*c[1, 2]*c[2, 0]^2+1.8645833333333333334*10^(-16)*c[0, 1]*c[1, 2]*c[2, 1]^2+1.4667782738095238095*10^(-15)*c[0, 1]*c[1, 2]*c[2, 2]^2+3.1041666666666666666*10^(-17)*c[0, 1]*c[2, 0]^2*c[2, 2]+1.8020833333333333334*10^(-17)*c[0, 1]*c[2, 0]*c[2, 1]^2-5.6791666666666666665*10^(-16)*c[0, 1]*c[2, 0]*c[2, 2]^2+4.6666666666666666666*10^(-17)*c[0, 1]*c[2, 1]^2*c[2, 2]-8.2291666666666666665*10^(-17)*c[0, 2]^2*c[1, 0]*c[1, 1]+8.2291666666666666665*10^(-17)*c[0, 2]^2*c[1, 0]*c[2, 1]+4.7672247023809523810*10^(-15)*c[0, 2]^2*c[1, 1]*c[1, 2]+8.2291666666666666665*10^(-17)*c[0, 2]^2*c[1, 1]*c[2, 0]-6.2418340773809523810*10^(-15)*c[0, 2]^2*c[1, 1]*c[2, 2]-3.3333333333333333334*10^(-17)*c[0, 0]^2*c[0, 2]*c[2, 0]-3.1250000000000000000*10^(-18)*c[0, 0]^2*c[0, 2]*c[2, 1]+1.2500000000000000000*10^(-17)*c[0, 0]^2*c[1, 0]*c[1, 1]-3.7500000000000000000*10^(-17)*c[0, 0]^2*c[1, 0]*c[1, 2]-1.2500000000000000000*10^(-17)*c[0, 0]^2*c[1, 0]*c[2, 1]+3.7500000000000000000*10^(-17)*c[0, 0]^2*c[1, 0]*c[2, 2]+1.1562500000000000000*10^(-16)*c[0, 0]^2*c[1, 1]*c[1, 2]-1.2500000000000000000*10^(-17)*c[0, 0]^2*c[1, 1]*c[2, 0]-1.1562500000000000000*10^(-16)*c[0, 0]^2*c[1, 1]*c[2, 2]+3.7500000000000000000*10^(-17)*c[0, 0]^2*c[1, 2]*c[2, 0]-1.1562500000000000000*10^(-16)*c[0, 0]^2*c[1, 2]*c[2, 1]-3.6270674667726249156*c[1, 0]^3-2.6041666666666666654*c[0, 0]*c[0, 2]*d[0, 2]-9.7651816413109132340*c[0, 0]^3+6.0876623376623373160*c[0, 2]*c[2, 2]^3+102.30654761904761905*c[1, 0]^3*c[2, 0]+126.82629870129870130*c[1, 0]^2*c[2, 0]^2+42.275432900432900429*c[1, 0]^2*c[2, 1]^2+25.365259740259740240*c[1, 0]^2*c[2, 2]^2+70.177218614718614720*c[1, 0]*c[2, 0]^3+4.0101267779839207100*c[1, 0]*c[2, 2]^3+20.461309523809523829*c[1, 1]^3*c[2, 1]+42.275432900432900429*c[1, 1]^2*c[2, 0]^2+25.365259740259740265*c[1, 1]^2*c[2, 1]^2+13.286564625850339996*c[1, 1]^2*c[2, 2]^2+5.8460884353741497675*c[1, 2]^3*c[2, 0]+8.7691326530612250390*c[1, 2]^3*c[2, 2]+22.321428571428571428*c[0, 0]*c[0, 2]^3+195.31250000000000000*c[0, 0]^2*c[0, 1]^2+117.18750000000000000*c[0, 0]^2*c[0, 2]^2+22.321428571428571437*c[0, 2]^3*c[1, 2]+61.383928571428571430*c[0, 1]^2*c[0, 2]^2+167.41071428571428572*c[0, 0]*c[1, 0]^3+9.5663265306122453975*c[0, 0]*c[1, 2]^3+33.482142857142857126*c[0, 1]*c[1, 1]^3+14.349489795918367897*c[0, 2]*c[1, 2]^3+17.538265306122448595*c[0, 1]^2*c[2, 2]^2+33.482142857142857126*c[0, 2]^2*c[2, 0]^2+17.538265306122448595*c[0, 2]^2*c[2, 1]^2+14.349489795918367897*c[0, 2]^2*c[2, 2]^2+71.304563492063492060*c[1, 0]^2*c[1, 1]^2+42.782738095238095180*c[1, 0]^2*c[1, 2]^2+8.1490929705215423115*c[1, 0]*c[1, 2]^3+22.410005668934240696*c[1, 1]^2*c[1, 2]^2+167.41071428571428572*c[0, 0]^2*c[2, 0]^2+55.803571428571428575*c[0, 0]^2*c[2, 1]^2+33.482142857142857126*c[0, 0]^2*c[2, 2]^2+55.803571428571428575*c[0, 1]^2*c[2, 0]^2+33.482142857142857126*c[0, 1]^2*c[2, 1]^2+14.880952380952380960*c[0, 2]^3*c[1, 0]+6.3775510204081635330*c[0, 2]^3*c[2, 0]+260.41666666666666668*c[0, 0]^3*c[1, 0]+52.083333333333333305*c[0, 1]^3*c[1, 1]+306.91964285714285715*c[0, 0]^2*c[1, 0]^2+102.30654761904761905*c[0, 0]^2*c[1, 1]^2+61.383928571428571495*c[0, 0]^2*c[1, 2]^2+22.321428571428571454*c[0, 1]^3*c[2, 1]+102.30654761904761905*c[0, 1]^2*c[1, 0]^2+61.383928571428571405*c[0, 1]^2*c[1, 1]^2+32.153486394557822004*c[0, 1]^2*c[1, 2]^2+9.5663265306122508700*c[0, 2]^3*c[2, 2]+61.383928571428571495*c[0, 2]^2*c[1, 0]^2+32.153486394557822004*c[0, 2]^2*c[1, 1]^2+26.307397959183681949*c[0, 2]^2*c[1, 2]^2+111.60714285714285714*c[0, 0]^3*c[2, 0]+2.1701388888888888900*c[0, 1]^2*d[0, 1]-5.2083333333333333595*c[0, 1]^2*d[0, 2]+19.531250000000000000*c[0, 0]^2*d[0, 0]-2.1701388888888888896*c[0, 0]^2*d[0, 1]-13.020833333333333336*c[0, 0]^2*d[0, 2]+6.5104166666666666665*c[0, 1]^2*d[0, 0]+3.9062499999999999980*c[0, 2]^2*d[0, 0]+.80605158730158729455*c[0, 2]^2*d[0, 1]-2.9761904761904761925*c[0, 2]^2*d[0, 2]+.32242063492063491360*c[1, 2]^2*d[0, 1]-1.1904761904761904782*c[1, 2]^2*d[0, 2]+1.1718750000000000000*c[1, 2]^2*d[1, 0]+.24181547619047619048*c[1, 2]^2*d[1, 1]-.89285714285714285715*c[1, 2]^2*d[1, 2]+.72544642857142857235*c[1, 2]^2*d[2, 0]+.14969529478458050371*c[1, 2]^2*d[2, 1]-.55272108843537418325*c[1, 2]^2*d[2, 2]+4.4642857142857142858*c[2, 0]^2*d[0, 0]-.49603174603174603138*c[2, 0]^2*d[0, 1]-2.9761904761904761908*c[2, 0]^2*d[0, 2]+3.0691964285714285714*c[2, 0]^2*d[1, 0]-.34102182539682539696*c[2, 0]^2*d[1, 1]-2.0461309523809523816*c[2, 0]^2*d[1, 2]+1.9531250000000000000*c[2, 0]^2*d[2, 0]-.21701388888888888896*c[2, 0]^2*d[2, 1]-1.3020833333333333336*c[2, 0]^2*d[2, 2]+1.4880952380952380958*c[2, 1]^2*d[0, 0]+.49603174603174603238*c[2, 1]^2*d[0, 1]-1.1904761904761904712*c[2, 1]^2*d[0, 2]+1.0230654761904761904*c[2, 1]^2*d[1, 0]+.34102182539682539725*c[2, 1]^2*d[1, 1]-.81845238095238095465*c[2, 1]^2*d[1, 2]+.65104166666666666665*c[2, 1]^2*d[2, 0]+.21701388888888888900*c[2, 1]^2*d[2, 1]-.52083333333333333595*c[2, 1]^2*d[2, 2]+.89285714285714286185*c[2, 2]^2*d[0, 0]+.18424036281179139192*c[2, 2]^2*d[0, 1]-.68027210884353744525*c[2, 2]^2*d[0, 2]+.61383928571428571005*c[2, 2]^2*d[1, 0]+.12666524943310657284*c[2, 2]^2*d[1, 1]-.46768707482993197545*c[2, 2]^2*d[1, 2]+.39062499999999999980*c[2, 2]^2*d[2, 0]+0.80605158730158729455e-1*c[2, 2]^2*d[2, 1]-.29761904761904761925*c[2, 2]^2*d[2, 2]+9.7656250000000000000*c[0, 0]^2*d[1, 0]-1.0850694444444444436*c[0, 0]^2*d[1, 1]-6.5104166666666666665*c[0, 0]^2*d[1, 2]+1.9531250000000000000*c[0, 0]^2*d[2, 0]-.21701388888888888896*c[0, 0]^2*d[2, 1]-1.3020833333333333336*c[0, 0]^2*d[2, 2]+3.2552083333333333335*c[0, 1]^2*d[1, 0]+1.0850694444444444477*c[0, 1]^2*d[1, 1]-2.6041666666666666642*c[0, 1]^2*d[1, 2]+.65104166666666666665*c[0, 1]^2*d[2, 0]+.21701388888888888900*c[0, 1]^2*d[2, 1]-.52083333333333333595*c[0, 1]^2*d[2, 2]+1.9531250000000000001*c[0, 2]^2*d[1, 0]+.40302579365079365782*c[0, 2]^2*d[1, 1]-1.4880952380952380932*c[0, 2]^2*d[1, 2]+.39062499999999999980*c[0, 2]^2*d[2, 0]+0.80605158730158729455e-1*c[0, 2]^2*d[2, 1]-.29761904761904761925*c[0, 2]^2*d[2, 2]+7.8125000000000000000*c[1, 0]^2*d[0, 0]-.86805555555555555570*c[1, 0]^2*d[0, 1]-5.2083333333333333335*c[1, 0]^2*d[0, 2]+5.8593750000000000000*c[1, 0]^2*d[1, 0]-.65104166666666666665*c[1, 0]^2*d[1, 1]-3.9062500000000000000*c[1, 0]^2*d[1, 2]+3.6272321428571428571*c[1, 0]^2*d[2, 0]-.40302579365079365066*c[1, 0]^2*d[2, 1]-2.4181547619047619052*c[1, 0]^2*d[2, 2]+2.6041666666666666665*c[1, 1]^2*d[0, 0]+.86805555555555555230*c[1, 1]^2*d[0, 1]-2.0833333333333333358*c[1, 1]^2*d[0, 2]+1.9531250000000000000*c[1, 1]^2*d[1, 0]+.65104166666666666665*c[1, 1]^2*d[1, 1]-1.5625000000000000000*c[1, 1]^2*d[1, 2]+1.2090773809523809518*c[1, 1]^2*d[2, 0]+.40302579365079365016*c[1, 1]^2*d[2, 1]-.96726190476190476180*c[1, 1]^2*d[2, 2]+1.5624999999999999999*c[1, 2]^2*d[0, 0]+31.804133366633366634*c[2, 0]^2*c[2, 1]^2+19.082480019980019974*c[2, 0]^2*c[2, 2]^2+3.6347580990438134434*c[2, 0]*c[2, 2]^3+9.9955847723704866425*c[2, 1]^2*c[2, 2]^2+14.035443722943722942*c[1, 1]*c[2, 1]^3+25.365259740259740240*c[1, 2]^2*c[2, 0]^2+13.286564625850339996*c[1, 2]^2*c[2, 1]^2+10.870825602968453070*c[1, 2]^2*c[2, 2]^2+6.0151901669758816360*c[1, 2]*c[2, 2]^3+71.022727272727272730*c[0, 0]*c[2, 0]^3+4.0584415584415583362*c[0, 0]*c[2, 2]^3+14.204545454545454542*c[0, 1]*c[2, 1]^3-3.0464174538328624574*c[1, 2]*c[2, 0]^2-2.6335701443701794482*c[1, 2]*c[2, 1]^2-1.8740394055119035008*c[1, 2]*c[2, 2]^2+3.3484422987543874796*c[2, 0]^2*c[2, 1]-2.4271464896388379437*c[1, 0]*c[2, 2]^2-4.8909159824017618326*c[1, 1]^2*c[1, 2]+6.6417826321244073990*c[0, 2]^2*c[1, 1]-5.6221182165357105025*c[0, 2]^2*c[1, 2]-2.4271464896388379437*c[0, 2]^2*c[2, 0]-0.78085984435360364590e-1*c[1, 0]*d[1, 1]+0.20834752081138410989e-1*c[1, 0]*d[1, 2]-1.8740394055119035008*c[0, 2]^2*c[2, 2]-6.1449970035304187125*c[0, 2]*c[1, 1]^2-4.3727586128611081686*c[0, 2]*c[1, 2]^2-1.2500000000000000000*10^(-18)*c[1, 2]*c[2, 0]^3+9.7916666666666666665*10^(-17)*c[0, 0]*c[0, 1]*c[0, 2]*c[2, 0]+1.1875000000000000000*10^(-16)*c[0, 0]*c[0, 1]*c[0, 2]*c[2, 2]-1.7708333333333333334*10^(-17)*c[0, 0]*c[0, 1]*c[1, 0]*c[1, 2]+11.069637720207345666*c[0, 1]*c[0, 2]^2-.13014330739226727432*c[0, 1]*d[1, 0]-0.78085984435360364590e-1*c[1, 0]*d[0, 1]-.13014330739226727432*c[1, 1]*d[0, 0]-12.135732448194189718*c[0, 0]*c[0, 2]^2-13.167850721850897241*c[0, 1]^2*c[0, 2]+2.8464782709104603140*c[0, 1]*c[2, 2]^2-0.93667712627305496220e-1*c[1, 2]*d[0, 1]-0.19994268258867486288e-1*c[2, 1]*d[2, 2]-5.6633418091572885355*c[0, 0]*c[1, 2]^2-3.1206169152499344990*c[0, 0]*c[2, 2]^2+10.407756710168992466*c[0, 1]^2*c[1, 1]-7.9007104331105383445*c[0, 1]^2*c[1, 2]+156.25000000000000000*c[0, 0]*c[0, 1]^2*c[0, 2]+2.9895833333333333334*10^(-17)*c[1, 2]*c[2, 1]^3-3.3860187570473735764*c[0, 2]*c[2, 1]^2-2.4094792356581616439*c[0, 2]*c[2, 2]^2-4.5075577664721276092*c[1, 0]*c[1, 2]^2+.11467980818407861364*c[1, 2]*d[0, 0]+0.52104614550409498110e-1*c[2, 0]*d[1, 0]-0.31234393774144145834e-1*c[2, 0]*d[1, 1]+0.83339008324553643905e-2*c[2, 0]*d[1, 2]-0.52057322956906909720e-1*c[2, 1]*d[1, 0]-.13014330739226727432*c[1, 1]*d[1, 0]+0.88592032213746923305e-1*c[1, 1]*d[1, 1]-0.33323780431445810496e-1*c[1, 1]*d[1, 2]+.11467980818407861364*c[1, 2]*d[1, 0]-0.93667712627305496220e-1*c[1, 2]*d[1, 1]+0.20834752081138410989e-1*c[0, 0]*d[1, 2]+0.88592032213746923305e-1*c[0, 1]*d[1, 1]-0.33323780431445810496e-1*c[0, 1]*d[1, 2]+.11467980818407861364*c[0, 2]*d[1, 0]-0.93667712627305496220e-1*c[0, 2]*d[1, 1]+0.53995703150519078680e-1*c[0, 2]*d[1, 2]+0.20834752081138410989e-1*c[1, 0]*d[0, 2]+0.88592032213746923305e-1*c[1, 1]*d[0, 1]-0.33323780431445810496e-1*c[1, 1]*d[0, 2]-.23425795330608109374*c[0, 0]*d[0, 1]-1.2500000000000000000*10^(-19)*c[1, 0]*c[2, 2]*d[0, 0]-6.2418340773809523810*10^(-15)*c[0, 2]^2*c[1, 2]*c[2, 1]-2.0104166666666666666*10^(-16)*c[0, 2]^2*c[2, 0]*c[2, 1]-4.3327752976190476190*10^(-16)*c[0, 2]^2*c[2, 1]*c[2, 2]-9.7916666666666666665*10^(-17)*c[0, 2]*c[1, 0]^2*c[1, 1]-3.3333333333333333334*10^(-17)*c[0, 2]*c[1, 0]^2*c[2, 0]-5.7291666666666666665*10^(-18)*c[2, 0]^2*c[2, 1]*c[2, 2]-1.3333333333333333334*10^(-16)*c[2, 0]*c[2, 1]*c[2, 2]^2-2.0000000000000000000*10^(-18)*c[0, 2]*c[1, 0]*d[0, 0]+1.9791666666666666666*10^(-19)*c[0, 0]*c[2, 2]*d[2, 0]+1.9791666666666666666*10^(-19)*c[0, 2]*c[2, 0]*d[2, 0]-2.0000000000000000000*10^(-18)*c[0, 0]*c[1, 2]*d[0, 0]+1.2500000000000000000*10^(-19)*c[0, 2]*c[1, 0]*d[1, 0]+1.2500000000000000000*10^(-19)*c[1, 0]*c[1, 2]*d[0, 0]+1.2500000000000000000*10^(-19)*c[0, 0]*c[1, 2]*d[1, 0]+1.2500000000000000000*10^(-19)*c[0, 2]*c[2, 0]*d[0, 0]+1.2500000000000000000*10^(-19)*c[0, 0]*c[2, 2]*d[0, 0]+1.2500000000000000000*10^(-18)*c[2, 0]*c[2, 1]^3+2.0078497023809523810*10^(-16)*c[2, 1]*c[2, 2]^3-3.1352025528216422004*c[1, 1]^2*c[2, 2]+4.1115797246484426753*c[1, 1]*c[1, 2]^2+2.2139275440414691330*c[1, 1]*c[2, 2]^2-2.8894601067129023140*c[1, 2]^2*c[2, 0]+2.6356280286207965870*c[1, 2]^2*c[2, 1]-2.2309992922760755962*c[1, 2]^2*c[2, 2]-1.7336760640277413883*c[2, 0]*c[2, 2]^2+0.62504256243415232955e-1*c[0, 0]*d[0, 2]-.39042992217680182290*c[0, 1]*d[0, 0]+.26577609664124076990*c[0, 1]*d[0, 1]-0.99971341294337431435e-1*c[0, 1]*d[0, 2]+.34403942455223584093*c[0, 2]*d[0, 0]-.28100313788191648862*c[0, 2]*d[0, 1]+.16198710945155723603*c[0, 2]*d[0, 2]-0.56200627576383297725e-1*c[2, 2]*d[2, 1]+0.32397421890311447206e-1*c[2, 2]*d[2, 2]-3.9839812974840909517*c[0, 1]^2*c[2, 0]+0.35436812885498769320e-1*c[2, 1]*d[1, 1]-0.13329512172578324201e-1*c[2, 1]*d[1, 2]+0.45871923273631445458e-1*c[2, 2]*d[1, 0]-0.37467085050922198488e-1*c[2, 2]*d[1, 1]+0.21598281260207631468e-1*c[2, 2]*d[1, 2]+2.2139275440414691330*c[0, 2]^2*c[2, 1]-7.1083073922766790670*c[0, 2]*c[1, 0]^2+0.53995703150519078680e-1*c[1, 2]*d[0, 2]+0.53995703150519078680e-1*c[1, 2]*d[1, 2]+3.4692522367229974886*c[0, 1]^2*c[2, 1]-2.6335701443701794482*c[0, 1]^2*c[2, 2]+10.938244842597665767*c[0, 1]*c[1, 0]^2-7.2814394689165138310*c[0, 2]^2*c[1, 0]+3.3020833333333333334*10^(-17)*c[2, 1]^3*c[2, 2]+.13026153637602374528*c[0, 0]*d[1, 0]+6.0271961377578974635*c[0, 1]*c[2, 0]^2-3.9168224406422517310*c[0, 2]*c[2, 0]^2+8.7059499767614074475*c[1, 0]^2*c[1, 1]-5.6576324142610302780*c[1, 0]^2*c[1, 2]+5.5807371645906457995*c[1, 0]^2*c[2, 1]-3.6266874450391219731*c[1, 0]^2*c[2, 2]-7.3988224096133117675*c[1, 0]*c[1, 1]^2+0.52104614550409498110e-1*c[1, 0]*d[2, 0]-0.78085984435360364580e-1*c[2, 1]*d[2, 0]+14.063457654768427415*c[0, 0]^2*c[1, 1]+23.439096091280712358*c[0, 0]^2*c[0, 1]-19.919906487420454758*c[0, 0]*c[0, 1]^2+4.6878192182561424716*c[0, 0]^2*c[2, 1]+0.53155219328248153980e-1*c[2, 1]*d[2, 1]-3.0464174538328624574*c[0, 0]^2*c[2, 2]-9.2959563607962122205*c[0, 0]*c[1, 1]^2-11.951943892452272855*c[0, 1]^2*c[1, 0]+9.9278273809523809525*10^(-17)*c[1, 1]*c[2, 2]^3-1.2500000000000000000*10^(-19)*c[1, 2]*c[2, 0]*d[0, 0]-1.2500000000000000000*10^(-19)*c[0, 2]*c[2, 0]*d[1, 0]-1.2500000000000000000*10^(-19)*c[0, 0]*c[1, 2]*d[2, 0]-1.8645833333333333334*10^(-16)*c[1, 1]^2*c[1, 2]*c[2, 1]+1.1979166666666666666*10^(-17)*c[1, 1]^2*c[2, 0]*c[2, 1]+2.5416666666666666666*10^(-16)*c[1, 1]^2*c[2, 1]*c[2, 2]-1.1875000000000000000*10^(-16)*c[1, 1]*c[1, 2]^2*c[2, 0]-2.8437500000000000000*10^(-16)*c[0, 1]^2*c[0, 2]*c[2, 1]+1.1041666666666666666*10^(-16)*c[0, 1]^2*c[1, 0]*c[1, 1]-2.4479166666666666666*10^(-17)*c[0, 1]^2*c[1, 0]*c[2, 1]-9.7916666666666666665*10^(-17)*c[0, 1]^2*c[1, 1]*c[1, 2]-2.4479166666666666666*10^(-17)*c[0, 1]^2*c[1, 1]*c[2, 0]+9.7916666666666666665*10^(-17)*c[0, 1]^2*c[1, 1]*c[2, 2]+9.7916666666666666665*10^(-17)*c[0, 1]^2*c[1, 2]*c[2, 1]+3.8541666666666666666*10^(-17)*c[0, 1]^2*c[2, 0]*c[2, 1]-2.8437500000000000000*10^(-16)*c[0, 1]^2*c[2, 1]*c[2, 2]-2.0104166666666666666*10^(-16)*c[0, 1]*c[0, 2]^2*c[2, 0]-4.3327752976190476190*10^(-16)*c[0, 1]*c[0, 2]^2*c[2, 2]+1.1562500000000000000*10^(-16)*c[0, 1]*c[0, 2]*c[1, 0]^2-9.7916666666666666665*10^(-17)*c[0, 1]*c[0, 2]*c[1, 1]^2+4.7672247023809523810*10^(-15)*c[0, 1]*c[0, 2]*c[1, 2]^2-1.2500000000000000000*10^(-19)*c[0, 2]*c[1, 0]*d[2, 0]+1.2500000000000000000*10^(-19)*c[0, 0]*c[0, 2]*d[2, 0]-1.2500000000000000000*10^(-19)*c[0, 0]*c[2, 2]*d[1, 0]-3.1250000000000000000*10^(-18)*c[0, 2]*c[1, 0]^2*c[2, 1]-4.1666666666666666666*10^(-18)*c[0, 2]*c[1, 0]*c[2, 0]^2-2.8437500000000000000*10^(-16)*c[0, 2]*c[1, 1]^2*c[2, 1]-6.9225074404761904760*10^(-15)*c[0, 2]*c[1, 1]*c[1, 2]^2+3.5416666666666666666*10^(-17)*c[0, 2]*c[1, 1]*c[2, 0]^2+1.8645833333333333334*10^(-16)*c[0, 2]*c[1, 1]*c[2, 1]^2+1.4667782738095238095*10^(-15)*c[0, 2]*c[1, 1]*c[2, 2]^2-4.3327752976190476190*10^(-16)*c[0, 2]*c[1, 2]^2*c[2, 1]+3.1041666666666666666*10^(-17)*c[0, 2]*c[2, 0]^2*c[2, 1]-1.4667782738095238095*10^(-15)*c[1, 1]*c[1, 2]^2*c[2, 2]-1.9270833333333333334*10^(-17)*c[1, 1]*c[1, 2]*c[2, 0]^2+2.5416666666666666666*10^(-16)*c[1, 1]*c[1, 2]*c[2, 1]^2+1.2906250000000000000*10^(-15)*c[1, 1]*c[1, 2]*c[2, 2]^2+3.5312500000000000000*10^(-16)*c[1, 2]^2*c[2, 0]*c[2, 1]+1.2906250000000000000*10^(-15)*c[1, 2]^2*c[2, 1]*c[2, 2]-15.066280246593980418*c[0, 0]*c[1, 0]*c[2, 0]:

#
# Check expression to see if there are any
# terms independent of the variables by setting
# all variables to zero and evaluating J.
#
  vals:=[seq(k=0, k in indets(J, name))];
  eval(J, vals);

[c[0, 0] = 0, c[0, 1] = 0, c[0, 2] = 0, c[1, 0] = 0, c[1, 1] = 0, c[1, 2] = 0, c[2, 0] = 0, c[2, 1] = 0, c[2, 2] = 0, d[0, 0] = 0, d[0, 1] = 0, d[0, 2] = 0, d[1, 0] = 0, d[1, 1] = 0, d[1, 2] = 0, d[2, 0] = 0, d[2, 1] = 0, d[2, 2] = 0]

 

6631128.4638019735570

(1)

#
# From the above, expression is not "homogeneous"
# Where are the non-zero terms!???
#
  terms:=[seq(eval(k,vals), k in op([1..-1],J))]:
  seq( `if`(terms[j]>0, [j, terms[j]], NULL), j=1..numelems(terms));

[143, 6631128.4638019735570]

(2)

#
# Thus if all variables are 0, then J will
# evaluate to 6.6311284638019735570000000*10^6
#
# Is there some combination of variables which
# will produce less??
#
  infolevel[Optimization]:=2;
  Optimization:-NLPSolve(J, iterationlimit=1000);

2

 

NLPSolve: calling NLP solver
NLPSolve: using method=pcg
NLPSolve: number of problem variables 18
NLPSolve: trying evalf mode

attemptsolution: number of major iterations taken 608

 

[1376072.3614515957994, [c[0, 0] = -.25297616138377927973, c[0, 1] = -.39478309897588939049, c[0, 2] = 0.15211305487012686035e-3, c[1, 0] = .27642043497993973641, c[1, 1] = .68470203127474910490, c[1, 2] = .47418006681942999119, c[2, 0] = -0.55834416654511992361e-1, c[2, 1] = -.31556717438509396543, c[2, 2] = -.44709255482404861288, d[0, 0] = -0.67205030036231457236e-1, d[0, 1] = .10613609848181940555, d[0, 2] = 0.24170100044583235998e-1, d[1, 0] = -.32413315285346089311, d[1, 1] = 1.1944070031913440028, d[1, 2] = -.86054957288795628372, d[2, 0] = .28146384027544243459, d[2, 1] = -.48696268495323882506, d[2, 2] = -.17308234882015350758]]

(3)

#
# For comparison, see what DirectSearch gets
#
  sol:=DirectSearch:-Search( J );

Warning, limiting number of function evaluations (10000) is reached; set initial point equal to extremum point obtained, increase evaluationlimit option and continue search

 

[1376072.6668412643231, [c[0, 0] = 0.8804209794690149926e-1, c[0, 1] = -.20142528173472715327, c[0, 2] = .32554616141396666182, c[1, 0] = 0.3998228018922962427e-1, c[1, 1] = .51619905141111506726, c[1, 2] = -.56781364468877512347, c[2, 0] = -0.409677826757984239e-2, c[2, 1] = -.57635175842887362663, c[2, 2] = .18884411637045077739, d[0, 0] = -0.67198816955305295394e-1, d[0, 1] = .10612397156413182108, d[0, 2] = 0.24171147342192657570e-1, d[1, 0] = -.32412670830939822682, d[1, 1] = 1.1944154502284577955, d[1, 2] = -.86054710245522323027, d[2, 0] = .28147277692527091699, d[2, 1] = -.48694977124031602112, d[2, 2] = -.17310809563948536227], 10000]

(4)

 


 

Download optProb2.mw

I have just checked back some earlier versions. It works in Maple 2017and later, but fails in earlier versions

In the attached I have rewritten it slightly so that it produces the same output as before. This code runs in

Maple 18      (used this version to write/test the revised code)
Maple 2015
Maple 2016
Maple 2017
Maple 2018

If your version is earlier than Maple 18, then the attached *might* work, but I can't guarantee it because I no longer have any earlier versions available

restart;
kernelopts(version);

`Maple 18.02, X86 64 WINDOWS, Oct 20 2014, Build ID 991181`

(1)

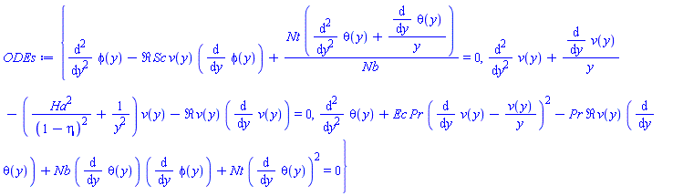
ODEs:= {diff(phi(y), y, y)-Re*Sc*v(y)*(diff(phi(y), y))+Nt*(diff(theta(y), y, y)+(diff(theta(y), y))/y)/Nb = 0,
         diff(v(y), y, y)+(diff(v(y), y))/y-(Ha^2/(1-eta)^2+1/y^2)*v(y)-Re*v(y)*(diff(v(y), y)) = 0,
         diff(theta(y), y, y)+Ec*Pr*(diff(v(y), y)-v(y)/y)^2-Pr*Re*v(y)*(diff(theta(y), y))+Nb*(diff(theta(y), y))*(diff(phi(y), y))+Nt*(diff(theta(y), y))^2 = 0};

{diff(diff(phi(y), y), y)-Re*Sc*v(y)*(diff(phi(y), y))+Nt*(diff(diff(theta(y), y), y)+(diff(theta(y), y))/y)/Nb = 0, diff(diff(v(y), y), y)+(diff(v(y), y))/y-(Ha^2/(1-eta)^2+1/y^2)*v(y)-Re*v(y)*(diff(v(y), y)) = 0, diff(diff(theta(y), y), y)+Ec*Pr*(diff(v(y), y)-v(y)/y)^2-Pr*Re*v(y)*(diff(theta(y), y))+Nb*(diff(theta(y), y))*(diff(phi(y), y))+Nt*(diff(theta(y), y))^2 = 0}

(2)

BCs := {phi(1) = 0, phi(eta) = 1, theta(1) = 0, theta(eta) = 1, v(1) = 0, v(eta) = 1};

{phi(1) = 0, phi(eta) = 1, theta(1) = 0, theta(eta) = 1, v(1) = 0, v(eta) = 1}

(3)

HaVals:=[1, 2, 5, 10]:
for j from 1 by 1 to numelems(HaVals) do
    pVals := [eta = .5, Ha = HaVals[j], Sc = .8, Nt = .1, Nb = .1, Re = 2, Ec = 0.1e-1, Pr = 10];
    sol[j]:=dsolve( `union`(eval(ODEs, pVals), eval(BCs, pVals)),
                     numeric,
                     output=listprocedure
                  );
od:
displ_opt:= titlefont=[times, bold, 20],
            legend=[seq(typeset("Ha= ", HaVals[j]),j=1..4)],
            legendstyle=[font=[times, bold, 16]],
            size=[800,600],
            color=[red, green, blue, black]:
plot( [seq( eval(theta(y), sol[j])(y),j=1..4)],
      y=0.5..1,
      title="theta(y) vs y",
      displ_opt
    );
plot( [seq( eval(phi(y), sol[j])(y),j=1..4)],
      y=0.5..1,
      title="phi(y) vs y",
      displ_opt
     );
plot( [seq( eval(v(y), sol[j])(y),j=1..4)],
      y=0.5..1,
      title="v(y) vs y",
      displ_opt
   );

 

 

 

 

 

Download odeProb4.mw

partcularly this part where I said

NB you will not been able to execute the attached until/unless you have the DirectSearch package loaded :-(

Then you should read the comments from vv, which are correct. I actually missed the fact that you original expression was

  1. homogeneous
  2. every term is of total degree 4

Hence solving expr=0 simply requires that cij=0 for all i and j.

Now exactly what are you trying to achieve?

this question has already been asked (and answered) here

https://www.mapleprimes.com/questions/225962-How-To-Perform-Numerical-Integration#comment256680

with colou
 

restart;

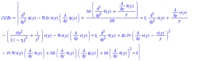
ODEs:= {diff(phi(y), y, y)-Re*Sc*v(y)*(diff(phi(y), y))+Nt*(diff(theta(y), y, y)+(diff(theta(y), y))/y)/Nb = 0,
         diff(v(y), y, y)+(diff(v(y), y))/y-(Ha^2/(1-eta)^2+1/y^2)*v(y)-Re*v(y)*(diff(v(y), y)) = 0,
         diff(theta(y), y, y)+Ec*Pr*(diff(v(y), y)-v(y)/y)^2-Pr*Re*v(y)*(diff(theta(y), y))+Nb*(diff(theta(y), y))*(diff(phi(y), y))+Nt*(diff(theta(y), y))^2 = 0};

{diff(diff(phi(y), y), y)-Re*Sc*v(y)*(diff(phi(y), y))+Nt*(diff(diff(theta(y), y), y)+(diff(theta(y), y))/y)/Nb = 0, diff(diff(v(y), y), y)+(diff(v(y), y))/y-(Ha^2/(1-eta)^2+1/y^2)*v(y)-Re*v(y)*(diff(v(y), y)) = 0, diff(diff(theta(y), y), y)+Ec*Pr*(diff(v(y), y)-v(y)/y)^2-Pr*Re*v(y)*(diff(theta(y), y))+Nb*(diff(theta(y), y))*(diff(phi(y), y))+Nt*(diff(theta(y), y))^2 = 0}

(1)

BCs := {phi(1) = 0, phi(eta) = 1, theta(1) = 0, theta(eta) = 1, v(1) = 0, v(eta) = 1};

{phi(1) = 0, phi(eta) = 1, theta(1) = 0, theta(eta) = 1, v(1) = 0, v(eta) = 1}

(2)

HaVals:=[1, 2, 5, 10]:
colors:=[red, green, blue, black]:
for j from 1 by 1 to numelems(HaVals) do
    pVals := [eta = .5, Ha = HaVals[j], Sc = .8, Nt = .1, Nb = .1, Re = 2, Ec = 0.1e-1, Pr = 10];
    sol:=dsolve( `union`(eval(ODEs, pVals), eval(BCs, pVals)), numeric);
    ptheta[j]:= plots:-odeplot(sol, [y, theta(y)], y=0.5..1, color=colors[j]);
    pphi[j]:= plots:-odeplot(sol, [y, phi(y)], y=0.5..1, color=colors[j]);
    pv[j]:= plots:-odeplot(sol, [y, v(y)], y=0.5..1, color=colors[j]);
od:
displ_opt:= titlefont=[times, bold, 20],
            legend=[seq(typeset("Ha= ", HaVals[j]),j=1..4)],
            legendstyle=[font=[times, bold, 16]],
            size=[800,600]:
plots:-display( convert(ptheta, list),
                title="theta(y) vs y",
                displ_opt
              );
plots:-display( convert(pphi, list),
                title="phi(y) vs y",
                displ_opt
              );
plots:-display( convert(pv, list),
                title="v(y) vs y",
                displ_opt
              );

 

 

 

``


 

Download odeProb3.mw

rs, legends and title on the plots

 

most easily achieved in by the method shown in the attached


 

restart;

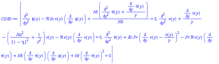
ODEs:= {diff(phi(y), y, y)-Re*Sc*v(y)*(diff(phi(y), y))+Nt*(diff(theta(y), y, y)+(diff(theta(y), y))/y)/Nb = 0,
         diff(v(y), y, y)+(diff(v(y), y))/y-(Ha^2/(1-eta)^2+1/y^2)*v(y)-Re*v(y)*(diff(v(y), y)) = 0,
         diff(theta(y), y, y)+Ec*Pr*(diff(v(y), y)-v(y)/y)^2-Pr*Re*v(y)*(diff(theta(y), y))+Nb*(diff(theta(y), y))*(diff(phi(y), y))+Nt*(diff(theta(y), y))^2 = 0};

{diff(diff(phi(y), y), y)-Re*Sc*v(y)*(diff(phi(y), y))+Nt*(diff(diff(theta(y), y), y)+(diff(theta(y), y))/y)/Nb = 0, diff(diff(v(y), y), y)+(diff(v(y), y))/y-(Ha^2/(1-eta)^2+1/y^2)*v(y)-Re*v(y)*(diff(v(y), y)) = 0, diff(diff(theta(y), y), y)+Ec*Pr*(diff(v(y), y)-v(y)/y)^2-Pr*Re*v(y)*(diff(theta(y), y))+Nb*(diff(theta(y), y))*(diff(phi(y), y))+Nt*(diff(theta(y), y))^2 = 0}

(1)

BCs := {phi(1) = 0, phi(eta) = 1, theta(1) = 0, theta(eta) = 1, v(1) = 0, v(eta) = 1};

{phi(1) = 0, phi(eta) = 1, theta(1) = 0, theta(eta) = 1, v(1) = 0, v(eta) = 1}

(2)

HaVals:=[1,2,5,10]:
for j from 1 by 1 to numelems(HaVals) do
    pVals := [eta = .5, Ha = HaVals[j], Sc = .8, Nt = .1, Nb = .1, Re = 2, Ec = 0.1e-1, Pr = 10];
    sol:=dsolve( `union`(eval(ODEs,pVals), eval(BCs, pVals)), numeric);
    ptheta[j]:=plots:-odeplot(sol, [y, theta(y)], y=0.5..1);
    pphi[j]:=plots:-odeplot(sol, [y, phi(y)], y=0.5..1);
    pv[j]:=plots:-odeplot(sol, [y, v(y)], y=0.5..1);
od:
plots:-display( convert(ptheta, list));
plots:-display( convert(pphi, list));
plots:-display( convert(pv, list));

[1, 2, 5, 10]

 

 

 

 

``


 

Download odeProb2.mw

when you posted this question

https://www.mapleprimes.com/questions/226439-Solve-Figure-Draw-Problem

Try reading the answers

@sand15 

This was a 'comment' on a post where the OP was trying to sort() a set, and was surprised that sorting a set did nothing. As the response states, the original query probably should have been a "Question" not a "Post".

Someone smarter than me has transferred my comment from "Posts" to "Questions" without transferring the original query

stated that there was little reason for doing this - other than (maybe?) formatting a "header" for some (unspecified) printed output. Unlikely, I admit,  but possible.

If I was really bothered by the "dangling comma" I'd probably fix it the easy way by using a different printf() statement for the final entry, as in

printf("\t\t"):
seq(`if`( j<5,
              printf( "op\(S\[%d\]\),    ",j),
              printf( "op\(S\[%d\]\)", j)
           ),
           j=1..5
      );

I have enough problems with printf() formats without getting 'clever'!!

@anton_dys 

I have no direct info on the efficiency of MapToBasis, but if you only need this for "visualisation" parts of you code, I would guess that the "coordinate transformation" would only be a smal fraction of the actual "plotting time" - just because omplicated plots can take significant time

Code indentation: when I'm doing a "significant" Maple project I tend to write code in a standalone editor, which is reasonably "Maple-aware" so provides me with syntax-highlighting, automatic identation etc, etc. A side-effect of this usage model is that I find code (much!) easier to read/debug/maintain if it is always formatted in this way. Thus even when I'm writing "scratch" code in Maple, I tend to use the same general layout utilising shift+enter+spacebar. As a general rule I find that the increased "typing time" is only a small fraction of the associated "thinking time". This is an individual choice which works for me.

@anton_dys 

You appear to want to define a VectorField using spherical polar coordinates.

Then you wish to plot this VectorField with a "uniform" spacing in cartesian coordinates (rather than a "uniform" spacing in spherical coordinates).

You have to be consistent.

You can use MapToBasis() to (temporarily??) convert between coordinate systems, so for example, you could consider the command

PlotVector( MapToBasis
                    ( VectorField
                      ( <0, theta+Pi, 0>,
                         mypolar[r, theta, phi]
                      ),
                      cartesian[x,y,z]
                   ),
                   x = -5..5,
                   y = -5..5,
                   z = -5..5,
                   arrows = THICK,
                   color = black,
                   grid = [10, 10, 3],
                  view = [-5..5, -5..5, -3..3]
               ) 

First 74 75 76 77 78 79 80 Last Page 76 of 207