Maple Questions and Posts

These are Posts and Questions associated with the product, Maple

Hello,

I have upgraded to maple 2025, but the ui fonts are too small and very thin. I went to Files -> Options -> Interface -> Default Zoom, thet sat it up to 150%. It only changed the document area not the UI options. This solution used to work with Maple 2024. I am on ubuntu 22.04.

DO not know if this is new in Maple 2025.2 or not as I have not looked yet if it is possible to install Maple 2025.1 on my new PC given Maple 2025.2 is already installed.

Found That Maple 2025.2 gives "Error, (in dsolve) numeric exception: division by zero" when asked to solve this ode using Lie symmetry.  The error comes when it tried to 

                        Computing canonical coordinates for the symmetry 

Even if this problem was in earlier Maple versions, this ofcourse should not happen.

interface(version);

`Standard Worksheet Interface, Maple 2025.2, Windows 10, November 11 2025 Build ID 1971053`

Physics:-Version();

`The "Physics Updates" version in the MapleCloud is 1882 and is the same as the version installed in this computer, created 2025, December 1, 6:58 hours Pacific Time.`

SupportTools:-Version();

`The Customer Support Updates version in the MapleCloud is 29 and is the same as the version installed in this computer, created June 23, 2025, 10:25 hours Eastern Time.`

libname;

"C:\Users\me\maple\toolbox\2025\Physics Updates\lib", "C:\Users\me\maple\toolbox\2025\Maple Customer Support Updates\lib", "C:\Program Files\Maple 2025\lib"

restart;

ode:=sin(x)*diff(y(x), x, x) + (2*sin(x) - cos(x))*diff(y(x), x) + (sin(x) - cos(x))*y(x) = exp(-x);

sin(x)*(diff(diff(y(x), x), x))+(2*sin(x)-cos(x))*(diff(y(x), x))+(sin(x)-cos(x))*y(x) = exp(-x)

dsolve(ode)

y(x) = exp(arcsin(cos(x)))*c__2+exp(arcsin(cos(x)))*cos(x)*c__1+exp(arcsin(cos(x)))*(-(Int(csc(x)^2*exp(-arcsin(cos(x))-x), x))*cos(x)+Int(cot(x)*csc(x)*exp(-arcsin(cos(x))-x), x))

dsolve(ode,Lie)

Error, (in dsolve) numeric exception: division by zero

 

 

Download division_by_zero_dsolve_maple_2025_2_on_dec_2_2025.mw

I've seen many here recommend using the screen reader for Maple 2025. So this is first time I tried it.

Clicked on this second icon in my windows 10 start menu

Maple came up using the old UI, which is good:

But here comes the big problem. The file->Open menu does not work. It automatically opened in location which is not what I want. I wanted to navigate to different place on my PC. But anything I click on just generates loud beep and does nothing. Can't type anything to change location either.

So can't open any file. Not only that, It is stuck and can't even close the windows. Can't get out. Everything is stuck. 

It could be because I have 2 monitors. I had this open on the second monitor on the right. Everything on the second monitor now do not respond like Maple. Luckily, on the left monitor I was able to start task manager and kill Maple in order to get out of this hang.    

Basically screen reader does not work at all for me. If I can't open a file.

It could be due to using 2 monitors. I do not know.

Does file open work for others?

Here is small movie.

Do not know if this is new or not.

I have found about 12 Maple crashes so far in just 2 days running a test in Maple 2025.2

But this one I am not sure if it is new or not as never seen it before.

Could someone please just run this in Maple 2025.1 and see if you get same crash? So I know if it is new or not. Only have Maple 2025.2 on this new PC.

Calling solve causes Maple server to crash. Save your work before just in case.

restart;

interface(version);

`Standard Worksheet Interface, Maple 2025.2, Windows 10, November 11 2025 Build ID 1971053`

Physics:-Version();

`The "Physics Updates" version in the MapleCloud is 1881 and is the same as the version installed in this computer, created 2025, October 7, 16:4 hours Pacific Time.`

SupportTools:-Version();

`The Customer Support Updates version in the MapleCloud is 29 and is the same as the version installed in this computer, created June 23, 2025, 10:25 hours Eastern Time.`

sol:=ln( (y-1)^(1/3)* (y^2+y+1)^(1/3) ) - ln(y) = 2/5* ln(t^2+1)+_C1;

ln((y-1)^(1/3)*(y^2+y+1)^(1/3))-ln(y) = (2/5)*ln(t^2+1)+_C1

infolevel[solve]:=5;

5

solve( sol,y);

Main: Entering solver with 1 equation in 1 variable

Dispatch: dispatching to Radicals handler

Transformer:   solving for linear equation in y

Recurse: recursively solving 1 equations and 4 inequations in 1 variables

Dispatch: dispatching to ln handler (extension)

Dispatch: logarithm substitution _S000002 = ln(_S000001)

Recurse: recursively solving 1 equations and 4 inequations in 1 variables

Dispatch: dispatching to ln handler (extension)

Dispatch: logarithm substitution _S000003 = ln(t^2+1)

Transformer:   solving for linear equation in _S000003

Recurse: recursively solving 1 equations and 3 inequations in 1 variables

Dispatch: dispatching to ln handler (extension)

Dispatch: logarithm substitution _S000004 = ln(exp(_S000002)^3+1)

Recurse: recursively solving 2 equations and 3 inequations in 2 variables

Dispatch: dispatching to ln handler (extension)

Dispatch: logarithm substitution _S000005 = ln(exp(_S000002)^6+3*exp(_S000002)^3+3)

Recurse: recursively solving 3 equations and 3 inequations in 3 variables

Dispatch: dispatching to Exponentials handler

Transformer:   solving for linear equation in _S000005

Recurse: recursively solving 3 equations and 4 inequations in 4 variables

Dispatch: dispatching to Exponentials handler

Transformer:   solving for linear equation in _S000004

Recurse: recursively solving 3 equations and 5 inequations in 5 variables

Dispatch: dispatching to Exponentials handler

Transformer:   solving for linear equation in _S000002

Recurse: recursively solving 3 equations and 6 inequations in 6 variables

Dispatch: dispatching to Rename handler

Dispatch: renaming exp(5/2*_C1) = _S000012, exp(-5/2*_C1) = 1/_S000012

Recurse: recursively solving 3 equations and 6 inequations in 6 variables

Dispatch: handling polynomials of the form a*x^n-b

Dispatch: dispatching to PolynomialSystem handler

Main: polynomial system split into 1 parts under preprocessing

Main: using RegularChains based methods

SolverVariableOrder: using the variable order  _S000008 > _S000006 > _S000010

TriangularDecomposition: using deterministic algorithm for decomposition

Download calling_solve_crashes_maple_2025_2_nov_28_2025.mw

Note that this crash happens even when removing Physics update and SupportTools from libname.

I only have Maple 2025.2 on this new PC. Could someone just run this code on earlier Maple version and see if they get same crash?

I am finding many crashes in Maple 2025.2 (3 so far) and I am only 25% in my test.  But not sure if this is new or was there in Maple 2025.1 or earlier. 

I am trying to document all the new problems in Maple 2025.2.

Here is the worksheet (save all your work just in case).

restart;

interface(version);

`Standard Worksheet Interface, Maple 2025.2, Windows 10, November 11 2025 Build ID 1971053`

SupportTools:-Version();

`The Customer Support Updates version in the MapleCloud is 29 and is the same as the version installed in this computer, created June 23, 2025, 10:25 hours Eastern Time.`

Physics:-Version();

`The "Physics Updates" version in the MapleCloud is 1881 and is the same as the version installed in this computer, created 2025, October 7, 16:4 hours Pacific Time.`

ode:=(4+2*x-y(x))*diff(y(x),x)+5+x-2*y(x) = 0;

(4+2*x-y(x))*(diff(y(x), x))+5+x-2*y(x) = 0

sol:=y(x) = ((2*(x+11)*(x+1)^4*exp(12*_C1)-29*(x+103/29)*(x+1)^2*exp(6*_C1)+27*x+81)
*RootOf(2+(exp(6*_C1)*x^2+2*exp(6*_C1)*x+exp(6*_C1)-1)*_Z^6+3*_Z^2)^4+(-2*(x-4)
*(x+1)^4*exp(12*_C1)-34*(x+1)^2*(x+67/17)*exp(6*_C1)+54*x+162)*RootOf(2+(exp(6*
_C1)*x^2+2*exp(6*_C1)*x+exp(6*_C1)-1)*_Z^6+3*_Z^2)^2-(x-1)*(x+1)^4*exp(12*_C1)-\
14*(x+1)^2*(x+29/7)*exp(6*_C1)+27*x+81)/((10*(x+1)^4*exp(12*_C1)+27-37*(x+1)^2*
exp(6*_C1))*RootOf(2+(exp(6*_C1)*x^2+2*exp(6*_C1)*x+exp(6*_C1)-1)*_Z^6+3*_Z^2)^
4+(5*(x+1)^4*exp(12*_C1)+54-50*(x+1)^2*exp(6*_C1))*RootOf(2+(exp(6*_C1)*x^2+2*
exp(6*_C1)*x+exp(6*_C1)-1)*_Z^6+3*_Z^2)^2+(x+1)^4*exp(12*_C1)+27-22*(x+1)^2*exp
(6*_C1));

y(x) = ((2*(x+11)*(x+1)^4*exp(12*_C1)-29*(x+103/29)*(x+1)^2*exp(6*_C1)+27*x+81)*RootOf(2+(exp(6*_C1)*x^2+2*exp(6*_C1)*x+exp(6*_C1)-1)*_Z^6+3*_Z^2)^4+(-2*(x-4)*(x+1)^4*exp(12*_C1)-34*(x+1)^2*(x+67/17)*exp(6*_C1)+54*x+162)*RootOf(2+(exp(6*_C1)*x^2+2*exp(6*_C1)*x+exp(6*_C1)-1)*_Z^6+3*_Z^2)^2-(x-1)*(x+1)^4*exp(12*_C1)-14*(x+1)^2*(x+29/7)*exp(6*_C1)+27*x+81)/((10*(x+1)^4*exp(12*_C1)+27-37*(x+1)^2*exp(6*_C1))*RootOf(2+(exp(6*_C1)*x^2+2*exp(6*_C1)*x+exp(6*_C1)-1)*_Z^6+3*_Z^2)^4+(5*(x+1)^4*exp(12*_C1)+54-50*(x+1)^2*exp(6*_C1))*RootOf(2+(exp(6*_C1)*x^2+2*exp(6*_C1)*x+exp(6*_C1)-1)*_Z^6+3*_Z^2)^2+(x+1)^4*exp(12*_C1)+27-22*(x+1)^2*exp(6*_C1))

infolevel[odetest]:=5;

5

odetest(sol,ode);

odetest: Performing an implicit solution test

odetest: Trying to eliminate constants using the order: [_C1]

odetest: Trying to eliminate _C1

 

 

Download maple_crash_odetest_2025_2_nov_26_2025.mw

Update

Based on comment below, I just checked. If I remove "C:Usersmemaple\toolbox2025Maple Customer Support Updateslib" and "C:Usersmemaple\toolbox2025Physics Updateslib"  from libname, then the crash goes away !

restart;

interface(version);

`Standard Worksheet Interface, Maple 2025.2, Windows 10, November 11 2025 Build ID 1971053`

SupportTools:-Version();

`The Customer Support Updates version in the MapleCloud is 29 and is the same as the version installed in this computer, created June 23, 2025, 10:25 hours Eastern Time.`

Physics:-Version();

`The "Physics Updates" version in the MapleCloud is 1881 and is the same as the version installed in this computer, created 2025, October 7, 16:4 hours Pacific Time.`

libname

"C:\Users\me\maple\toolbox\2025\Physics Updates\lib", "C:\Users\me\maple\toolbox\2025\Maple Customer Support Updates\lib", "C:\Program Files\Maple 2025\lib"

libname:=libname[3];

"C:\Program Files\Maple 2025\lib"

ode:=(4+2*x-y(x))*diff(y(x),x)+5+x-2*y(x) = 0;

(4+2*x-y(x))*(diff(y(x), x))+5+x-2*y(x) = 0

sol:=y(x) = ((2*(x+11)*(x+1)^4*exp(12*_C1)-29*(x+103/29)*(x+1)^2*exp(6*_C1)+27*x+81)
*RootOf(2+(exp(6*_C1)*x^2+2*exp(6*_C1)*x+exp(6*_C1)-1)*_Z^6+3*_Z^2)^4+(-2*(x-4)
*(x+1)^4*exp(12*_C1)-34*(x+1)^2*(x+67/17)*exp(6*_C1)+54*x+162)*RootOf(2+(exp(6*
_C1)*x^2+2*exp(6*_C1)*x+exp(6*_C1)-1)*_Z^6+3*_Z^2)^2-(x-1)*(x+1)^4*exp(12*_C1)-\
14*(x+1)^2*(x+29/7)*exp(6*_C1)+27*x+81)/((10*(x+1)^4*exp(12*_C1)+27-37*(x+1)^2*
exp(6*_C1))*RootOf(2+(exp(6*_C1)*x^2+2*exp(6*_C1)*x+exp(6*_C1)-1)*_Z^6+3*_Z^2)^
4+(5*(x+1)^4*exp(12*_C1)+54-50*(x+1)^2*exp(6*_C1))*RootOf(2+(exp(6*_C1)*x^2+2*
exp(6*_C1)*x+exp(6*_C1)-1)*_Z^6+3*_Z^2)^2+(x+1)^4*exp(12*_C1)+27-22*(x+1)^2*exp
(6*_C1));

y(x) = ((2*(x+11)*(x+1)^4*exp(12*_C1)-29*(x+103/29)*(x+1)^2*exp(6*_C1)+27*x+81)*RootOf(2+(exp(6*_C1)*x^2+2*exp(6*_C1)*x+exp(6*_C1)-1)*_Z^6+3*_Z^2)^4+(-2*(x-4)*(x+1)^4*exp(12*_C1)-34*(x+1)^2*(x+67/17)*exp(6*_C1)+54*x+162)*RootOf(2+(exp(6*_C1)*x^2+2*exp(6*_C1)*x+exp(6*_C1)-1)*_Z^6+3*_Z^2)^2-(x-1)*(x+1)^4*exp(12*_C1)-14*(x+1)^2*(x+29/7)*exp(6*_C1)+27*x+81)/((10*(x+1)^4*exp(12*_C1)+27-37*(x+1)^2*exp(6*_C1))*RootOf(2+(exp(6*_C1)*x^2+2*exp(6*_C1)*x+exp(6*_C1)-1)*_Z^6+3*_Z^2)^4+(5*(x+1)^4*exp(12*_C1)+54-50*(x+1)^2*exp(6*_C1))*RootOf(2+(exp(6*_C1)*x^2+2*exp(6*_C1)*x+exp(6*_C1)-1)*_Z^6+3*_Z^2)^2+(x+1)^4*exp(12*_C1)+27-22*(x+1)^2*exp(6*_C1))

infolevel[odetest]:=5;

5

odetest(sol,ode);

odetest: Performing an implicit solution test

odetest: Trying to eliminate constants using the order: [_C1]

odetest: Trying to eliminate _C1

odetest: Successful elimination of c__1

odetest: length of implicit solutions after isolating _Cn constants: 164

odetest: length after collecting objects and simplifying coefficients: 126

odetest: length after Solve w.r.t yn: 66

odetest: length after collect @ normal @ eval the ODE at the implicit solution: 0

Successful implicit test

0

 

 

Download maple_crash_odetest_2025_2_nov_26_2025_V2.mw

I also checked if libname had PHYSICS on it but no SUPPORT tools, and the crash also goes away. So the bug seems to be when adding SUPPORT tools. 


 

restart;

interface(version);

`Standard Worksheet Interface, Maple 2025.2, Windows 10, November 11 2025 Build ID 1971053`

SupportTools:-Version();

`The Customer Support Updates version in the MapleCloud is 29 and is the same as the version installed in this computer, created June 23, 2025, 10:25 hours Eastern Time.`

Physics:-Version();

`The "Physics Updates" version in the MapleCloud is 1881 and is the same as the version installed in this computer, created 2025, October 7, 16:4 hours Pacific Time.`

libname

"C:\Users\me\maple\toolbox\2025\Physics Updates\lib", "C:\Users\me\maple\toolbox\2025\Maple Customer Support Updates\lib", "C:\Program Files\Maple 2025\lib"

libname:=libname[1],libname[3]

"C:\Users\me\maple\toolbox\2025\Physics Updates\lib", "C:\Program Files\Maple 2025\lib"

libname

"C:\Users\me\maple\toolbox\2025\Physics Updates\lib", "C:\Program Files\Maple 2025\lib"

ode:=(4+2*x-y(x))*diff(y(x),x)+5+x-2*y(x) = 0;

(4+2*x-y(x))*(diff(y(x), x))+5+x-2*y(x) = 0

sol:=y(x) = ((2*(x+11)*(x+1)^4*exp(12*_C1)-29*(x+103/29)*(x+1)^2*exp(6*_C1)+27*x+81)
*RootOf(2+(exp(6*_C1)*x^2+2*exp(6*_C1)*x+exp(6*_C1)-1)*_Z^6+3*_Z^2)^4+(-2*(x-4)
*(x+1)^4*exp(12*_C1)-34*(x+1)^2*(x+67/17)*exp(6*_C1)+54*x+162)*RootOf(2+(exp(6*
_C1)*x^2+2*exp(6*_C1)*x+exp(6*_C1)-1)*_Z^6+3*_Z^2)^2-(x-1)*(x+1)^4*exp(12*_C1)-\
14*(x+1)^2*(x+29/7)*exp(6*_C1)+27*x+81)/((10*(x+1)^4*exp(12*_C1)+27-37*(x+1)^2*
exp(6*_C1))*RootOf(2+(exp(6*_C1)*x^2+2*exp(6*_C1)*x+exp(6*_C1)-1)*_Z^6+3*_Z^2)^
4+(5*(x+1)^4*exp(12*_C1)+54-50*(x+1)^2*exp(6*_C1))*RootOf(2+(exp(6*_C1)*x^2+2*
exp(6*_C1)*x+exp(6*_C1)-1)*_Z^6+3*_Z^2)^2+(x+1)^4*exp(12*_C1)+27-22*(x+1)^2*exp
(6*_C1));

y(x) = ((2*(x+11)*(x+1)^4*exp(12*_C1)-29*(x+103/29)*(x+1)^2*exp(6*_C1)+27*x+81)*RootOf(2+(exp(6*_C1)*x^2+2*exp(6*_C1)*x+exp(6*_C1)-1)*_Z^6+3*_Z^2)^4+(-2*(x-4)*(x+1)^4*exp(12*_C1)-34*(x+1)^2*(x+67/17)*exp(6*_C1)+54*x+162)*RootOf(2+(exp(6*_C1)*x^2+2*exp(6*_C1)*x+exp(6*_C1)-1)*_Z^6+3*_Z^2)^2-(x-1)*(x+1)^4*exp(12*_C1)-14*(x+1)^2*(x+29/7)*exp(6*_C1)+27*x+81)/((10*(x+1)^4*exp(12*_C1)+27-37*(x+1)^2*exp(6*_C1))*RootOf(2+(exp(6*_C1)*x^2+2*exp(6*_C1)*x+exp(6*_C1)-1)*_Z^6+3*_Z^2)^4+(5*(x+1)^4*exp(12*_C1)+54-50*(x+1)^2*exp(6*_C1))*RootOf(2+(exp(6*_C1)*x^2+2*exp(6*_C1)*x+exp(6*_C1)-1)*_Z^6+3*_Z^2)^2+(x+1)^4*exp(12*_C1)+27-22*(x+1)^2*exp(6*_C1))

infolevel[odetest]:=5;

5

odetest(sol,ode);

odetest: Performing an implicit solution test

odetest: Trying to eliminate constants using the order: [_C1]

odetest: Trying to eliminate _C1

odetest: Successful elimination of c__1

odetest: length of implicit solutions after isolating _Cn constants: 164

odetest: length after collecting objects and simplifying coefficients: 126

odetest: length after Solve w.r.t yn: 66

odetest: length after collect @ normal @ eval the ODE at the implicit solution: 0

Successful implicit test

0

 

 

Download maple_crash_odetest_2025_2_nov_26_2025_V3.mw

The crash only happens when SUPPORT tools is added:

 

Update DEC 6, 2025

I found something new about this crash. May be this gives someone at Maplesoft a clue why it happens.

Removing both Physics and SupportTools from libname, I can make it crash simply by adding this line before calling odetest

dsolve(diff(y(x),x$2)=0,arbitraryconstants=traditional):

If the above line is not there, there is no crash.

How could adding the above line cause the math engine to crash when calling odetest??

This worksheet shows this

Worksheet of the above


 

restart;

interface(version);

`Standard Worksheet Interface, Maple 2025.2, Windows 10, November 11 2025 Build ID 1971053`

Physics:-Version();

`The "Physics Updates" version in the MapleCloud is 1882 and is the same as the version installed in this computer, created 2025, December 1, 6:58 hours Pacific Time.`

SupportTools:-Version();

`The Customer Support Updates version in the MapleCloud is 29 and is the same as the version installed in this computer, created June 23, 2025, 10:25 hours Eastern Time.`

libname;

"C:\Users\me\maple\toolbox\2025\Physics Updates\lib", "C:\Users\me\maple\toolbox\2025\Maple Customer Support Updates\lib", "C:\Program Files\Maple 2025\lib"

dsolve(diff(y(x),x$2)=0,arbitraryconstants=traditional):

sol:=y(x) = ((2*(x+11)*(1+x)^4*exp(12*_C1)-29*(1+x)^2*(x+103/29)*exp(6*_C1)+27*x+81)
*RootOf(2+(exp(6*_C1)*x^2+2*exp(6*_C1)*x+exp(6*_C1)-1)*_Z^6+3*_Z^2)^4+(-2*(x-4)
*(1+x)^4*exp(12*_C1)-34*(1+x)^2*(x+67/17)*exp(6*_C1)+54*x+162)*RootOf(2+(exp(6*
_C1)*x^2+2*exp(6*_C1)*x+exp(6*_C1)-1)*_Z^6+3*_Z^2)^2-(x-1)*(1+x)^4*exp(12*_C1)-\
14*(x+29/7)*(1+x)^2*exp(6*_C1)+27*x+81)/((10*(1+x)^4*exp(12*_C1)+27-37*(1+x)^2*
exp(6*_C1))*RootOf(2+(exp(6*_C1)*x^2+2*exp(6*_C1)*x+exp(6*_C1)-1)*_Z^6+3*_Z^2)^
4+(5*(1+x)^4*exp(12*_C1)+54-50*(1+x)^2*exp(6*_C1))*RootOf(2+(exp(6*_C1)*x^2+2*
exp(6*_C1)*x+exp(6*_C1)-1)*_Z^6+3*_Z^2)^2+(1+x)^4*exp(12*_C1)+27-22*(1+x)^2*exp
(6*_C1)):

ode:=(4+2*x-y(x))*diff(y(x),x)+5+x-2*y(x) = 0;

(4+2*x-y(x))*(diff(y(x), x))+5+x-2*y(x) = 0

#keep on Maple lib and remove everything else

libname:=libname[3]

"C:\Program Files\Maple 2025\lib"

#this will crash
odetest(sol,ode)

 

 

Download odetest_crash_maple_2025_2_at_dec_6_2025.mw

Now will repeat the above, but comment the line dsolve(diff(y(x),x$2)=0,arbitraryconstants=traditional): and now the crash goes away

restart;

interface(version);

`Standard Worksheet Interface, Maple 2025.2, Windows 10, November 11 2025 Build ID 1971053`

Physics:-Version();

`The "Physics Updates" version in the MapleCloud is 1882 and is the same as the version installed in this computer, created 2025, December 1, 6:58 hours Pacific Time.`

SupportTools:-Version();

`The Customer Support Updates version in the MapleCloud is 29 and is the same as the version installed in this computer, created June 23, 2025, 10:25 hours Eastern Time.`

libname;

"C:\Users\me\maple\toolbox\2025\Physics Updates\lib", "C:\Users\me\maple\toolbox\2025\Maple Customer Support Updates\lib", "C:\Program Files\Maple 2025\lib"

#comment out
#dsolve(diff(y(x),x$2)=0,arbitraryconstants=traditional):

sol:=y(x) = ((2*(x+11)*(1+x)^4*exp(12*_C1)-29*(1+x)^2*(x+103/29)*exp(6*_C1)+27*x+81)
*RootOf(2+(exp(6*_C1)*x^2+2*exp(6*_C1)*x+exp(6*_C1)-1)*_Z^6+3*_Z^2)^4+(-2*(x-4)
*(1+x)^4*exp(12*_C1)-34*(1+x)^2*(x+67/17)*exp(6*_C1)+54*x+162)*RootOf(2+(exp(6*
_C1)*x^2+2*exp(6*_C1)*x+exp(6*_C1)-1)*_Z^6+3*_Z^2)^2-(x-1)*(1+x)^4*exp(12*_C1)-\
14*(x+29/7)*(1+x)^2*exp(6*_C1)+27*x+81)/((10*(1+x)^4*exp(12*_C1)+27-37*(1+x)^2*
exp(6*_C1))*RootOf(2+(exp(6*_C1)*x^2+2*exp(6*_C1)*x+exp(6*_C1)-1)*_Z^6+3*_Z^2)^
4+(5*(1+x)^4*exp(12*_C1)+54-50*(1+x)^2*exp(6*_C1))*RootOf(2+(exp(6*_C1)*x^2+2*
exp(6*_C1)*x+exp(6*_C1)-1)*_Z^6+3*_Z^2)^2+(1+x)^4*exp(12*_C1)+27-22*(1+x)^2*exp
(6*_C1)):

ode:=(4+2*x-y(x))*diff(y(x),x)+5+x-2*y(x) = 0;

(4+2*x-y(x))*(diff(y(x), x))+5+x-2*y(x) = 0

#keep on Maple lib and remove everything else

libname:=libname[3]

"C:\Program Files\Maple 2025\lib"

#this will not crash now
odetest(sol,ode)

0

 

 

Download odetest_crash_maple_2025_2_at_dec_6_2025_V2.mw

Why is adding the line dsolve(diff(y(x),x$2)=0,arbitraryconstants=traditional): cause odetest to crash?

I am trying to see if installing Physics update package will fix a problem I am having as described here by having a fix that maybe not included in Maple 2025.2

But I do not know how to do that. When doing Physics:-Version(); or Physics:-Version(latest); Maple says

             `The "Physics Updates" package is not available for the version of Maple under development`

Does this mean Physics update package is not needed in Maple 2025.2?  Otherwise, what are the instructions to install Physics package now?

May be someone could clarify the status of Physics package and if it is something that one should still install along with SupportTools which in Maple 2025.2 was there automatically and did not need to install it.

Update 

JUst verified that Physics update package V 1881 is still needed in Maple 2025.2 as it has important fixes not merged in Maple 2025.2.

To install Physics package in Maple 2025.2 had to click on the top right corner of the worksheet (the down arrow) near the "sign in".

Then go down to "packages" and select and click on the install button next to Physics package.  (first in list).

This will download and install it.

Now closed all of Maple and restarted it.

Now Physics package V 1881 is installed and have fixes in it that are missing from Maple 2025.2.  This is why my test was failing. Now the test do not fail.

So first time, the command Physics:-Version(latest) does not work. But from now on it should work.

I would have expected all fixes made in Physics update to have been merged into the new Maple release.

In 2025.2, I found that calling Physics:-Setup causes code of `convert/diff` to change (on the fly) causing error.

I removed from my code the places I was calling Physics:-Setup explicitly, but the error still shows up. Which means there is still places in the code to cause Physics to come into play.

I just installed 2025.2 and have not done anything yet. Just running a test. 

Does one need to install Physics package?

First, let me give an example showing that calling Physics:-Setup changes `convert/diff` which ends up causing an internal Maple error

interface(version);

`Standard Worksheet Interface, Maple 2025.2, Windows 10, November 11 2025 Build ID 1971053`

SupportTools:-Version();

`The Customer Support Updates version in the MapleCloud is 29 and is the same as the version installed in this computer, created June 23, 2025, 10:25 hours Eastern Time.`

Physics:-Version();

`The "Physics Updates" package is not available for the version of Maple under development`

restart;

Original result. No problem

 

print(`convert/diff`);

proc (a, { useeval::truefalse := false }) local ee, zD; ee := `PDEtools/usediff`(a); zD := indets(ee, 'And(function, satisfies(proc (f) options operator, arrow; (op(0, f))::`PDEtools/D/structure` end proc))'); if zD = {} then ee else _Env_t_in_use := `tools/get_symbols`(a); if useeval then zD := map(`convert/diff/D_to_eval@diff`, zD, ':-useEval'); zD := map(proc (u) options operator, arrow; lhs(u) = subsop(0 = eval, rhs(u)) end proc, zD); subs(zD, ee) else subs(map(`convert/diff/D_to_eval@diff`, zD), a) end if end if end proc

T:=D(x)(infinity):

PDEtools:-difforder(convert(T,diff))

1

 

 

 

After call Physics:-Setup

 

restart;

Physics:-Setup('assumingusesAssume' = false):

print(`convert/diff`);

proc () local ans; ans := usepdiff(args); if has([ans], 'D') then ans := Physics:-OriginalValue["convert/diff"](ans, args[2 .. -1]) end if; ans end proc

T:=D(x)(infinity):

PDEtools:-difforder(convert(T,diff))

Error, (in unknown) invalid input: diff received infinity, which is not valid for its 2nd argument

 

 

 

 

Download why_code_changes_calling_Physics_maple_2025_2_nov_24_2025.mw

Notice that now calling PDEtools:-difforder(convert(T,diff))  fail because Physics:- was called.

But my code now has no calls to Physics:-, I made sure to comment all those out. 

But I still get same error when I run my test program. Not able to find where Physics is "activated" again to cause the code change in `convert/diff` that happens dynamically when Physics is loaded.

It must be happining on different call internally. But have no idea why and where.

This is all on new PC. I have no Maple ini files or anything like this that can cause this.

Will installing Physics package explicity fixes this?   

 

Update

I think I know why this happens. Not all fixes made by Edgardo S. Cheb-Terrab in last Physics update are included in Maple 2025.2 !

See https://mapleprimes.com/questions/240843-Why-PDEtoolsSolve-Fail-On-This-Equation  where fix is made in Physics  v.1880 which I confirmed in Maple 2025.1.

But now I checked and this problem is back in Maple 2025.2. which means that fix was not merged into Maple 2025.2. How could this happen?


 

interface(version);

`Standard Worksheet Interface, Maple 2025.2, Windows 10, November 11 2025 Build ID 1971053`

Physics:-Version();

`The "Physics Updates" package is not available for the version of Maple under development`

SupportTools:-Version();

`The Customer Support Updates version in the MapleCloud is 29 and is the same as the version installed in this computer, created June 23, 2025, 10:25 hours Eastern Time.`

restart;

eq:=D(y)(0)+1 = 0;
solve(eq,D(y)(0));

(D(y))(0)+1 = 0

-1

PDEtools:-Solve(eq,D(y)(0));

Error, (in PDEtools:-Solve) required an indication of the solving variables for the given system

 


 

Download fixed_in_2025_1_but_missing_in_2025_2.mw

So I am hoping that figuring how to install Physics update in Maple 2025.2 will fix the current problem with convert and also bring that old fix for PDEtools:-Solve back into Maple 2025.2.

This is something that Maplesoft should have taken care of.

Update 

Figured how install Physics update package V 1881 and doing so fixed this problem in Maple 2025.2 !

This tells me that all fixes that were in Physics update package were not merged into Maple 2025.2

This worksheet shows that now code works OK, but need to make sure to install Physics update package in Maple 2025.2

interface(version);

`Standard Worksheet Interface, Maple 2025.2, Windows 10, November 11 2025 Build ID 1971053`

SupportTools:-Version();

`The Customer Support Updates version in the MapleCloud is 29 and is the same as the version installed in this computer, created June 23, 2025, 10:25 hours Eastern Time.`

Physics:-Version();

`The "Physics Updates" version in the MapleCloud is 1881 and is the same as the version installed in this computer, created 2025, October 7, 16:4 hours Pacific Time.`

restart;

Original result. No problem

 

print(`convert/diff`);

proc (a, { useeval::truefalse := false }) local ee, zD; ee := `PDEtools/usediff`(a); zD := indets(ee, 'And(function, satisfies(proc (f) options operator, arrow; (op(0, f))::`PDEtools/D/structure` end proc))'); if zD = {} then ee else _Env_t_in_use := `tools/get_symbols`(a); if useeval then zD := map(`convert/diff/D_to_eval@diff`, zD, ':-useEval'); zD := map(proc (u) options operator, arrow; lhs(u) = subsop(0 = eval, rhs(u)) end proc, zD); subs(zD, ee) else subs(map(`convert/diff/D_to_eval@diff`, zD), a) end if end if end proc

T:=D(x)(infinity):

PDEtools:-difforder(convert(T,diff))

1

 

 

 

After call Physics:-Setup. now works OK since Physics update is installed

 

restart;

Physics:-Setup('assumingusesAssume' = false):

print(`convert/diff`);

proc () local ans; ans := usepdiff(args); if has([ans], 'D') then ans := Physics:-OriginalValue["convert/diff"](ans, args[2 .. -1]) end if; ans end proc

T:=D(x)(infinity):

PDEtools:-difforder(convert(T,diff))

1

 

 

 

Download why_code_changes_calling_Physics_maple_2025_2_nov_24_2025_V2.mw

 

I cannot get the ini file to load packages.  It executes fine and the bottom commands work, but the package does not load.
Is there some special way to load packages in the ini file?

Thanks!

with(LinearAlgebra):
    stoperror(all):
    interface(displayprecision = 4);
    _EnvUseHeavisideAsUnitStep := true;  
    Digits := 10;
    printf("Standard Packages Loaded\n");

The new default in Maple 2025 is to hide the Execution Group Boundaries in Worksheet mode.
In order to make them visible one has to use the menu

View > Show/Hide Contents > Execution Group Boundaries F9

or to press the F9 key.

The question: is there a method to have again visible boundaries by default? 

(Hiding the boundaries does not seem to be a good idea because an execution group can have (it is not clear why!) multiple prompts.)

"Error, (in dsolve/numeric/SC/firststep) unable to evaluate the partial derivatives of f(x,y) for stiff solution", I am trying to solve a system of PDEs in Maple, using discretisation schemes, but keep getting this error. Can anyone help me with this?

i did try and even replace the function w(t) by anotehr thing but is not working  how i can find that and make be answer of my pde?

k1.mw

a million time i try to figure out how i can get this plot ? why my graph  in countor is not same the 3D plot? where is problem?

Bgraph1.mw

Syntax for merging and overlaying all three graphs on a single plot.
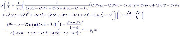
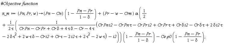
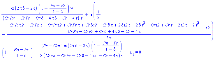
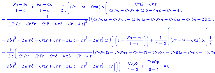
Include three sets of iso-profit lines on the same axes:
– Case 1: thin solid lines
– case 2: brown dashed lines
– Case 3: grey semi-dashed lines
Also add vector arrows to show the direction of maximum profit increase.
Combined plot = Plot 1 + Plot 2 +  Plot 3
Attaching sheet:
case_1.mw                  case_2.mw                 Case_3.mw
 

sample graph: 

Is it possible to install and operate Maple toolbox 2025.2 with MATLAB R2025b on Linux (Ubuntu 24.04)  platform?

On Ubuntu 24.04 installation process hangs after location of Maple and Matlab folders at installer window.

Any idea what is wrong?

Of course, I know that actual Maple 2025 system requirements mention support only for MATLAB R2024b, but this is an obsolete version of MATLAB.

And finally, Is there any reliable and effective way how to switch between Maple and MATLAB symbolic engine?

When I use Maple to solve some complex polynomial system and trying different methods, for instance, using engine = traditional, it will sometimes lose or fail to find the solutions. In the document, it says Maple will convert to engine = groebner when it does not find solutions using traditional engine. As far as I know it is using resultant to eliminate variables, and the resultant is computed by pseudo remainder. The leading coefficient of the divisor is multiplied during each division to ensure that we include the case that it is zero.

But why this procedure will lose solutions sometimes? What makes Maple abandon this method?

1 2 3 4 5 6 7 Last Page 1 of 2232