Maple Questions and Posts

These are Posts and Questions associated with the product, Maple

There is still time to register for Maple Conference 2025, which takes place November 5-7, 2025.

The free registration includes access to three full days of presentations from Maplesoft product directors and developers, two distinguished keynote speakers, contributed talks by Maple users, and opportunities to network with fellow users, researchers, and Maplesoft staff.

The final day of the conference will feature three in-depth workshops presented by the R&D team. You'll get hands-on experience with creating professional documents in Maple, learn how to solve various differential equations more effectively using Maple's numerical solvers, and explore the power of the Maple programming language while solving interesting puzzles.

Access to the workshops is included with the free conference registration.

We hope to see you there!

Kaska Kowalska
Contributed Program Co-chair

How can I use an if statement inside a do - loop in maple and then plot a figure based on the conditional results? I need help with the correct syntax for combining the do-loop, `if` condition, and plotting command.

Sheet attached below:
Algorithmm.mw

Hi,
I want to have a colorbar aside the curve, but I can't. (My Maple version is 2018).

restart:
with(plots):

# --- constants ---
qc := 0.4:
qh := 0.64:
alpha := 0.8:

# --- parameter ranges ---
deltac_min := 0.01: deltac_max := 0.99:
Tch_min := 0.1:     Tch_max := 1.1:

# --- numerical safety ---
epsDen := 1e-12:
Mcap := 3.0: # cap to avoid infinity

# --- denominator ---
Den := (deltac, Tch) ->
       -2*Tch*deltac*qh - 2*Tch*deltac + 2*Tch*qh
       + 2*deltac*qc + 2*Tch + 2*deltac:

# --- safe functions ---
M1safe := (deltac, Tch) ->
    piecewise(Den(deltac,Tch) > epsDen,
              min(2/sqrt(Den(deltac,Tch)), Mcap),
              Mcap):

M0safe := (deltac, Tch) ->
    piecewise(Den(deltac,Tch) > epsDen,
              min(2*alpha/sqrt(Den(deltac,Tch)), Mcap),
              Mcap):

# --- density plots ---
p1 := densityplot(
       M1safe(deltac,Tch),
       deltac = deltac_min .. deltac_max,
       Tch   = Tch_min .. Tch_max,
       grid  = [200,200],
       style = patchnogrid,
       colorstyle = HUE,
       axes = boxed,
       labels = ["δ_c", "T_ch"],
       title = sprintf("M1(δ_c, T_ch)  (capped at %.2f)", Mcap)
     ):

p2 := densityplot(
       M0safe(deltac,Tch),
       deltac = deltac_min .. deltac_max,
       Tch   = Tch_min .. Tch_max,
       grid  = [200,200],
       style = patchnogrid,
       colorstyle = HUE,
       axes = boxed,
       labels = ["δ_c", "T_ch"],
       title = sprintf("M0(δ_c, T_ch)  (capped at %.2f)", Mcap)
     ):

# --- Contour Den = 0 (to mark physical boundary) ---
cont := contourplot(
          Den(deltac,Tch),
          deltac = deltac_min .. deltac_max,
          Tch   = Tch_min .. Tch_max,
          contours = [0],
          color = black,
          thickness = 2
        ):

# --- Overlay contour ---
p1_final := display(p1, cont):
p2_final := display(p2, cont):

# --- Display side by side ---
display(array([p1_final, p2_final]), scaling = constrained);

@@@@@@@@@@@@@@@@@@@@@@@@@@@@@@@@@@@@

restart;
with(plots):

# === Constants ===
qc := 0.4:
qh := 0.64:
alpha := 0.8:

# === Denominator ===
Den := (deltac, Tch) ->
     -2*Tch*deltac*qh - 2*Tch*deltac + 2*Tch*qh
     + 2*deltac*qc + 2*Tch + 2*deltac:

# === M1 and M0 ===
M1 := (deltac, Tch) -> piecewise(Den(deltac,Tch)>0, 2/sqrt(Den(deltac,Tch)), undefined):
M0 := (deltac, Tch) -> piecewise(Den(deltac,Tch)>0, 2*alpha/sqrt(Den(deltac,Tch)), undefined):

# === Domain ===
deltac_min := 0.05:  deltac_max := 0.95:
Tch_min := 0.01:     Tch_max := 1.10:   # Physically realistic range

# === 3D Plots ===
p1 := plot3d(M1(deltac,Tch),
             deltac=deltac_min..deltac_max,
             Tch=Tch_min..Tch_max,
             grid=[80,80],
             axes=boxed,
             orientation=[-130,45],
             scaling=constrained,
             style=surfacecontour,
             color=green,
             labels=["δ_c", "T_ch", "M1"],
             labelfont=[TIMES,12],
             title="M1(δ_c, T_ch) for qc=0.4, qh=0.64"):

p2 := plot3d(M0(deltac,Tch),
             deltac=deltac_min..deltac_max,
             Tch=Tch_min..Tch_max,
             grid=[80,80],
             axes=boxed,
             orientation=[-130,45],
             scaling=constrained,
             style=surfacecontour,
             color=blue,
             labels=["δ_c", "T_ch", "M0"],
             labelfont=[TIMES,12],
             title="M0(δ_c, T_ch) for α=0.8, qc=0.4, qh=0.64"):

# === Display vertically (M1 above M0) ===
display(Array(1..2, [p1, p2]), insequence=true, scaling=constrained);
display(Array([[p1], [p2]]));

I am using S := sort([sqrt(x2), sqrt(y2), sqrt(z2)]);

restart;
n := 0:
L := []:

for a from 3 to 100 do
    for b from 3 to a do
        c2 := a^2 - a*b + b^2;
        c := isqrt(c2);
        if c^2 = c2 then
            if c < a + b and a < b + c and b < c + a then
                if igcd(a, b, c) = 1 then
                    x2 := (-a^2 + b^2 + c^2)/2;
                    y2 := (a^2 - b^2 + c^2)/2;
                    z2 := (a^2 + b^2 - c^2)/2;
                    if 0 < x2 and 0 < y2 and 0 < z2 then
                        S := sort([sqrt(x2), sqrt(y2), sqrt(z2)]);
                        x := S[1]; 
                        y := S[2]; 
                        z := S[3];
                        n := n + 1;
                        L := [op(L), [x, y, z, sqrt(x^2 + y^2), sqrt(y^2 + z^2), sqrt(x^2 + z^2)]];
                    end if;
                end if;
            end if;
        end if;
    end do;
end do;

n;
L;
 

But I get the result. How can I get the correct result of sort? 

After Maple 2025 start-up (with disabled start-up page) and closing the blank worksheet (note the dark grey workspace) there is still one mserver running (highlighted in yellow).

I have not seen a difference when I kill this process and open a new worksheet which starts a new mserver.exe task (and run Maple code).

The task seems to be inactive (no processor load and memory allocation visible).

Is it a task only used by the interface task (javaw.exe)?
What might be the purpose of this mserver.exe? 

 

Update: The task is inactive in a sense that it does not show immetiate activity when annother mserver.exe task runs (i.e. exceuting a worksheet). However, after a day memory allocation shows changes. When exactly these changes happend is unclear.

I am able to reproduce a case where same exact code, which is in .mla library, when called from worksheet produces Maple internal errors when calling odetest, which happens at random places

     Error, (in depends) too many levels of recursion 

     Error, (in anonymous procedure called from depends) too many levels of recursion 

But when calling same exact proc in the mla from the command line using 

/home/me/maple2025/bin/maple  -q BUILD_ALL.mpl

Where BUILD_ALL.mpl has same command used in worksheet, which is say my_command() where my_command() is proc in my .mla library, the code runs with no erros.

Both worksheet and command use the same exact initialization code before running the command, which is read from this file

dsolve(diff(y(x),x$20)=0,arbitraryconstants=traditional):

interface(warnlevel=0):
kernelopts('assertlevel'=2):

kernelopts(numcpus=1);
kernelopts(gcmaxthreads=1);
interface(rtablesize=100);

latex:-Settings(useimaginaryunit=i,
      usecolor = false,
      powersoftrigonometricfunctions= mixed, ## computernotation,
      leavespaceafterfunctionname = true,
      cacheresults = false,
      spaceaftersqrt = true,
      usetypesettingcurrentsettings=true,
      linelength=1000000
):

plots[setoptions](font=[TIMES,12], labelfont=[TIMES,16]);
plots[setoptions3d](font=[TIMES,12], labelfont=[TIMES,24]);

_EnvUseHeavisideAsUnitStep:=true;
local gamma;

libname := "/home/me/my.mla", libname:

I see from the print messages I have, that both codes run exactly the same steps as ofcourse should be the case as it is the same function. But when running from worksheet, I keep getting these internal Maple errors when calling odetest in the function called after running for sometime. But no errors from command line.

In the worksheet I have it setup so that each worksheet uses its own math engine.

This also happens when starting from clean worksheet with restart.

So there must be something different in running code in .mla from worksheet vs. command to cause this. 

Some sort of memory or stack issue or something like this?. But I have no idea what it can be as I expected same code to run the same way.

I am not able to make MWE so far since it uses the whole .mla and code is very large also code uses SQL database. I tried to make small MWE, but the error from worksheet do not show up then. Only when running the whole program it shows up. 

But why does odetest behave different when running code from worksheet vs. command line Maple?

This always happens when calling odetest inside timelimit in the function in question. I also use 

                  `assuming/restore_previous_state`;

In all my try/catch calls. I wonder if this has anything to do with this difference in behavior. I will try next to remove all calls to the above and see if this is what causing the problem. But stil the question is, why behaves different when called from worksheet vs. command line?

I am asking general question here: Should there be difference in how proc() in .mla behaves when called from command line vs. worksheet? Any one had similar experience in Maple?

Any ideas or guesses what can cause this, Or anything I can try to help find the cause? I will try them as I gave up figuring this one.   

Does Maple math engine internally makes any checks if it called from worksheet vs. command line? Or does the worksheet itself changes some settings that can cause some math engine function such as odetest to behave different? I do not see how this is can be the case.

Any additional information needed, will be happy to provide it,

(#5654 for my reference)

Update

Good news. I am able to make a MWE which reproduces this bug. 

It happens when running many many such calls.

Here is the worksheet. It is large, because the Maple bug only happens when running this sequence of calling odetest. And it happens in worksheet. I will now make version for command line which should not give error. But for now, this is the worksheet version. For me, it gives this error each time. But if you do not see the error, try again from the top of the worksheet.

Note. I am adding the same initialization code I used in both worksheet and command line. Which is 

kernelopts(numcpus=1);
kernelopts(gcmaxthreads=1);
interface(rtablesize=100);

to the top of the worksheet.  But the Maple error shows up with or without using the above 3 lines of code.


 

restart;

interface(version);

`Standard Worksheet Interface, Maple 2025.1, Linux, June 12 2025 Build ID 1932578`

Physics:-Version();

`The "Physics Updates" version in the MapleCloud is 1881 and is the same as the version installed in this computer, created 2025, October 7, 16:4 hours Pacific Time.`

SupportTools:-Version();

`The Customer Support Updates version in the MapleCloud is 29 and is the same as the version installed in this computer, created June 23, 2025, 10:25 hours Eastern Time.`

restart;

kernelopts(numcpus=1);
kernelopts(gcmaxthreads=1);
interface(rtablesize=100);

32

numcpus

[10, 10]

verify_it:=proc(sol,ode,func)
  local the_status;
  try
   the_status:=timelimit(30,odetest(sol,ode,func)):
   if the_statu<>0 then     
      the_status:=timelimit(30, (odetest(sol,ode,func) assuming integer));
   fi;

   if the_status<>0 then     
      the_status:=timelimit(30, (odetest(sol,ode,func) assuming integer,positive));
   fi;

   if the_status<>0 then     
       the_status:= timelimit(30, (odetest(sol,ode,func) assuming positive));
   fi;

   if the_status<>0 then     
      the_status:=timelimit(30, (odetest(sol,ode,func) assuming x<1));
   fi;

   if the_status<>0 then     
      timelimit(30, (odetest(sol,ode,func) assuming x>1));
   fi;
  catch:
   NULL;
  end try:
end proc:

#RUN THE next one large cell. If you do not get internal error, try again from restart

sol:=ln(x)-_C1+Intat(1/z/(-1-1/6/(z*3^(1/2)*(27*z^2-2*z)^(1/2)-9*z^2)^(1/3)*(-6*z*(z
*3^(1/2)*(27*z^2-2*z)^(1/2)-9*z^2)^(1/3)+6^(2/3)*((z^3*(-3*(27*z^2-2*z)^(1/2)*3
^(1/2)+27*z-1))^(1/3)+z))/z),z = x*y(x)) = 0:
ode:=2*x^3*diff(y(x),x)^3+6*x^2*y(x)*diff(y(x),x)^2-(1-6*x*y(x))*y(x)*diff(y(x),x)+2
*y(x)^3 = 0:
verify_it(sol,ode,y(x)):


sol:=ln(x)-_C2+Intat(1/z/(-1+1/4*((-I*3^(1/6)*2^(2/3)+1/3*6^(2/3))*(z^3*(-3*(27*z^2-\
2*z)^(1/2)*3^(1/2)+27*z-1))^(1/3)+z*(I*3^(1/6)*2^(2/3)+1/3*6^(2/3)+4*(z*(27*z^2
-2*z)^(1/2)*3^(1/2)-9*z^2)^(1/3)))/(z*(27*z^2-2*z)^(1/2)*3^(1/2)-9*z^2)^(1/3)/z
),z = x*y(x)) = 0:
ode:=2*x^3*diff(y(x),x)^3+6*x^2*y(x)*diff(y(x),x)^2-(1-6*x*y(x))*y(x)*diff(y(x),x)+2
*y(x)^3 = 0:
verify_it(sol,ode,y(x)):

sol:=ln(x)-_C3+Intat(1/z/(-1-1/4/(z*(27*z^2-2*z)^(1/2)*3^(1/2)-9*z^2)^(1/3)*((-I*3^(
1/6)*2^(2/3)-1/3*6^(2/3))*(z^3*(-3*(27*z^2-2*z)^(1/2)*3^(1/2)+27*z-1))^(1/3)+z*
(I*3^(1/6)*2^(2/3)-1/3*6^(2/3)-4*(z*(27*z^2-2*z)^(1/2)*3^(1/2)-9*z^2)^(1/3)))/z
),z = x*y(x)) = 0:
ode:=2*x^3*diff(y(x),x)^3+6*x^2*y(x)*diff(y(x),x)^2-(1-6*x*y(x))*y(x)*diff(y(x),x)+2
*y(x)^3 = 0:
verify_it(sol,ode,y(x)):

sol:=ln(x)-_C1+Intat(1/z/(-1-1/6/(z*3^(1/2)*(27*z^2-2*z)^(1/2)-9*z^2)^(1/3)*(-6*z*(z
*3^(1/2)*(27*z^2-2*z)^(1/2)-9*z^2)^(1/3)+6^(2/3)*((z^3*(-3*(27*z^2-2*z)^(1/2)*3
^(1/2)+27*z-1))^(1/3)+z))/z),z = x*y(x)) = 0:
ode:=2*x^3*diff(y(x),x)^3+6*x^2*y(x)*diff(y(x),x)^2-(1-6*x*y(x))*y(x)*diff(y(x),x)+2
*y(x)^3 = 0:
verify_it(sol,ode,y(x)):

sol:=ln(x)-_C2+Intat(1/z/(-1+1/4*((-I*3^(1/6)*2^(2/3)+1/3*6^(2/3))*(z^3*(-3*(27*z^2-\
2*z)^(1/2)*3^(1/2)+27*z-1))^(1/3)+z*(I*3^(1/6)*2^(2/3)+1/3*6^(2/3)+4*(z*(27*z^2
-2*z)^(1/2)*3^(1/2)-9*z^2)^(1/3)))/(z*(27*z^2-2*z)^(1/2)*3^(1/2)-9*z^2)^(1/3)/z
),z = x*y(x)) = 0:
ode:=2*x^3*diff(y(x),x)^3+6*x^2*y(x)*diff(y(x),x)^2-(1-6*x*y(x))*y(x)*diff(y(x),x)+2
*y(x)^3 = 0:
verify_it(sol,ode,y(x)):

sol:=ln(x)-_C3+Intat(1/z/(-1-1/4/(z*(27*z^2-2*z)^(1/2)*3^(1/2)-9*z^2)^(1/3)*((-I*3^(
1/6)*2^(2/3)-1/3*6^(2/3))*(z^3*(-3*(27*z^2-2*z)^(1/2)*3^(1/2)+27*z-1))^(1/3)+z*
(I*3^(1/6)*2^(2/3)-1/3*6^(2/3)-4*(z*(27*z^2-2*z)^(1/2)*3^(1/2)-9*z^2)^(1/3)))/z
),z = x*y(x)) = 0:
ode:=2*x^3*diff(y(x),x)^3+6*x^2*y(x)*diff(y(x),x)^2-(1-6*x*y(x))*y(x)*diff(y(x),x)+2
*y(x)^3 = 0:
verify_it(sol,ode,y(x)):

sol:=ln(x)-_C1+Intat(1/z/(-1-1/6*(-6*z*(z*3^(1/2)*(27*z^2-2*z)^(1/2)-9*z^2)^(1/3)+6^
(2/3)*((z^3*(-3*(27*z^2-2*z)^(1/2)*3^(1/2)+27*z-1))^(1/3)+z))/(z*3^(1/2)*(27*z^
2-2*z)^(1/2)-9*z^2)^(1/3)/z),z = x*y(x)) = 0:
ode:=diff(y(x),x) = 1/6/x^2*6^(1/3)*(y(x)*(3^(1/2)*(y(x)*(27*x*y(x)-2)/x)^(1/2)-9*y(
x))*x^2)^(1/3)+1/6*y(x)/x*6^(2/3)/(y(x)*(3^(1/2)*(y(x)*(27*x*y(x)-2)/x)^(1/2)-9
*y(x))*x^2)^(1/3)-1/x*y(x):
verify_it(sol,ode,y(x)):

sol:=ln(x)-_C1+Intat(1/z/(-1-1/6*(-6*z*(z*3^(1/2)*(27*z^2-2*z)^(1/2)-9*z^2)^(1/3)+6^
(2/3)*((z^3*(-3*(27*z^2-2*z)^(1/2)*3^(1/2)+27*z-1))^(1/3)+z))/(z*3^(1/2)*(27*z^
2-2*z)^(1/2)-9*z^2)^(1/3)/z),z = x*y(x)) = 0:
ode:=diff(y(x),x) = 1/6/x^2*6^(1/3)*(y(x)*(3^(1/2)*(y(x)*(27*x*y(x)-2)/x)^(1/2)-9*y(
x))*x^2)^(1/3)+1/6*y(x)/x*6^(2/3)/(y(x)*(3^(1/2)*(y(x)*(27*x*y(x)-2)/x)^(1/2)-9
*y(x))*x^2)^(1/3)-1/x*y(x):
verify_it(sol,ode,y(x)):


sol:=Intat(1/(6^(1/3)*tau+(-3^(1/2)*(3*3^(1/2)*tau-(tau*(27*tau-2))^(1/2))*tau)^(2/3
))*(-3^(1/2)*(3*3^(1/2)*tau-(tau*(27*tau-2))^(1/2))*tau)^(1/3),tau = x*y(x)) =
6^(1/3)*ln(x^(1/6))+_C2:
ode:=diff(y(x),x) = 1/6/x^2*6^(1/3)*(y(x)*(3^(1/2)*(y(x)*(27*x*y(x)-2)/x)^(1/2)-9*y(
x))*x^2)^(1/3)+1/6*y(x)/x*6^(2/3)/(y(x)*(3^(1/2)*(y(x)*(27*x*y(x)-2)/x)^(1/2)-9
*y(x))*x^2)^(1/3)-1/x*y(x):
verify_it(sol,ode,y(x)):


sol:=ln(x)-_C3+Intat(1/z/(-1-1/4*((-I*3^(1/6)*2^(2/3)-1/3*6^(2/3))*(z^3*(-3*3^(1/2)*
(27*z^2-2*z)^(1/2)+27*z-1))^(1/3)+z*(I*3^(1/6)*2^(2/3)-1/3*6^(2/3)-4*(z*3^(1/2)
*(27*z^2-2*z)^(1/2)-9*z^2)^(1/3)))/(z*3^(1/2)*(27*z^2-2*z)^(1/2)-9*z^2)^(1/3)/z
),z = x*y(x)) = 0:
ode:=diff(y(x),x) = -1/12/x^2*6^(1/3)*(y(x)*(3^(1/2)*(y(x)*(27*x*y(x)-2)/x)^(1/2)-9*
y(x))*x^2)^(1/3)-1/12*y(x)/x*6^(2/3)/(y(x)*(3^(1/2)*(y(x)*(27*x*y(x)-2)/x)^(1/2
)-9*y(x))*x^2)^(1/3)-1/x*y(x)-1/2*I*3^(1/2)*(1/6/x^2*6^(1/3)*(y(x)*(3^(1/2)*(y(
x)*(27*x*y(x)-2)/x)^(1/2)-9*y(x))*x^2)^(1/3)-1/6*y(x)/x*6^(2/3)/(y(x)*(3^(1/2)*
(y(x)*(27*x*y(x)-2)/x)^(1/2)-9*y(x))*x^2)^(1/3)):
verify_it(sol,ode,y(x)):

sol:=ln(x)-_C3+Intat(1/z/(-1-1/4*((-I*3^(1/6)*2^(2/3)-1/3*6^(2/3))*(z^3*(-3*3^(1/2)*
(27*z^2-2*z)^(1/2)+27*z-1))^(1/3)+z*(I*3^(1/6)*2^(2/3)-1/3*6^(2/3)-4*(z*3^(1/2)
*(27*z^2-2*z)^(1/2)-9*z^2)^(1/3)))/(z*3^(1/2)*(27*z^2-2*z)^(1/2)-9*z^2)^(1/3)/z
),z = x*y(x)) = 0:
ode:=diff(y(x),x) = -1/12/x^2*6^(1/3)*(y(x)*(3^(1/2)*(y(x)*(27*x*y(x)-2)/x)^(1/2)-9*
y(x))*x^2)^(1/3)-1/12*y(x)/x*6^(2/3)/(y(x)*(3^(1/2)*(y(x)*(27*x*y(x)-2)/x)^(1/2
)-9*y(x))*x^2)^(1/3)-1/x*y(x)-1/2*I*3^(1/2)*(1/6/x^2*6^(1/3)*(y(x)*(3^(1/2)*(y(
x)*(27*x*y(x)-2)/x)^(1/2)-9*y(x))*x^2)^(1/3)-1/6*y(x)/x*6^(2/3)/(y(x)*(3^(1/2)*
(y(x)*(27*x*y(x)-2)/x)^(1/2)-9*y(x))*x^2)^(1/3)):
verify_it(sol,ode,y(x)):

sol:=-ln(x) = Intat(-(1+I*3^(1/2))*(-(27*_a-2)^(1/2)*3^(1/2)+9*_a^(1/2))^(1/3)*6^(2/
3)/_a^(1/2)/(I*3^(5/6)*2^(1/3)+2*(-(27*_a-2)^(1/2)*3^(1/2)+9*_a^(1/2))^(2/3)-6^
(1/3)),_a = x*y(x))+_C5:
ode:=diff(y(x),x) = -1/12/x^2*6^(1/3)*(y(x)*(3^(1/2)*(y(x)*(27*x*y(x)-2)/x)^(1/2)-9*
y(x))*x^2)^(1/3)-1/12*y(x)/x*6^(2/3)/(y(x)*(3^(1/2)*(y(x)*(27*x*y(x)-2)/x)^(1/2
)-9*y(x))*x^2)^(1/3)-1/x*y(x)-1/2*I*3^(1/2)*(1/6/x^2*6^(1/3)*(y(x)*(3^(1/2)*(y(
x)*(27*x*y(x)-2)/x)^(1/2)-9*y(x))*x^2)^(1/3)-1/6*y(x)/x*6^(2/3)/(y(x)*(3^(1/2)*
(y(x)*(27*x*y(x)-2)/x)^(1/2)-9*y(x))*x^2)^(1/3)):
verify_it(sol,ode,y(x)):

sol:=ln(y)-_C6+Intat(1/z/(-1-(1-I*3^(1/2))*z*6^(2/3)*(z^2*(((27*z-2)/z)^(1/2)*3^(1/2
)-9))^(1/3)/(-2*(z^2*(((27*z-2)/z)^(1/2)*3^(1/2)-9))^(2/3)+z*(3*I*3^(1/6)*2^(2/
3)-6^(2/3))*(z^2*(((27*z-2)/z)^(1/2)*3^(1/2)-9))^(1/3)+I*3^(5/6)*2^(1/3)*z+6^(1
/3)*z)),z = x(y)*y) = 0:
ode:=diff(x(y),y) = (3^(1/2)*(-3*3^(1/2)*y+(y*(27*x(y)*y-2)/x(y))^(1/2))*y*x(y)^2)^(
1/3)*x(y)^2*6^(2/3)*(I*3^(1/2)-1)/(-1/12*6^(2/3)*(I*3^(1/2)-1)*(-I*6^(2/3)*3^(1
/2)+6^(2/3)+12*(3^(1/2)*(-3*3^(1/2)*y+(y*(27*x(y)*y-2)/x(y))^(1/2))*y*x(y)^2)^(
1/3))*x(y)*y+2*(3^(1/2)*(-3*3^(1/2)*y+(y*(27*x(y)*y-2)/x(y))^(1/2))*y*x(y)^2)^(
2/3)):
verify_it(sol,ode,y(x)):

sol:=ln(y)-_C6+Intat(1/z/(-1-(1-I*3^(1/2))*z*6^(2/3)*(z^2*(((27*z-2)/z)^(1/2)*3^(1/2
)-9))^(1/3)/(-2*(z^2*(((27*z-2)/z)^(1/2)*3^(1/2)-9))^(2/3)+z*(3*I*3^(1/6)*2^(2/
3)-6^(2/3))*(z^2*(((27*z-2)/z)^(1/2)*3^(1/2)-9))^(1/3)+I*3^(5/6)*2^(1/3)*z+6^(1
/3)*z)),z = x(y)*y) = 0:
ode:=diff(x(y),y) = (3^(1/2)*(-3*3^(1/2)*y+(y*(27*x(y)*y-2)/x(y))^(1/2))*y*x(y)^2)^(
1/3)*x(y)^2*6^(2/3)*(I*3^(1/2)-1)/(-1/12*6^(2/3)*(I*3^(1/2)-1)*(-I*6^(2/3)*3^(1
/2)+6^(2/3)+12*(3^(1/2)*(-3*3^(1/2)*y+(y*(27*x(y)*y-2)/x(y))^(1/2))*y*x(y)^2)^(
1/3))*x(y)*y+2*(3^(1/2)*(-3*3^(1/2)*y+(y*(27*x(y)*y-2)/x(y))^(1/2))*y*x(y)^2)^(
2/3)):
verify_it(sol,ode,y(x)):

sol:=ln(y(x))-_C6+Intat(1/z/(-1-(1-I*3^(1/2))*z*6^(2/3)*(z^2*(((27*z-2)/z)^(1/2)*3^(
1/2)-9))^(1/3)/(-2*(z^2*(((27*z-2)/z)^(1/2)*3^(1/2)-9))^(2/3)+z*(3*I*3^(1/6)*2^
(2/3)-6^(2/3))*(z^2*(((27*z-2)/z)^(1/2)*3^(1/2)-9))^(1/3)+I*3^(5/6)*2^(1/3)*z+6
^(1/3)*z)),z = x*y(x)) = 0:
ode:=diff(y(x),x) = -1/12/x^2*6^(1/3)*(y(x)*(3^(1/2)*(y(x)*(27*x*y(x)-2)/x)^(1/2)-9*
y(x))*x^2)^(1/3)-1/12*y(x)/x*6^(2/3)/(y(x)*(3^(1/2)*(y(x)*(27*x*y(x)-2)/x)^(1/2
)-9*y(x))*x^2)^(1/3)-1/x*y(x)-1/2*I*3^(1/2)*(1/6/x^2*6^(1/3)*(y(x)*(3^(1/2)*(y(
x)*(27*x*y(x)-2)/x)^(1/2)-9*y(x))*x^2)^(1/3)-1/6*y(x)/x*6^(2/3)/(y(x)*(3^(1/2)*
(y(x)*(27*x*y(x)-2)/x)^(1/2)-9*y(x))*x^2)^(1/3)):
verify_it(sol,ode,y(x)):

sol:=ln(x)-_C7+Intat(1/z/(-1+1/4*((-I*3^(1/6)*2^(2/3)+1/3*6^(2/3))*(z^3*(-3*(27*z^2-\
2*z)^(1/2)*3^(1/2)+27*z-1))^(1/3)+z*(I*3^(1/6)*2^(2/3)+1/3*6^(2/3)+4*(z*(27*z^2
-2*z)^(1/2)*3^(1/2)-9*z^2)^(1/3)))/(z*(27*z^2-2*z)^(1/2)*3^(1/2)-9*z^2)^(1/3)/z
),z = x*y(x)) = 0:
ode:=diff(y(x),x) = -1/12/x^2*6^(1/3)*(y(x)*(3^(1/2)*(y(x)*(27*x*y(x)-2)/x)^(1/2)-9*
y(x))*x^2)^(1/3)-1/12*y(x)/x*6^(2/3)/(y(x)*(3^(1/2)*(y(x)*(27*x*y(x)-2)/x)^(1/2
)-9*y(x))*x^2)^(1/3)-1/x*y(x)+1/2*I*3^(1/2)*(1/6/x^2*6^(1/3)*(y(x)*(3^(1/2)*(y(
x)*(27*x*y(x)-2)/x)^(1/2)-9*y(x))*x^2)^(1/3)-1/6*y(x)/x*6^(2/3)/(y(x)*(3^(1/2)*
(y(x)*(27*x*y(x)-2)/x)^(1/2)-9*y(x))*x^2)^(1/3)):
verify_it(sol,ode,y(x)):

sol:=ln(x)-_C7+Intat(1/z/(-1+1/4*((-I*3^(1/6)*2^(2/3)+1/3*6^(2/3))*(z^3*(-3*(27*z^2-\
2*z)^(1/2)*3^(1/2)+27*z-1))^(1/3)+z*(I*3^(1/6)*2^(2/3)+1/3*6^(2/3)+4*(z*(27*z^2
-2*z)^(1/2)*3^(1/2)-9*z^2)^(1/3)))/(z*(27*z^2-2*z)^(1/2)*3^(1/2)-9*z^2)^(1/3)/z
),z = x*y(x)) = 0:
ode:=diff(y(x),x) = -1/12/x^2*6^(1/3)*(y(x)*(3^(1/2)*(y(x)*(27*x*y(x)-2)/x)^(1/2)-9*
y(x))*x^2)^(1/3)-1/12*y(x)/x*6^(2/3)/(y(x)*(3^(1/2)*(y(x)*(27*x*y(x)-2)/x)^(1/2
)-9*y(x))*x^2)^(1/3)-1/x*y(x)+1/2*I*3^(1/2)*(1/6/x^2*6^(1/3)*(y(x)*(3^(1/2)*(y(
x)*(27*x*y(x)-2)/x)^(1/2)-9*y(x))*x^2)^(1/3)-1/6*y(x)/x*6^(2/3)/(y(x)*(3^(1/2)*
(y(x)*(27*x*y(x)-2)/x)^(1/2)-9*y(x))*x^2)^(1/3)):
verify_it(sol,ode,y(x)):


sol:=-ln(x) = Intat(-2/_a^(1/2)*((27*_a-2)^(1/2)*3^(1/2)-9*_a^(1/2))^(1/3)/(-I*3^(5/
6)*2^(1/3)+I*3^(1/2)*((27*_a-2)^(1/2)*3^(1/2)-9*_a^(1/2))^(2/3)-((27*_a-2)^(1/2
)*3^(1/2)-9*_a^(1/2))^(2/3)-6^(1/3))*6^(2/3),_a = x*y(x))+_C9:
ode:=diff(y(x),x) = -1/12/x^2*6^(1/3)*(y(x)*(3^(1/2)*(y(x)*(27*x*y(x)-2)/x)^(1/2)-9*
y(x))*x^2)^(1/3)-1/12*y(x)/x*6^(2/3)/(y(x)*(3^(1/2)*(y(x)*(27*x*y(x)-2)/x)^(1/2
)-9*y(x))*x^2)^(1/3)-1/x*y(x)+1/2*I*3^(1/2)*(1/6/x^2*6^(1/3)*(y(x)*(3^(1/2)*(y(
x)*(27*x*y(x)-2)/x)^(1/2)-9*y(x))*x^2)^(1/3)-1/6*y(x)/x*6^(2/3)/(y(x)*(3^(1/2)*
(y(x)*(27*x*y(x)-2)/x)^(1/2)-9*y(x))*x^2)^(1/3)):
verify_it(sol,ode,y(x)):

 

Error, (in anonymous procedure called from depends) too many levels of recursion

 

 

Download error_in_worksheet_but_not_in_command_line_oct_28_2025.mw

Below is same exact code but run in command line Maple. It produces no error

#run this A.mpl file using
#/home/me/maple2025/bin/maple A.mpl

interface(version);
Physics:-Version();
SupportTools:-Version();

kernelopts(numcpus=1);
kernelopts(gcmaxthreads=1);
interface(rtablesize=100);

verify_it:=proc(sol,ode,func)
  local the_status;
  try
   the_status:=timelimit(30,odetest(sol,ode,func)):
   if the_statu<>0 then
      the_status:=timelimit(30, (odetest(sol,ode,func) assuming integer));
   fi;

   if the_status<>0 then
      the_status:=timelimit(30, (odetest(sol,ode,func) assuming integer,positive));
   fi;

   if the_status<>0 then
       the_status:= timelimit(30, (odetest(sol,ode,func) assuming positive));
   fi;

   if the_status<>0 then
      the_status:=timelimit(30, (odetest(sol,ode,func) assuming x<1));
   fi;

   if the_status<>0 then
      timelimit(30, (odetest(sol,ode,func) assuming x>1));
   fi;
  catch:
   NULL;
  end try:
end proc:


sol:=ln(x)-_C1+Intat(1/z/(-1-1/6/(z*3^(1/2)*(27*z^2-2*z)^(1/2)-9*z^2)^(1/3)*(-6*z*(z
*3^(1/2)*(27*z^2-2*z)^(1/2)-9*z^2)^(1/3)+6^(2/3)*((z^3*(-3*(27*z^2-2*z)^(1/2)*3
^(1/2)+27*z-1))^(1/3)+z))/z),z = x*y(x)) = 0:
ode:=2*x^3*diff(y(x),x)^3+6*x^2*y(x)*diff(y(x),x)^2-(1-6*x*y(x))*y(x)*diff(y(x),x)+2
*y(x)^3 = 0:
verify_it(sol,ode,y(x)):


sol:=ln(x)-_C2+Intat(1/z/(-1+1/4*((-I*3^(1/6)*2^(2/3)+1/3*6^(2/3))*(z^3*(-3*(27*z^2-\
2*z)^(1/2)*3^(1/2)+27*z-1))^(1/3)+z*(I*3^(1/6)*2^(2/3)+1/3*6^(2/3)+4*(z*(27*z^2
-2*z)^(1/2)*3^(1/2)-9*z^2)^(1/3)))/(z*(27*z^2-2*z)^(1/2)*3^(1/2)-9*z^2)^(1/3)/z
),z = x*y(x)) = 0:
ode:=2*x^3*diff(y(x),x)^3+6*x^2*y(x)*diff(y(x),x)^2-(1-6*x*y(x))*y(x)*diff(y(x),x)+2
*y(x)^3 = 0:
verify_it(sol,ode,y(x)):

sol:=ln(x)-_C3+Intat(1/z/(-1-1/4/(z*(27*z^2-2*z)^(1/2)*3^(1/2)-9*z^2)^(1/3)*((-I*3^(
1/6)*2^(2/3)-1/3*6^(2/3))*(z^3*(-3*(27*z^2-2*z)^(1/2)*3^(1/2)+27*z-1))^(1/3)+z*
(I*3^(1/6)*2^(2/3)-1/3*6^(2/3)-4*(z*(27*z^2-2*z)^(1/2)*3^(1/2)-9*z^2)^(1/3)))/z
),z = x*y(x)) = 0:
ode:=2*x^3*diff(y(x),x)^3+6*x^2*y(x)*diff(y(x),x)^2-(1-6*x*y(x))*y(x)*diff(y(x),x)+2
*y(x)^3 = 0:
verify_it(sol,ode,y(x)):

sol:=ln(x)-_C1+Intat(1/z/(-1-1/6/(z*3^(1/2)*(27*z^2-2*z)^(1/2)-9*z^2)^(1/3)*(-6*z*(z
*3^(1/2)*(27*z^2-2*z)^(1/2)-9*z^2)^(1/3)+6^(2/3)*((z^3*(-3*(27*z^2-2*z)^(1/2)*3
^(1/2)+27*z-1))^(1/3)+z))/z),z = x*y(x)) = 0:
ode:=2*x^3*diff(y(x),x)^3+6*x^2*y(x)*diff(y(x),x)^2-(1-6*x*y(x))*y(x)*diff(y(x),x)+2
*y(x)^3 = 0:
verify_it(sol,ode,y(x)):

sol:=ln(x)-_C2+Intat(1/z/(-1+1/4*((-I*3^(1/6)*2^(2/3)+1/3*6^(2/3))*(z^3*(-3*(27*z^2-\
2*z)^(1/2)*3^(1/2)+27*z-1))^(1/3)+z*(I*3^(1/6)*2^(2/3)+1/3*6^(2/3)+4*(z*(27*z^2
-2*z)^(1/2)*3^(1/2)-9*z^2)^(1/3)))/(z*(27*z^2-2*z)^(1/2)*3^(1/2)-9*z^2)^(1/3)/z
),z = x*y(x)) = 0:
ode:=2*x^3*diff(y(x),x)^3+6*x^2*y(x)*diff(y(x),x)^2-(1-6*x*y(x))*y(x)*diff(y(x),x)+2
*y(x)^3 = 0:
verify_it(sol,ode,y(x)):

sol:=ln(x)-_C3+Intat(1/z/(-1-1/4/(z*(27*z^2-2*z)^(1/2)*3^(1/2)-9*z^2)^(1/3)*((-I*3^(
1/6)*2^(2/3)-1/3*6^(2/3))*(z^3*(-3*(27*z^2-2*z)^(1/2)*3^(1/2)+27*z-1))^(1/3)+z*
(I*3^(1/6)*2^(2/3)-1/3*6^(2/3)-4*(z*(27*z^2-2*z)^(1/2)*3^(1/2)-9*z^2)^(1/3)))/z
),z = x*y(x)) = 0:
ode:=2*x^3*diff(y(x),x)^3+6*x^2*y(x)*diff(y(x),x)^2-(1-6*x*y(x))*y(x)*diff(y(x),x)+2
*y(x)^3 = 0:
verify_it(sol,ode,y(x)):

sol:=ln(x)-_C1+Intat(1/z/(-1-1/6*(-6*z*(z*3^(1/2)*(27*z^2-2*z)^(1/2)-9*z^2)^(1/3)+6^
(2/3)*((z^3*(-3*(27*z^2-2*z)^(1/2)*3^(1/2)+27*z-1))^(1/3)+z))/(z*3^(1/2)*(27*z^
2-2*z)^(1/2)-9*z^2)^(1/3)/z),z = x*y(x)) = 0:
ode:=diff(y(x),x) = 1/6/x^2*6^(1/3)*(y(x)*(3^(1/2)*(y(x)*(27*x*y(x)-2)/x)^(1/2)-9*y(
x))*x^2)^(1/3)+1/6*y(x)/x*6^(2/3)/(y(x)*(3^(1/2)*(y(x)*(27*x*y(x)-2)/x)^(1/2)-9
*y(x))*x^2)^(1/3)-1/x*y(x):
verify_it(sol,ode,y(x)):

sol:=ln(x)-_C1+Intat(1/z/(-1-1/6*(-6*z*(z*3^(1/2)*(27*z^2-2*z)^(1/2)-9*z^2)^(1/3)+6^
(2/3)*((z^3*(-3*(27*z^2-2*z)^(1/2)*3^(1/2)+27*z-1))^(1/3)+z))/(z*3^(1/2)*(27*z^
2-2*z)^(1/2)-9*z^2)^(1/3)/z),z = x*y(x)) = 0:
ode:=diff(y(x),x) = 1/6/x^2*6^(1/3)*(y(x)*(3^(1/2)*(y(x)*(27*x*y(x)-2)/x)^(1/2)-9*y(
x))*x^2)^(1/3)+1/6*y(x)/x*6^(2/3)/(y(x)*(3^(1/2)*(y(x)*(27*x*y(x)-2)/x)^(1/2)-9
*y(x))*x^2)^(1/3)-1/x*y(x):
verify_it(sol,ode,y(x)):


sol:=Intat(1/(6^(1/3)*tau+(-3^(1/2)*(3*3^(1/2)*tau-(tau*(27*tau-2))^(1/2))*tau)^(2/3
))*(-3^(1/2)*(3*3^(1/2)*tau-(tau*(27*tau-2))^(1/2))*tau)^(1/3),tau = x*y(x)) =
6^(1/3)*ln(x^(1/6))+_C2:
ode:=diff(y(x),x) = 1/6/x^2*6^(1/3)*(y(x)*(3^(1/2)*(y(x)*(27*x*y(x)-2)/x)^(1/2)-9*y(
x))*x^2)^(1/3)+1/6*y(x)/x*6^(2/3)/(y(x)*(3^(1/2)*(y(x)*(27*x*y(x)-2)/x)^(1/2)-9
*y(x))*x^2)^(1/3)-1/x*y(x):
verify_it(sol,ode,y(x)):


sol:=ln(x)-_C3+Intat(1/z/(-1-1/4*((-I*3^(1/6)*2^(2/3)-1/3*6^(2/3))*(z^3*(-3*3^(1/2)*
(27*z^2-2*z)^(1/2)+27*z-1))^(1/3)+z*(I*3^(1/6)*2^(2/3)-1/3*6^(2/3)-4*(z*3^(1/2)
*(27*z^2-2*z)^(1/2)-9*z^2)^(1/3)))/(z*3^(1/2)*(27*z^2-2*z)^(1/2)-9*z^2)^(1/3)/z
),z = x*y(x)) = 0:
ode:=diff(y(x),x) = -1/12/x^2*6^(1/3)*(y(x)*(3^(1/2)*(y(x)*(27*x*y(x)-2)/x)^(1/2)-9*
y(x))*x^2)^(1/3)-1/12*y(x)/x*6^(2/3)/(y(x)*(3^(1/2)*(y(x)*(27*x*y(x)-2)/x)^(1/2
)-9*y(x))*x^2)^(1/3)-1/x*y(x)-1/2*I*3^(1/2)*(1/6/x^2*6^(1/3)*(y(x)*(3^(1/2)*(y(
x)*(27*x*y(x)-2)/x)^(1/2)-9*y(x))*x^2)^(1/3)-1/6*y(x)/x*6^(2/3)/(y(x)*(3^(1/2)*
(y(x)*(27*x*y(x)-2)/x)^(1/2)-9*y(x))*x^2)^(1/3)):
verify_it(sol,ode,y(x)):

sol:=ln(x)-_C3+Intat(1/z/(-1-1/4*((-I*3^(1/6)*2^(2/3)-1/3*6^(2/3))*(z^3*(-3*3^(1/2)*
(27*z^2-2*z)^(1/2)+27*z-1))^(1/3)+z*(I*3^(1/6)*2^(2/3)-1/3*6^(2/3)-4*(z*3^(1/2)
*(27*z^2-2*z)^(1/2)-9*z^2)^(1/3)))/(z*3^(1/2)*(27*z^2-2*z)^(1/2)-9*z^2)^(1/3)/z
),z = x*y(x)) = 0:
ode:=diff(y(x),x) = -1/12/x^2*6^(1/3)*(y(x)*(3^(1/2)*(y(x)*(27*x*y(x)-2)/x)^(1/2)-9*
y(x))*x^2)^(1/3)-1/12*y(x)/x*6^(2/3)/(y(x)*(3^(1/2)*(y(x)*(27*x*y(x)-2)/x)^(1/2
)-9*y(x))*x^2)^(1/3)-1/x*y(x)-1/2*I*3^(1/2)*(1/6/x^2*6^(1/3)*(y(x)*(3^(1/2)*(y(
x)*(27*x*y(x)-2)/x)^(1/2)-9*y(x))*x^2)^(1/3)-1/6*y(x)/x*6^(2/3)/(y(x)*(3^(1/2)*
(y(x)*(27*x*y(x)-2)/x)^(1/2)-9*y(x))*x^2)^(1/3)):
verify_it(sol,ode,y(x)):

sol:=-ln(x) = Intat(-(1+I*3^(1/2))*(-(27*_a-2)^(1/2)*3^(1/2)+9*_a^(1/2))^(1/3)*6^(2/
3)/_a^(1/2)/(I*3^(5/6)*2^(1/3)+2*(-(27*_a-2)^(1/2)*3^(1/2)+9*_a^(1/2))^(2/3)-6^
(1/3)),_a = x*y(x))+_C5:
ode:=diff(y(x),x) = -1/12/x^2*6^(1/3)*(y(x)*(3^(1/2)*(y(x)*(27*x*y(x)-2)/x)^(1/2)-9*
y(x))*x^2)^(1/3)-1/12*y(x)/x*6^(2/3)/(y(x)*(3^(1/2)*(y(x)*(27*x*y(x)-2)/x)^(1/2
)-9*y(x))*x^2)^(1/3)-1/x*y(x)-1/2*I*3^(1/2)*(1/6/x^2*6^(1/3)*(y(x)*(3^(1/2)*(y(
x)*(27*x*y(x)-2)/x)^(1/2)-9*y(x))*x^2)^(1/3)-1/6*y(x)/x*6^(2/3)/(y(x)*(3^(1/2)*
(y(x)*(27*x*y(x)-2)/x)^(1/2)-9*y(x))*x^2)^(1/3)):
verify_it(sol,ode,y(x)):

sol:=ln(y)-_C6+Intat(1/z/(-1-(1-I*3^(1/2))*z*6^(2/3)*(z^2*(((27*z-2)/z)^(1/2)*3^(1/2
)-9))^(1/3)/(-2*(z^2*(((27*z-2)/z)^(1/2)*3^(1/2)-9))^(2/3)+z*(3*I*3^(1/6)*2^(2/
3)-6^(2/3))*(z^2*(((27*z-2)/z)^(1/2)*3^(1/2)-9))^(1/3)+I*3^(5/6)*2^(1/3)*z+6^(1
/3)*z)),z = x(y)*y) = 0:
ode:=diff(x(y),y) = (3^(1/2)*(-3*3^(1/2)*y+(y*(27*x(y)*y-2)/x(y))^(1/2))*y*x(y)^2)^(
1/3)*x(y)^2*6^(2/3)*(I*3^(1/2)-1)/(-1/12*6^(2/3)*(I*3^(1/2)-1)*(-I*6^(2/3)*3^(1
/2)+6^(2/3)+12*(3^(1/2)*(-3*3^(1/2)*y+(y*(27*x(y)*y-2)/x(y))^(1/2))*y*x(y)^2)^(
1/3))*x(y)*y+2*(3^(1/2)*(-3*3^(1/2)*y+(y*(27*x(y)*y-2)/x(y))^(1/2))*y*x(y)^2)^(
2/3)):
verify_it(sol,ode,y(x)):

sol:=ln(y)-_C6+Intat(1/z/(-1-(1-I*3^(1/2))*z*6^(2/3)*(z^2*(((27*z-2)/z)^(1/2)*3^(1/2
)-9))^(1/3)/(-2*(z^2*(((27*z-2)/z)^(1/2)*3^(1/2)-9))^(2/3)+z*(3*I*3^(1/6)*2^(2/
3)-6^(2/3))*(z^2*(((27*z-2)/z)^(1/2)*3^(1/2)-9))^(1/3)+I*3^(5/6)*2^(1/3)*z+6^(1
/3)*z)),z = x(y)*y) = 0:
ode:=diff(x(y),y) = (3^(1/2)*(-3*3^(1/2)*y+(y*(27*x(y)*y-2)/x(y))^(1/2))*y*x(y)^2)^(
1/3)*x(y)^2*6^(2/3)*(I*3^(1/2)-1)/(-1/12*6^(2/3)*(I*3^(1/2)-1)*(-I*6^(2/3)*3^(1
/2)+6^(2/3)+12*(3^(1/2)*(-3*3^(1/2)*y+(y*(27*x(y)*y-2)/x(y))^(1/2))*y*x(y)^2)^(
1/3))*x(y)*y+2*(3^(1/2)*(-3*3^(1/2)*y+(y*(27*x(y)*y-2)/x(y))^(1/2))*y*x(y)^2)^(
2/3)):
verify_it(sol,ode,y(x)):

sol:=ln(y(x))-_C6+Intat(1/z/(-1-(1-I*3^(1/2))*z*6^(2/3)*(z^2*(((27*z-2)/z)^(1/2)*3^(
1/2)-9))^(1/3)/(-2*(z^2*(((27*z-2)/z)^(1/2)*3^(1/2)-9))^(2/3)+z*(3*I*3^(1/6)*2^
(2/3)-6^(2/3))*(z^2*(((27*z-2)/z)^(1/2)*3^(1/2)-9))^(1/3)+I*3^(5/6)*2^(1/3)*z+6
^(1/3)*z)),z = x*y(x)) = 0:
ode:=diff(y(x),x) = -1/12/x^2*6^(1/3)*(y(x)*(3^(1/2)*(y(x)*(27*x*y(x)-2)/x)^(1/2)-9*
y(x))*x^2)^(1/3)-1/12*y(x)/x*6^(2/3)/(y(x)*(3^(1/2)*(y(x)*(27*x*y(x)-2)/x)^(1/2
)-9*y(x))*x^2)^(1/3)-1/x*y(x)-1/2*I*3^(1/2)*(1/6/x^2*6^(1/3)*(y(x)*(3^(1/2)*(y(
x)*(27*x*y(x)-2)/x)^(1/2)-9*y(x))*x^2)^(1/3)-1/6*y(x)/x*6^(2/3)/(y(x)*(3^(1/2)*
(y(x)*(27*x*y(x)-2)/x)^(1/2)-9*y(x))*x^2)^(1/3)):
verify_it(sol,ode,y(x)):

sol:=ln(x)-_C7+Intat(1/z/(-1+1/4*((-I*3^(1/6)*2^(2/3)+1/3*6^(2/3))*(z^3*(-3*(27*z^2-\
2*z)^(1/2)*3^(1/2)+27*z-1))^(1/3)+z*(I*3^(1/6)*2^(2/3)+1/3*6^(2/3)+4*(z*(27*z^2
-2*z)^(1/2)*3^(1/2)-9*z^2)^(1/3)))/(z*(27*z^2-2*z)^(1/2)*3^(1/2)-9*z^2)^(1/3)/z
),z = x*y(x)) = 0:
ode:=diff(y(x),x) = -1/12/x^2*6^(1/3)*(y(x)*(3^(1/2)*(y(x)*(27*x*y(x)-2)/x)^(1/2)-9*
y(x))*x^2)^(1/3)-1/12*y(x)/x*6^(2/3)/(y(x)*(3^(1/2)*(y(x)*(27*x*y(x)-2)/x)^(1/2
)-9*y(x))*x^2)^(1/3)-1/x*y(x)+1/2*I*3^(1/2)*(1/6/x^2*6^(1/3)*(y(x)*(3^(1/2)*(y(
x)*(27*x*y(x)-2)/x)^(1/2)-9*y(x))*x^2)^(1/3)-1/6*y(x)/x*6^(2/3)/(y(x)*(3^(1/2)*
(y(x)*(27*x*y(x)-2)/x)^(1/2)-9*y(x))*x^2)^(1/3)):
verify_it(sol,ode,y(x)):

sol:=ln(x)-_C7+Intat(1/z/(-1+1/4*((-I*3^(1/6)*2^(2/3)+1/3*6^(2/3))*(z^3*(-3*(27*z^2-\
2*z)^(1/2)*3^(1/2)+27*z-1))^(1/3)+z*(I*3^(1/6)*2^(2/3)+1/3*6^(2/3)+4*(z*(27*z^2
-2*z)^(1/2)*3^(1/2)-9*z^2)^(1/3)))/(z*(27*z^2-2*z)^(1/2)*3^(1/2)-9*z^2)^(1/3)/z
),z = x*y(x)) = 0:
ode:=diff(y(x),x) = -1/12/x^2*6^(1/3)*(y(x)*(3^(1/2)*(y(x)*(27*x*y(x)-2)/x)^(1/2)-9*
y(x))*x^2)^(1/3)-1/12*y(x)/x*6^(2/3)/(y(x)*(3^(1/2)*(y(x)*(27*x*y(x)-2)/x)^(1/2
)-9*y(x))*x^2)^(1/3)-1/x*y(x)+1/2*I*3^(1/2)*(1/6/x^2*6^(1/3)*(y(x)*(3^(1/2)*(y(
x)*(27*x*y(x)-2)/x)^(1/2)-9*y(x))*x^2)^(1/3)-1/6*y(x)/x*6^(2/3)/(y(x)*(3^(1/2)*
(y(x)*(27*x*y(x)-2)/x)^(1/2)-9*y(x))*x^2)^(1/3)):
verify_it(sol,ode,y(x)):


sol:=-ln(x) = Intat(-2/_a^(1/2)*((27*_a-2)^(1/2)*3^(1/2)-9*_a^(1/2))^(1/3)/(-I*3^(5/
6)*2^(1/3)+I*3^(1/2)*((27*_a-2)^(1/2)*3^(1/2)-9*_a^(1/2))^(2/3)-((27*_a-2)^(1/2
)*3^(1/2)-9*_a^(1/2))^(2/3)-6^(1/3))*6^(2/3),_a = x*y(x))+_C9:
ode:=diff(y(x),x) = -1/12/x^2*6^(1/3)*(y(x)*(3^(1/2)*(y(x)*(27*x*y(x)-2)/x)^(1/2)-9*
y(x))*x^2)^(1/3)-1/12*y(x)/x*6^(2/3)/(y(x)*(3^(1/2)*(y(x)*(27*x*y(x)-2)/x)^(1/2
)-9*y(x))*x^2)^(1/3)-1/x*y(x)+1/2*I*3^(1/2)*(1/6/x^2*6^(1/3)*(y(x)*(3^(1/2)*(y(
x)*(27*x*y(x)-2)/x)^(1/2)-9*y(x))*x^2)^(1/3)-1/6*y(x)/x*6^(2/3)/(y(x)*(3^(1/2)*
(y(x)*(27*x*y(x)-2)/x)^(1/2)-9*y(x))*x^2)^(1/3)):
verify_it(sol,ode,y(x)):

print("DONE. Did you see any errors?");

exit();

Here is the result

>/home/me/maple2025/bin/maple A.mpl
    |\^/|     Maple 2025 (X86 64 LINUX)
._|\|   |/|_. Copyright (c) Maplesoft, a division of Waterloo Maple Inc. 2025
 \  MAPLE  /  All rights reserved. Maple is a trademark of
 <____ ____>  Waterloo Maple Inc.
      |       Type ? for help.
#run this A.mpl file using
#/home/me/maple2025/bin/maple A.mpl


> interface(version);
                               Command-line Interface, Maple 2025.1, X86 64 LINUX, Jun 12 2025, Build ID 1932578

> Physics:-Version();
The "Physics Updates" version in the MapleCloud is 1881 and is the same as the version installed in this computer, created 2025, October 7, \
    16:4 hours Pacific Time.

> SupportTools:-Version();
The Customer Support Updates version in the MapleCloud is 29 and is the same as the version installed in this computer, created June 23, 202\
    5, 10:25 hours Eastern Time.


> kernelopts(numcpus=1);
                                                                       32

> kernelopts(gcmaxthreads=1);
                                                                    numcpus

> interface(rtablesize=100);
                                                                    [10, 10]


> verify_it:=proc(sol,ode,func)
>   local the_status;
>   try
>    the_status:=timelimit(30,odetest(sol,ode,func)):
>    if the_statu<>0 then
>       the_status:=timelimit(30, (odetest(sol,ode,func) assuming integer));
>    fi;

>    if the_status<>0 then
>       the_status:=timelimit(30, (odetest(sol,ode,func) assuming integer,positive));
>    fi;

>    if the_status<>0 then
>        the_status:= timelimit(30, (odetest(sol,ode,func) assuming positive));
>    fi;

>    if the_status<>0 then
>       the_status:=timelimit(30, (odetest(sol,ode,func) assuming x<1));
>    fi;

>    if the_status<>0 then
>       timelimit(30, (odetest(sol,ode,func) assuming x>1));
>    fi;
>   catch:
>    NULL;
>   end try:
> end proc:


> sol:=ln(x)-_C1+Intat(1/z/(-1-1/6/(z*3^(1/2)*(27*z^2-2*z)^(1/2)-9*z^2)^(1/3)*(-6*z*(z
> *3^(1/2)*(27*z^2-2*z)^(1/2)-9*z^2)^(1/3)+6^(2/3)*((z^3*(-3*(27*z^2-2*z)^(1/2)*3
> ^(1/2)+27*z-1))^(1/3)+z))/z),z = x*y(x)) = 0:
> ode:=2*x^3*diff(y(x),x)^3+6*x^2*y(x)*diff(y(x),x)^2-(1-6*x*y(x))*y(x)*diff(y(x),x)+2
> *y(x)^3 = 0:
> verify_it(sol,ode,y(x)):
memory used=35.6MB, alloc=108.3MB, time=0.19
memory used=121.3MB, alloc=116.3MB, time=0.54
memory used=200.1MB, alloc=144.3MB, time=0.87
memory used=321.1MB, alloc=176.3MB, time=1.35
memory used=384.3MB, alloc=176.3MB, time=1.63
memory used=474.4MB, alloc=176.3MB, time=2.00
memory used=624.5MB, alloc=184.3MB, time=2.57
memory used=759.0MB, alloc=184.3MB, time=3.14
memory used=893.1MB, alloc=184.3MB, time=3.72


> sol:=ln(x)-_C2+Intat(1/z/(-1+1/4*((-I*3^(1/6)*2^(2/3)+1/3*6^(2/3))*(z^3*(-3*(27*z^2-\
> 2*z)^(1/2)*3^(1/2)+27*z-1))^(1/3)+z*(I*3^(1/6)*2^(2/3)+1/3*6^(2/3)+4*(z*(27*z^2
> -2*z)^(1/2)*3^(1/2)-9*z^2)^(1/3)))/(z*(27*z^2-2*z)^(1/2)*3^(1/2)-9*z^2)^(1/3)/z
> ),z = x*y(x)) = 0:
> ode:=2*x^3*diff(y(x),x)^3+6*x^2*y(x)*diff(y(x),x)^2-(1-6*x*y(x))*y(x)*diff(y(x),x)+2
> *y(x)^3 = 0:
> verify_it(sol,ode,y(x)):
memory used=1035.8MB, alloc=184.3MB, time=4.27
memory used=1169.9MB, alloc=184.3MB, time=4.83
memory used=1302.5MB, alloc=184.3MB, time=5.38
memory used=1423.7MB, alloc=184.3MB, time=5.90
memory used=1552.0MB, alloc=184.3MB, time=6.42
memory used=1667.7MB, alloc=184.3MB, time=6.93
memory used=1795.9MB, alloc=184.3MB, time=7.46
memory used=1921.7MB, alloc=184.3MB, time=7.99
memory used=2035.4MB, alloc=184.3MB, time=8.49

> sol:=ln(x)-_C3+Intat(1/z/(-1-1/4/(z*(27*z^2-2*z)^(1/2)*3^(1/2)-9*z^2)^(1/3)*((-I*3^(
> 1/6)*2^(2/3)-1/3*6^(2/3))*(z^3*(-3*(27*z^2-2*z)^(1/2)*3^(1/2)+27*z-1))^(1/3)+z*
> (I*3^(1/6)*2^(2/3)-1/3*6^(2/3)-4*(z*(27*z^2-2*z)^(1/2)*3^(1/2)-9*z^2)^(1/3)))/z
> ),z = x*y(x)) = 0:
> ode:=2*x^3*diff(y(x),x)^3+6*x^2*y(x)*diff(y(x),x)^2-(1-6*x*y(x))*y(x)*diff(y(x),x)+2
> *y(x)^3 = 0:
> verify_it(sol,ode,y(x)):
memory used=2154.0MB, alloc=184.3MB, time=9.00
memory used=2278.5MB, alloc=184.3MB, time=9.53
memory used=2399.9MB, alloc=184.3MB, time=10.04
memory used=2509.9MB, alloc=184.3MB, time=10.52
memory used=2627.5MB, alloc=184.3MB, time=11.02
memory used=2732.8MB, alloc=184.3MB, time=11.48
memory used=2849.4MB, alloc=184.3MB, time=11.97
memory used=2955.4MB, alloc=184.3MB, time=12.45
memory used=3069.4MB, alloc=184.3MB, time=12.93

> sol:=ln(x)-_C1+Intat(1/z/(-1-1/6/(z*3^(1/2)*(27*z^2-2*z)^(1/2)-9*z^2)^(1/3)*(-6*z*(z
> *3^(1/2)*(27*z^2-2*z)^(1/2)-9*z^2)^(1/3)+6^(2/3)*((z^3*(-3*(27*z^2-2*z)^(1/2)*3
> ^(1/2)+27*z-1))^(1/3)+z))/z),z = x*y(x)) = 0:
> ode:=2*x^3*diff(y(x),x)^3+6*x^2*y(x)*diff(y(x),x)^2-(1-6*x*y(x))*y(x)*diff(y(x),x)+2
> *y(x)^3 = 0:
memory used=3173.5MB, alloc=216.3MB, time=13.41
> verify_it(sol,ode,y(x)):
memory used=3322.2MB, alloc=216.3MB, time=14.05
memory used=3466.2MB, alloc=216.3MB, time=14.68
memory used=3605.1MB, alloc=216.3MB, time=15.29
memory used=3743.9MB, alloc=216.3MB, time=15.89
memory used=3882.0MB, alloc=216.3MB, time=16.51

> sol:=ln(x)-_C2+Intat(1/z/(-1+1/4*((-I*3^(1/6)*2^(2/3)+1/3*6^(2/3))*(z^3*(-3*(27*z^2-\
> 2*z)^(1/2)*3^(1/2)+27*z-1))^(1/3)+z*(I*3^(1/6)*2^(2/3)+1/3*6^(2/3)+4*(z*(27*z^2
> -2*z)^(1/2)*3^(1/2)-9*z^2)^(1/3)))/(z*(27*z^2-2*z)^(1/2)*3^(1/2)-9*z^2)^(1/3)/z
> ),z = x*y(x)) = 0:
> ode:=2*x^3*diff(y(x),x)^3+6*x^2*y(x)*diff(y(x),x)^2-(1-6*x*y(x))*y(x)*diff(y(x),x)+2
> *y(x)^3 = 0:
> verify_it(sol,ode,y(x)):
memory used=4029.8MB, alloc=216.3MB, time=17.11
memory used=4159.8MB, alloc=216.3MB, time=17.70
memory used=4299.4MB, alloc=216.3MB, time=18.29
memory used=4434.6MB, alloc=216.3MB, time=18.86
memory used=4557.8MB, alloc=216.3MB, time=19.42
memory used=4701.2MB, alloc=248.3MB, time=20.00

> sol:=ln(x)-_C3+Intat(1/z/(-1-1/4/(z*(27*z^2-2*z)^(1/2)*3^(1/2)-9*z^2)^(1/3)*((-I*3^(
> 1/6)*2^(2/3)-1/3*6^(2/3))*(z^3*(-3*(27*z^2-2*z)^(1/2)*3^(1/2)+27*z-1))^(1/3)+z*
> (I*3^(1/6)*2^(2/3)-1/3*6^(2/3)-4*(z*(27*z^2-2*z)^(1/2)*3^(1/2)-9*z^2)^(1/3)))/z
> ),z = x*y(x)) = 0:
> ode:=2*x^3*diff(y(x),x)^3+6*x^2*y(x)*diff(y(x),x)^2-(1-6*x*y(x))*y(x)*diff(y(x),x)+2
> *y(x)^3 = 0:
> verify_it(sol,ode,y(x)):
memory used=4863.9MB, alloc=248.3MB, time=20.70
memory used=5031.5MB, alloc=248.3MB, time=21.41
memory used=5195.2MB, alloc=248.3MB, time=22.11
memory used=5346.8MB, alloc=248.3MB, time=22.76
memory used=5505.1MB, alloc=248.3MB, time=23.42
memory used=5662.7MB, alloc=248.3MB, time=24.09
memory used=5819.2MB, alloc=248.3MB, time=24.76

> sol:=ln(x)-_C1+Intat(1/z/(-1-1/6*(-6*z*(z*3^(1/2)*(27*z^2-2*z)^(1/2)-9*z^2)^(1/3)+6^
> (2/3)*((z^3*(-3*(27*z^2-2*z)^(1/2)*3^(1/2)+27*z-1))^(1/3)+z))/(z*3^(1/2)*(27*z^
> 2-2*z)^(1/2)-9*z^2)^(1/3)/z),z = x*y(x)) = 0:
> ode:=diff(y(x),x) = 1/6/x^2*6^(1/3)*(y(x)*(3^(1/2)*(y(x)*(27*x*y(x)-2)/x)^(1/2)-9*y(
> x))*x^2)^(1/3)+1/6*y(x)/x*6^(2/3)/(y(x)*(3^(1/2)*(y(x)*(27*x*y(x)-2)/x)^(1/2)-9
> *y(x))*x^2)^(1/3)-1/x*y(x):
> verify_it(sol,ode,y(x)):
memory used=5967.8MB, alloc=248.3MB, time=25.44
memory used=6122.7MB, alloc=248.3MB, time=26.17
memory used=6282.9MB, alloc=280.3MB, time=26.88
memory used=6458.2MB, alloc=280.3MB, time=27.67
memory used=6632.0MB, alloc=280.3MB, time=28.47
memory used=6824.1MB, alloc=280.3MB, time=29.31

> sol:=ln(x)-_C1+Intat(1/z/(-1-1/6*(-6*z*(z*3^(1/2)*(27*z^2-2*z)^(1/2)-9*z^2)^(1/3)+6^
> (2/3)*((z^3*(-3*(27*z^2-2*z)^(1/2)*3^(1/2)+27*z-1))^(1/3)+z))/(z*3^(1/2)*(27*z^
> 2-2*z)^(1/2)-9*z^2)^(1/3)/z),z = x*y(x)) = 0:
> ode:=diff(y(x),x) = 1/6/x^2*6^(1/3)*(y(x)*(3^(1/2)*(y(x)*(27*x*y(x)-2)/x)^(1/2)-9*y(
> x))*x^2)^(1/3)+1/6*y(x)/x*6^(2/3)/(y(x)*(3^(1/2)*(y(x)*(27*x*y(x)-2)/x)^(1/2)-9
> *y(x))*x^2)^(1/3)-1/x*y(x):
> verify_it(sol,ode,y(x)):
memory used=6997.3MB, alloc=280.3MB, time=30.11
memory used=7185.8MB, alloc=280.3MB, time=30.94
memory used=7352.2MB, alloc=280.3MB, time=31.70
memory used=7511.5MB, alloc=280.3MB, time=32.44
memory used=7691.1MB, alloc=280.3MB, time=33.23


> sol:=Intat(1/(6^(1/3)*tau+(-3^(1/2)*(3*3^(1/2)*tau-(tau*(27*tau-2))^(1/2))*tau)^(2/3
> ))*(-3^(1/2)*(3*3^(1/2)*tau-(tau*(27*tau-2))^(1/2))*tau)^(1/3),tau = x*y(x)) =
> 6^(1/3)*ln(x^(1/6))+_C2:
> ode:=diff(y(x),x) = 1/6/x^2*6^(1/3)*(y(x)*(3^(1/2)*(y(x)*(27*x*y(x)-2)/x)^(1/2)-9*y(
> x))*x^2)^(1/3)+1/6*y(x)/x*6^(2/3)/(y(x)*(3^(1/2)*(y(x)*(27*x*y(x)-2)/x)^(1/2)-9
> *y(x))*x^2)^(1/3)-1/x*y(x):
> verify_it(sol,ode,y(x)):
memory used=7852.5MB, alloc=312.3MB, time=33.99
memory used=8061.4MB, alloc=312.3MB, time=34.94
memory used=8272.3MB, alloc=312.3MB, time=35.84


> sol:=ln(x)-_C3+Intat(1/z/(-1-1/4*((-I*3^(1/6)*2^(2/3)-1/3*6^(2/3))*(z^3*(-3*3^(1/2)*
> (27*z^2-2*z)^(1/2)+27*z-1))^(1/3)+z*(I*3^(1/6)*2^(2/3)-1/3*6^(2/3)-4*(z*3^(1/2)
> *(27*z^2-2*z)^(1/2)-9*z^2)^(1/3)))/(z*3^(1/2)*(27*z^2-2*z)^(1/2)-9*z^2)^(1/3)/z
> ),z = x*y(x)) = 0:
> ode:=diff(y(x),x) = -1/12/x^2*6^(1/3)*(y(x)*(3^(1/2)*(y(x)*(27*x*y(x)-2)/x)^(1/2)-9*
> y(x))*x^2)^(1/3)-1/12*y(x)/x*6^(2/3)/(y(x)*(3^(1/2)*(y(x)*(27*x*y(x)-2)/x)^(1/2
> )-9*y(x))*x^2)^(1/3)-1/x*y(x)-1/2*I*3^(1/2)*(1/6/x^2*6^(1/3)*(y(x)*(3^(1/2)*(y(
> x)*(27*x*y(x)-2)/x)^(1/2)-9*y(x))*x^2)^(1/3)-1/6*y(x)/x*6^(2/3)/(y(x)*(3^(1/2)*
> (y(x)*(27*x*y(x)-2)/x)^(1/2)-9*y(x))*x^2)^(1/3)):
> verify_it(sol,ode,y(x)):
memory used=8467.0MB, alloc=312.3MB, time=36.70
memory used=8678.4MB, alloc=312.3MB, time=37.59
memory used=8886.0MB, alloc=344.3MB, time=38.46
memory used=9099.1MB, alloc=344.3MB, time=39.43
memory used=9317.0MB, alloc=344.3MB, time=40.39
memory used=9549.3MB, alloc=344.3MB, time=41.36

> sol:=ln(x)-_C3+Intat(1/z/(-1-1/4*((-I*3^(1/6)*2^(2/3)-1/3*6^(2/3))*(z^3*(-3*3^(1/2)*
> (27*z^2-2*z)^(1/2)+27*z-1))^(1/3)+z*(I*3^(1/6)*2^(2/3)-1/3*6^(2/3)-4*(z*3^(1/2)
> *(27*z^2-2*z)^(1/2)-9*z^2)^(1/3)))/(z*3^(1/2)*(27*z^2-2*z)^(1/2)-9*z^2)^(1/3)/z
> ),z = x*y(x)) = 0:
> ode:=diff(y(x),x) = -1/12/x^2*6^(1/3)*(y(x)*(3^(1/2)*(y(x)*(27*x*y(x)-2)/x)^(1/2)-9*
> y(x))*x^2)^(1/3)-1/12*y(x)/x*6^(2/3)/(y(x)*(3^(1/2)*(y(x)*(27*x*y(x)-2)/x)^(1/2
> )-9*y(x))*x^2)^(1/3)-1/x*y(x)-1/2*I*3^(1/2)*(1/6/x^2*6^(1/3)*(y(x)*(3^(1/2)*(y(
> x)*(27*x*y(x)-2)/x)^(1/2)-9*y(x))*x^2)^(1/3)-1/6*y(x)/x*6^(2/3)/(y(x)*(3^(1/2)*
> (y(x)*(27*x*y(x)-2)/x)^(1/2)-9*y(x))*x^2)^(1/3)):
> verify_it(sol,ode,y(x)):
memory used=9758.9MB, alloc=344.3MB, time=42.33
memory used=9986.7MB, alloc=344.3MB, time=43.29
memory used=10213.4MB, alloc=376.3MB, time=44.25
memory used=10438.1MB, alloc=376.3MB, time=45.26
memory used=10674.2MB, alloc=376.3MB, time=46.31
memory used=10939.1MB, alloc=376.3MB, time=47.36

> sol:=-ln(x) = Intat(-(1+I*3^(1/2))*(-(27*_a-2)^(1/2)*3^(1/2)+9*_a^(1/2))^(1/3)*6^(2/
> 3)/_a^(1/2)/(I*3^(5/6)*2^(1/3)+2*(-(27*_a-2)^(1/2)*3^(1/2)+9*_a^(1/2))^(2/3)-6^
> (1/3)),_a = x*y(x))+_C5:
> ode:=diff(y(x),x) = -1/12/x^2*6^(1/3)*(y(x)*(3^(1/2)*(y(x)*(27*x*y(x)-2)/x)^(1/2)-9*
> y(x))*x^2)^(1/3)-1/12*y(x)/x*6^(2/3)/(y(x)*(3^(1/2)*(y(x)*(27*x*y(x)-2)/x)^(1/2
> )-9*y(x))*x^2)^(1/3)-1/x*y(x)-1/2*I*3^(1/2)*(1/6/x^2*6^(1/3)*(y(x)*(3^(1/2)*(y(
> x)*(27*x*y(x)-2)/x)^(1/2)-9*y(x))*x^2)^(1/3)-1/6*y(x)/x*6^(2/3)/(y(x)*(3^(1/2)*
> (y(x)*(27*x*y(x)-2)/x)^(1/2)-9*y(x))*x^2)^(1/3)):
> verify_it(sol,ode,y(x)):
memory used=11157.9MB, alloc=376.3MB, time=48.37
memory used=11397.1MB, alloc=376.3MB, time=49.36
memory used=11635.9MB, alloc=376.3MB, time=50.33
memory used=11843.8MB, alloc=376.3MB, time=51.27
memory used=12045.3MB, alloc=408.3MB, time=52.21
memory used=12325.2MB, alloc=408.3MB, time=53.28
memory used=12596.4MB, alloc=408.3MB, time=54.33

> sol:=ln(y)-_C6+Intat(1/z/(-1-(1-I*3^(1/2))*z*6^(2/3)*(z^2*(((27*z-2)/z)^(1/2)*3^(1/2
> )-9))^(1/3)/(-2*(z^2*(((27*z-2)/z)^(1/2)*3^(1/2)-9))^(2/3)+z*(3*I*3^(1/6)*2^(2/
> 3)-6^(2/3))*(z^2*(((27*z-2)/z)^(1/2)*3^(1/2)-9))^(1/3)+I*3^(5/6)*2^(1/3)*z+6^(1
> /3)*z)),z = x(y)*y) = 0:
> ode:=diff(x(y),y) = (3^(1/2)*(-3*3^(1/2)*y+(y*(27*x(y)*y-2)/x(y))^(1/2))*y*x(y)^2)^(
> 1/3)*x(y)^2*6^(2/3)*(I*3^(1/2)-1)/(-1/12*6^(2/3)*(I*3^(1/2)-1)*(-I*6^(2/3)*3^(1
> /2)+6^(2/3)+12*(3^(1/2)*(-3*3^(1/2)*y+(y*(27*x(y)*y-2)/x(y))^(1/2))*y*x(y)^2)^(
> 1/3))*x(y)*y+2*(3^(1/2)*(-3*3^(1/2)*y+(y*(27*x(y)*y-2)/x(y))^(1/2))*y*x(y)^2)^(
> 2/3)):
> verify_it(sol,ode,y(x)):

> sol:=ln(y)-_C6+Intat(1/z/(-1-(1-I*3^(1/2))*z*6^(2/3)*(z^2*(((27*z-2)/z)^(1/2)*3^(1/2
> )-9))^(1/3)/(-2*(z^2*(((27*z-2)/z)^(1/2)*3^(1/2)-9))^(2/3)+z*(3*I*3^(1/6)*2^(2/
> 3)-6^(2/3))*(z^2*(((27*z-2)/z)^(1/2)*3^(1/2)-9))^(1/3)+I*3^(5/6)*2^(1/3)*z+6^(1
> /3)*z)),z = x(y)*y) = 0:
> ode:=diff(x(y),y) = (3^(1/2)*(-3*3^(1/2)*y+(y*(27*x(y)*y-2)/x(y))^(1/2))*y*x(y)^2)^(
> 1/3)*x(y)^2*6^(2/3)*(I*3^(1/2)-1)/(-1/12*6^(2/3)*(I*3^(1/2)-1)*(-I*6^(2/3)*3^(1
> /2)+6^(2/3)+12*(3^(1/2)*(-3*3^(1/2)*y+(y*(27*x(y)*y-2)/x(y))^(1/2))*y*x(y)^2)^(
> 1/3))*x(y)*y+2*(3^(1/2)*(-3*3^(1/2)*y+(y*(27*x(y)*y-2)/x(y))^(1/2))*y*x(y)^2)^(
> 2/3)):
> verify_it(sol,ode,y(x)):

> sol:=ln(y(x))-_C6+Intat(1/z/(-1-(1-I*3^(1/2))*z*6^(2/3)*(z^2*(((27*z-2)/z)^(1/2)*3^(
> 1/2)-9))^(1/3)/(-2*(z^2*(((27*z-2)/z)^(1/2)*3^(1/2)-9))^(2/3)+z*(3*I*3^(1/6)*2^
> (2/3)-6^(2/3))*(z^2*(((27*z-2)/z)^(1/2)*3^(1/2)-9))^(1/3)+I*3^(5/6)*2^(1/3)*z+6
> ^(1/3)*z)),z = x*y(x)) = 0:
> ode:=diff(y(x),x) = -1/12/x^2*6^(1/3)*(y(x)*(3^(1/2)*(y(x)*(27*x*y(x)-2)/x)^(1/2)-9*
> y(x))*x^2)^(1/3)-1/12*y(x)/x*6^(2/3)/(y(x)*(3^(1/2)*(y(x)*(27*x*y(x)-2)/x)^(1/2
> )-9*y(x))*x^2)^(1/3)-1/x*y(x)-1/2*I*3^(1/2)*(1/6/x^2*6^(1/3)*(y(x)*(3^(1/2)*(y(
> x)*(27*x*y(x)-2)/x)^(1/2)-9*y(x))*x^2)^(1/3)-1/6*y(x)/x*6^(2/3)/(y(x)*(3^(1/2)*
> (y(x)*(27*x*y(x)-2)/x)^(1/2)-9*y(x))*x^2)^(1/3)):
> verify_it(sol,ode,y(x)):
memory used=12834.3MB, alloc=408.3MB, time=55.38
memory used=13093.0MB, alloc=408.3MB, time=56.51
memory used=13325.7MB, alloc=440.3MB, time=57.54
memory used=13576.1MB, alloc=440.3MB, time=58.67
memory used=13834.9MB, alloc=440.3MB, time=59.79
memory used=14096.1MB, alloc=440.3MB, time=60.95

> sol:=ln(x)-_C7+Intat(1/z/(-1+1/4*((-I*3^(1/6)*2^(2/3)+1/3*6^(2/3))*(z^3*(-3*(27*z^2-\
> 2*z)^(1/2)*3^(1/2)+27*z-1))^(1/3)+z*(I*3^(1/6)*2^(2/3)+1/3*6^(2/3)+4*(z*(27*z^2
> -2*z)^(1/2)*3^(1/2)-9*z^2)^(1/3)))/(z*(27*z^2-2*z)^(1/2)*3^(1/2)-9*z^2)^(1/3)/z
> ),z = x*y(x)) = 0:
> ode:=diff(y(x),x) = -1/12/x^2*6^(1/3)*(y(x)*(3^(1/2)*(y(x)*(27*x*y(x)-2)/x)^(1/2)-9*
> y(x))*x^2)^(1/3)-1/12*y(x)/x*6^(2/3)/(y(x)*(3^(1/2)*(y(x)*(27*x*y(x)-2)/x)^(1/2
> )-9*y(x))*x^2)^(1/3)-1/x*y(x)+1/2*I*3^(1/2)*(1/6/x^2*6^(1/3)*(y(x)*(3^(1/2)*(y(
> x)*(27*x*y(x)-2)/x)^(1/2)-9*y(x))*x^2)^(1/3)-1/6*y(x)/x*6^(2/3)/(y(x)*(3^(1/2)*
> (y(x)*(27*x*y(x)-2)/x)^(1/2)-9*y(x))*x^2)^(1/3)):
> verify_it(sol,ode,y(x)):
memory used=14339.1MB, alloc=440.3MB, time=62.07
memory used=14599.6MB, alloc=440.3MB, time=63.21
memory used=14905.7MB, alloc=504.3MB, time=64.42
memory used=15179.6MB, alloc=488.3MB, time=65.73
memory used=15487.1MB, alloc=488.3MB, time=67.03

> sol:=ln(x)-_C7+Intat(1/z/(-1+1/4*((-I*3^(1/6)*2^(2/3)+1/3*6^(2/3))*(z^3*(-3*(27*z^2-\
> 2*z)^(1/2)*3^(1/2)+27*z-1))^(1/3)+z*(I*3^(1/6)*2^(2/3)+1/3*6^(2/3)+4*(z*(27*z^2
> -2*z)^(1/2)*3^(1/2)-9*z^2)^(1/3)))/(z*(27*z^2-2*z)^(1/2)*3^(1/2)-9*z^2)^(1/3)/z
> ),z = x*y(x)) = 0:
> ode:=diff(y(x),x) = -1/12/x^2*6^(1/3)*(y(x)*(3^(1/2)*(y(x)*(27*x*y(x)-2)/x)^(1/2)-9*
> y(x))*x^2)^(1/3)-1/12*y(x)/x*6^(2/3)/(y(x)*(3^(1/2)*(y(x)*(27*x*y(x)-2)/x)^(1/2
> )-9*y(x))*x^2)^(1/3)-1/x*y(x)+1/2*I*3^(1/2)*(1/6/x^2*6^(1/3)*(y(x)*(3^(1/2)*(y(
> x)*(27*x*y(x)-2)/x)^(1/2)-9*y(x))*x^2)^(1/3)-1/6*y(x)/x*6^(2/3)/(y(x)*(3^(1/2)*
> (y(x)*(27*x*y(x)-2)/x)^(1/2)-9*y(x))*x^2)^(1/3)):
> verify_it(sol,ode,y(x)):
memory used=15758.8MB, alloc=488.3MB, time=68.34
memory used=16065.9MB, alloc=520.3MB, time=69.68
memory used=16378.3MB, alloc=520.3MB, time=71.08
memory used=16680.5MB, alloc=520.3MB, time=72.47


> sol:=-ln(x) = Intat(-2/_a^(1/2)*((27*_a-2)^(1/2)*3^(1/2)-9*_a^(1/2))^(1/3)/(-I*3^(5/
> 6)*2^(1/3)+I*3^(1/2)*((27*_a-2)^(1/2)*3^(1/2)-9*_a^(1/2))^(2/3)-((27*_a-2)^(1/2
> )*3^(1/2)-9*_a^(1/2))^(2/3)-6^(1/3))*6^(2/3),_a = x*y(x))+_C9:
> ode:=diff(y(x),x) = -1/12/x^2*6^(1/3)*(y(x)*(3^(1/2)*(y(x)*(27*x*y(x)-2)/x)^(1/2)-9*
> y(x))*x^2)^(1/3)-1/12*y(x)/x*6^(2/3)/(y(x)*(3^(1/2)*(y(x)*(27*x*y(x)-2)/x)^(1/2
> )-9*y(x))*x^2)^(1/3)-1/x*y(x)+1/2*I*3^(1/2)*(1/6/x^2*6^(1/3)*(y(x)*(3^(1/2)*(y(
> x)*(27*x*y(x)-2)/x)^(1/2)-9*y(x))*x^2)^(1/3)-1/6*y(x)/x*6^(2/3)/(y(x)*(3^(1/2)*
> (y(x)*(27*x*y(x)-2)/x)^(1/2)-9*y(x))*x^2)^(1/3)):
> verify_it(sol,ode,y(x)):
memory used=16982.9MB, alloc=520.3MB, time=73.86
memory used=17292.8MB, alloc=520.3MB, time=75.22
memory used=17593.5MB, alloc=520.3MB, time=76.51
memory used=17860.3MB, alloc=552.3MB, time=77.77
memory used=18212.4MB, alloc=552.3MB, time=79.18
memory used=18534.1MB, alloc=552.3MB, time=80.58

> print("DONE. Did you see any errors?");
                                                        "DONE. Did you see any errors?"


> exit();
                                                                     exit()

> quit
memory used=18554.9MB, alloc=552.3MB, time=80.69

You see, no error.

 

Has anyone had any success in turning off the scrollable matrix feature on Mac? I found the post

 https://www.mapleprimes.com/questions/238061-How-To-Disable-The-New-Scrollable-Matrices

and tried to follow the steps outlined by Acer, but I cannot get it to work. Specifically, I greated a preference file at the location:

 //Users/$USER/Library/Preferences/Maple/<version>/Maple preferences which has the statement 

ScrollableMathTableOutput=false

Any success stories, or tips, will be greatly appreciated. 

Thanks. 

I want to ask a question, but I cannot submit it using the link below. I tried several times, but it didn’t work. I wrote it like this, but I didn’t get the desired answer.

http://www.mapleprimes.com/questions/231499-Changing-The-Variables-

NULL

restart:
with(PDEtools):
tr1:={x=xi- lambda*t - delta,u(x,t)=Theta(xi) };


PDE := diff(u(x,t),t) + diff(u(x,t),x) + alpha*u(x,t)^2*diff(u(x,t),x)
      + beta*diff(u(x,t), t, x$2);

ode := dchange(tr1,PDE,[xi,Theta(xi)]);

{x = -lambda*t-delta+xi, u(x, t) = Theta(xi)}

 

diff(u(x, t), t)+diff(u(x, t), x)+alpha*u(x, t)^2*(diff(u(x, t), x))+beta*(diff(diff(diff(u(x, t), t), x), x))

 

diff(Theta(xi), xi)+alpha*Theta(xi)^2*(diff(Theta(xi), xi))

(1)

NULL NULL

Download 963.mw

Hi,

I want to solve the equation shown in the image, along with its given conditions, using Maple and obtain the same results as in the image, but it does not work. Could you please help me?

NULL

restart:
interface(showassumed = 0):


df := diff(w(xi), xi) = rho + eta*w(xi)^2:

 

# Condition (1): rho * eta>0,
assume(rho * eta>0);

w1 := dsolve([df, w(0)=0]);

w(xi) = tan(xi*(rho*eta)^(1/2))*(rho*eta)^(1/2)/eta

(1)
 

 

Download 852.mw

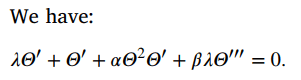
Although several similar problems were asked many years ago (see, e.g., the section “Formal linear algebra” here), there appears to be no new progress so far. It is said that such functionalities exists in the Physics package, but I cannot find any corresponding examples. 
In short, can Maple at present calculate these examples in terms of symbolic array constructs completely automatically?

residue(z^3*cos(1/(z - 2)), z = 2);

                  3       1
         residue(z  cos(-----), z = 2)
                        z - 2

l notice the help document  asks me to increse the n,but the n of essential singularity is infinity

I wrote a simple expand command in Maple - expand(cos((u - 2*k)*x))

only to get the result

2*cos(x*u)*cos(x*k)^2 + 2*sin(x*u)*sin(x*k)*cos(x*k) - cos(x*u)

The presence of a squared term seems to indicate a bug??

I need to compute complicated numerical integral, and my Maple integration does not produce very stable results. Is the a way to do that on line? 

In the below I had to add the assumption x>=0 to get simplifications. Am I wrong with my interpretation that the other assumptions should have been sufficient?

We are looking for the smallest natural number n with the property that both the digit sum Q(n) of the number n and the digit sum Q(n + 1) of the successor of n are divisible by 5.

1 2 3 4 5 6 7 Last Page 1 of 2227