Alfred_F

390 Reputation

9 Badges

1 years, 37 days

MaplePrimes Activity


These are replies submitted by Alfred_F

@sand15 

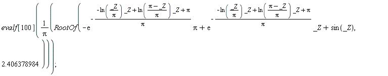
...ow can the cumbersome numerical terms in the solution y(x) be converted to floating-point numbers?

@sand15 

... A direct hit, that's it.

@Alfred_F 

With my previous post, I wanted to point out that there is a problem with the uniqueness of solutions. A closer look requires some theory:
Without the initial value y'(0)=0, the differential equation only satisfies the assumption of Picard's theorem... via the existence of a general solution. However, the uniqueness of a specific solution under the given "unusual" initial condition is not governed by the theorems known to me. The uniqueness of the solution (given the proven existence of the general solution) is therefore always a special problem in such cases. Since I am unfamiliar with the Maple algorithm for symbolically determining ODE solutions, I suspect this is the reason for the different solution behavior with the "implicit" option.

@janhardo 

According to the problem, the initial value is y'(0)=0. Inserting this into the ODE reveals that the ODE does not allow a computable y(0) for x=0. At x=0, any real ordinate y(0) is possible, since the identity 0=0 is always satisfied.

The attached file shows that the term on the left side of the equation was transformed into an equivalent sum of squares—using pen and paper and without "CompleteSquare." How should "CompleteSquare" be used to display the same result?

 

419*x^2+116*x*y-426*x*z+78*y^2-142*y*z+133*z^2-1604*x-682*y+1086*z+2306 = 0

419*x^2+116*x*y-426*x*z+78*y^2-142*y*z+133*z^2-1604*x-682*y+1086*z+2306 = 0

(1)
 

 

The equation to be solved is nothing more than:

 

(3*x+5*y-4*z-24)^2+(17*x-2*y-6*z-19)^2+(11*x+7*y-9*z-37)^2 = 0

(3*x+5*y-4*z-24)^2+(17*x-2*y-6*z-19)^2+(11*x+7*y-9*z-37)^2 = 0

(2)

NULL

Download Diophant2.mw

@vv 

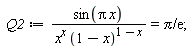
And the "CompleteSquare" command in particular interests me a lot. I failed at it and chose a different approach. What does f look like after executing it? How does Maple transform a general quadratic form in the variables x, y, and z into the sum of squares? What is the result? This transformation is the trick (I got the result another way). Is there a principal axis transformation in Maple?
The problem can also be solved as a minimum problem.

@Kitonum 

thank You.

@Kitonum How does Maple check the accuracy of satisfying the equation - is it done exactly symbolically or numerically with high precision?

@dharr 

It works. Now I can edit my ancient MC14 files in Maple much more conveniently.

@acer 

... and how is the last plot animated for monotonically increasing t?

@dharr  @ Kitonum

Using the last plot command in the attached file, I would like to plot a parameter-dependent set of points (curve (x;y)). I'm asking for some advice.test.mw

restart

eq1 := diff(r(t), t)+1+cos(`ϕ`(t)) = 0; eq2 := diff(`ϕ`(t), t)+1-sin(`ϕ`(t))/r(t) = 0

diff(r(t), t)+1+cos(varphi(t)) = 0

 

diff(varphi(t), t)+1-sin(varphi(t))/r(t) = 0

(1)

NULL

ics := r(0) = 2.0, `ϕ`(0) = Pi/(1.5)

r(0) = 2.0, varphi(0) = 2.094395103

(2)

soln := dsolve({eq1, eq2, ics}, {r(t), `ϕ`(t)}, numeric, start = 0, range = 0 .. 20)

proc (x_rkf45) local _res, _dat, _vars, _solnproc, _xout, _ndsol, _pars, _n, _i; option `Copyright (c) 2000 by Waterloo Maple Inc. All rights reserved.`; if 1 < nargs then error "invalid input: too many arguments" end if; _EnvDSNumericSaveDigits := Digits; Digits := 15; if _EnvInFsolve = true then _xout := evalf[_EnvDSNumericSaveDigits](x_rkf45) else _xout := evalf(x_rkf45) end if; _dat := Array(1..4, {(1) = proc (_xin) local _xout, _dtbl, _dat, _vmap, _x0, _y0, _val, _dig, _n, _ne, _nd, _nv, _pars, _ini, _par, _i, _j, _k, _src; option `Copyright (c) 2002 by Waterloo Maple Inc. All rights reserved.`; table( [( "complex" ) = false, ( "left" ) = 0., ( "right" ) = 20. ] ) _xout := _xin; _pars := []; _dtbl := array( 1 .. 4, [( 1 ) = (array( 1 .. 28, [( 1 ) = (datatype = float[8], order = C_order, storage = rectangular), ( 2 ) = (datatype = float[8], order = C_order, storage = rectangular), ( 3 ) = ([0, 0, 0, Array(1..0, 1..2, {}, datatype = float[8], order = C_order)]), ( 4 ) = (Array(1..65, {(1) = 2, (2) = 2, (3) = 0, (4) = 0, (5) = 0, (6) = 0, (7) = 1, (8) = 0, (9) = 0, (10) = 1, (11) = 0, (12) = 0, (13) = 0, (14) = 0, (15) = 0, (16) = 0, (17) = 0, (18) = 1, (19) = 30000, (20) = 0, (21) = 0, (22) = 1, (23) = 4, (24) = 0, (25) = 1, (26) = 15, (27) = 1, (28) = 0, (29) = 1, (30) = 3, (31) = 3, (32) = 0, (33) = 1, (34) = 0, (35) = 0, (36) = 0, (37) = 0, (38) = 0, (39) = 0, (40) = 0, (41) = 0, (42) = 0, (43) = 1, (44) = 0, (45) = 0, (46) = 0, (47) = 0, (48) = 0, (49) = 0, (50) = 50, (51) = 1, (52) = 0, (53) = 0, (54) = 0, (55) = 0, (56) = 0, (57) = 0, (58) = 0, (59) = 10000, (60) = 0, (61) = 1000, (62) = 0, (63) = 0, (64) = -1, (65) = 0}, datatype = integer[8])), ( 5 ) = (Array(1..28, {(1) = 20.0, (2) = 0.10e-5, (3) = .0, (4) = 0.500001e-14, (5) = .0, (6) = .19535812688284548, (7) = .0, (8) = 0.10e-5, (9) = .0, (10) = .0, (11) = .0, (12) = .0, (13) = 1.0, (14) = .0, (15) = .49999999999999, (16) = .0, (17) = 1.0, (18) = 1.0, (19) = .0, (20) = .0, (21) = 1.0, (22) = 1.0, (23) = .0, (24) = .0, (25) = 0.10e-14, (26) = .0, (27) = .0, (28) = .0}, datatype = float[8], order = C_order)), ( 6 ) = (Array(1..2, {(1) = 2.0, (2) = 2.094395103}, datatype = float[8], order = C_order)), ( 7 ) = ([Array(1..4, 1..7, {(1, 1) = .0, (1, 2) = .203125, (1, 3) = .3046875, (1, 4) = .75, (1, 5) = .8125, (1, 6) = .40625, (1, 7) = .8125, (2, 1) = 0.6378173828125e-1, (2, 2) = .0, (2, 3) = .279296875, (2, 4) = .27237892150878906, (2, 5) = -0.9686851501464844e-1, (2, 6) = 0.1956939697265625e-1, (2, 7) = .5381584167480469, (3, 1) = 0.31890869140625e-1, (3, 2) = .0, (3, 3) = -.34375, (3, 4) = -.335235595703125, (3, 5) = .2296142578125, (3, 6) = .41748046875, (3, 7) = 11.480712890625, (4, 1) = 0.9710520505905151e-1, (4, 2) = .0, (4, 3) = .40350341796875, (4, 4) = 0.20297467708587646e-1, (4, 5) = -0.6054282188415527e-2, (4, 6) = -0.4770040512084961e-1, (4, 7) = .77858567237854}, datatype = float[8], order = C_order), Array(1..6, 1..6, {(1, 1) = .0, (1, 2) = .0, (1, 3) = .0, (1, 4) = .0, (1, 5) = .0, (1, 6) = 1.0, (2, 1) = .25, (2, 2) = .0, (2, 3) = .0, (2, 4) = .0, (2, 5) = .0, (2, 6) = 1.0, (3, 1) = .1875, (3, 2) = .5625, (3, 3) = .0, (3, 4) = .0, (3, 5) = .0, (3, 6) = 2.0, (4, 1) = .23583984375, (4, 2) = -.87890625, (4, 3) = .890625, (4, 4) = .0, (4, 5) = .0, (4, 6) = .2681884765625, (5, 1) = .1272735595703125, (5, 2) = -.5009765625, (5, 3) = .44921875, (5, 4) = -0.128936767578125e-1, (5, 5) = .0, (5, 6) = 0.626220703125e-1, (6, 1) = -0.927734375e-1, (6, 2) = .626220703125, (6, 3) = -.4326171875, (6, 4) = .1418304443359375, (6, 5) = -0.861053466796875e-1, (6, 6) = .3131103515625}, datatype = float[8], order = C_order), Array(1..6, {(1) = .0, (2) = .386, (3) = .21, (4) = .63, (5) = 1.0, (6) = 1.0}, datatype = float[8], order = C_order), Array(1..6, {(1) = .25, (2) = -.1043, (3) = .1035, (4) = -0.362e-1, (5) = .0, (6) = .0}, datatype = float[8], order = C_order), Array(1..6, 1..5, {(1, 1) = .0, (1, 2) = .0, (1, 3) = .0, (1, 4) = .0, (1, 5) = .0, (2, 1) = 1.544, (2, 2) = .0, (2, 3) = .0, (2, 4) = .0, (2, 5) = .0, (3, 1) = .9466785280815533, (3, 2) = .25570116989825814, (3, 3) = .0, (3, 4) = .0, (3, 5) = .0, (4, 1) = 3.3148251870684886, (4, 2) = 2.896124015972123, (4, 3) = .9986419139977808, (4, 4) = .0, (4, 5) = .0, (5, 1) = 1.2212245092262748, (5, 2) = 6.019134481287752, (5, 3) = 12.537083329320874, (5, 4) = -.687886036105895, (5, 5) = .0, (6, 1) = 1.2212245092262748, (6, 2) = 6.019134481287752, (6, 3) = 12.537083329320874, (6, 4) = -.687886036105895, (6, 5) = 1.0}, datatype = float[8], order = C_order), Array(1..6, 1..5, {(1, 1) = .0, (1, 2) = .0, (1, 3) = .0, (1, 4) = .0, (1, 5) = .0, (2, 1) = -5.6688, (2, 2) = .0, (2, 3) = .0, (2, 4) = .0, (2, 5) = .0, (3, 1) = -2.4300933568337584, (3, 2) = -.20635991570891224, (3, 3) = .0, (3, 4) = .0, (3, 5) = .0, (4, 1) = -.10735290581452621, (4, 2) = -9.594562251021896, (4, 3) = -20.470286148096154, (4, 4) = .0, (4, 5) = .0, (5, 1) = 7.496443313968615, (5, 2) = -10.246804314641219, (5, 3) = -33.99990352819906, (5, 4) = 11.708908932061595, (5, 5) = .0, (6, 1) = 8.083246795922411, (6, 2) = -7.981132988062785, (6, 3) = -31.52159432874373, (6, 4) = 16.319305431231363, (6, 5) = -6.0588182388340535}, datatype = float[8], order = C_order), Array(1..3, 1..5, {(1, 1) = .0, (1, 2) = .0, (1, 3) = .0, (1, 4) = .0, (1, 5) = .0, (2, 1) = 10.126235083446911, (2, 2) = -7.487995877607633, (2, 3) = -34.800918615557414, (2, 4) = -7.9927717075687275, (2, 5) = 1.0251377232956207, (3, 1) = -.6762803392806898, (3, 2) = 6.087714651678606, (3, 3) = 16.43084320892463, (3, 4) = 24.767225114183653, (3, 5) = -6.5943891257167815}, datatype = float[8], order = C_order)]), ( 9 ) = ([Array(1..2, {(1) = .1, (2) = .1}, datatype = float[8], order = C_order), Array(1..2, {(1) = 0.7526042605623481e-1, (2) = 3.0660436034844807}, datatype = float[8], order = C_order), Array(1..2, {(1) = .0, (2) = .0}, datatype = float[8], order = C_order), Array(1..2, {(1) = -0.2830100132632185e-2, (2) = 0.2860156760680521e-2}, datatype = float[8], order = C_order), Array(1..2, {(1) = .0, (2) = .0}, datatype = float[8], order = C_order), Array(1..2, 1..2, {(1, 1) = .0, (1, 2) = .0, (2, 1) = .0, (2, 2) = .0}, datatype = float[8], order = C_order), Array(1..2, 1..2, {(1, 1) = .0, (1, 2) = .0, (2, 1) = .0, (2, 2) = .0}, datatype = float[8], order = C_order), Array(1..2, {(1) = .0, (2) = .0}, datatype = float[8], order = C_order), Array(1..2, 1..2, {(1, 1) = .0, (1, 2) = .0, (2, 1) = .0, (2, 2) = .0}, datatype = float[8], order = C_order), Array(1..2, 1..6, {(1, 1) = -0.2830100132632185e-2, (1, 2) = -0.28722805040864996e-2, (1, 3) = -0.28652266020250394e-2, (1, 4) = -0.2834250924762416e-2, (1, 5) = -0.28296637518538947e-2, (1, 6) = -0.28580310492229977e-2, (2, 1) = 0.2860156760680521e-2, (2, 2) = 0.29064977225434774e-2, (2, 3) = 0.2900866412635761e-2, (2, 4) = 0.2841429848231325e-2, (2, 5) = 0.2784379690961236e-2, (2, 6) = 0.28719374122381236e-2}, datatype = float[8], order = C_order), Array(1..2, {(1) = 0, (2) = 0}, datatype = integer[8]), Array(1..2, {(1) = 0.7534879699098646e-1, (2) = 3.065954146097728}, datatype = float[8], order = C_order), Array(1..2, {(1) = 0.7496663712034955e-1, (2) = 3.066340596446817}, datatype = float[8], order = C_order), Array(1..2, {(1) = 0.2548158406501244e-8, (2) = 0.4524173671249798e-6}, datatype = float[8], order = C_order), Array(1..2, {(1) = 0.7570549051984135e-1, (2) = 3.0655926259449173}, datatype = float[8], order = C_order), Array(1..2, {(1) = -0.2851065090725413e-2, (2) = 0.28788757974356205e-2}, datatype = float[8], order = C_order), Array(1..4, {(1) = .0, (2) = .0, (3) = .0, (4) = .0}, datatype = float[8], order = C_order), Array(1..2, {(1) = 0, (2) = 0}, datatype = integer[8])]), ( 8 ) = ([Array(1..2, {(1) = 2.0, (2) = 2.094395103}, datatype = float[8], order = C_order), Array(1..2, {(1) = .0, (2) = .0}, datatype = float[8], order = C_order), Array(1..2, {(1) = -.4999999994744918, (2) = -.5669872982594819}, datatype = float[8], order = C_order), 0, 0]), ( 11 ) = (Array(1..6, 0..2, {(1, 1) = .0, (1, 2) = .0, (2, 0) = .0, (2, 1) = .0, (2, 2) = .0, (3, 0) = .0, (3, 1) = .0, (3, 2) = .0, (4, 0) = .0, (4, 1) = .0, (4, 2) = .0, (5, 0) = .0, (5, 1) = .0, (5, 2) = .0, (6, 0) = .0, (6, 1) = .0, (6, 2) = .0}, datatype = float[8], order = C_order)), ( 10 ) = ([proc (N, X, Y, YP) option `[Y[1] = r(t), Y[2] = varphi(t)]`; YP[1] := -1-cos(Y[2]); YP[2] := -1+sin(Y[2])/Y[1]; 0 end proc, -1, 0, 0, 0, 0, 0, 0, 0, 0, 0, 0]), ( 13 ) = (), ( 12 ) = (), ( 15 ) = ("rkf45"), ( 14 ) = ([0, 0]), ( 18 ) = ([]), ( 19 ) = (0), ( 16 ) = ([0, 0, 0, 0, 0, 0, []]), ( 17 ) = ([proc (N, X, Y, YP) option `[Y[1] = r(t), Y[2] = varphi(t)]`; YP[1] := -1-cos(Y[2]); YP[2] := -1+sin(Y[2])/Y[1]; 0 end proc, -1, 0, 0, 0, 0, 0, 0, 0, 0, 0, 0]), ( 22 ) = (0), ( 23 ) = (0), ( 20 ) = ([]), ( 21 ) = (0), ( 27 ) = (""), ( 26 ) = (Array(1..0, {})), ( 25 ) = (Array(1..0, {})), ( 24 ) = (0), ( 28 ) = (0)  ] )), ( 3 ) = (array( 1 .. 28, [( 1 ) = (datatype = float[8], order = C_order, storage = rectangular), ( 2 ) = (datatype = float[8], order = C_order, storage = rectangular), ( 3 ) = ([0, 0, 0, Array(1..0, 1..2, {}, datatype = float[8], order = C_order)]), ( 4 ) = (Array(1..65, {(1) = 2, (2) = 2, (3) = 0, (4) = 0, (5) = 0, (6) = 0, (7) = 1, (8) = 1, (9) = 0, (10) = 1, (11) = 293, (12) = 293, (13) = 0, (14) = 0, (15) = 0, (16) = 0, (17) = 0, (18) = 547, (19) = 30000, (20) = 5, (21) = 0, (22) = 1, (23) = 4, (24) = 0, (25) = 1, (26) = 15, (27) = 1, (28) = 0, (29) = 1, (30) = 3, (31) = 3, (32) = 0, (33) = 1, (34) = 0, (35) = 0, (36) = 0, (37) = 0, (38) = 0, (39) = 0, (40) = 0, (41) = 0, (42) = 0, (43) = 1, (44) = 0, (45) = 0, (46) = 0, (47) = 0, (48) = 0, (49) = 0, (50) = 50, (51) = 1, (52) = 0, (53) = 0, (54) = 0, (55) = 0, (56) = 0, (57) = 0, (58) = 0, (59) = 10000, (60) = 0, (61) = 1000, (62) = 0, (63) = 0, (64) = -1, (65) = 0}, datatype = integer[8])), ( 5 ) = (Array(1..28, {(1) = 20.0, (2) = 0.10e-5, (3) = .268317994388223, (4) = 0.500001e-14, (5) = .0, (6) = .19535812688284548, (7) = .0, (8) = 0.10e-5, (9) = .0, (10) = .0, (11) = .0, (12) = .0, (13) = 1.0, (14) = .0, (15) = .49999999999999, (16) = .0, (17) = 1.0, (18) = 1.0, (19) = .0, (20) = .0, (21) = 1.0, (22) = 1.0, (23) = .0, (24) = .0, (25) = 0.10e-14, (26) = .0, (27) = .0, (28) = .0}, datatype = float[8], order = C_order)), ( 6 ) = (Array(1..2, {(1) = 2.0, (2) = 2.094395103}, datatype = float[8], order = C_order)), ( 7 ) = ([Array(1..4, 1..7, {(1, 1) = .0, (1, 2) = .203125, (1, 3) = .3046875, (1, 4) = .75, (1, 5) = .8125, (1, 6) = .40625, (1, 7) = .8125, (2, 1) = 0.6378173828125e-1, (2, 2) = .0, (2, 3) = .279296875, (2, 4) = .27237892150878906, (2, 5) = -0.9686851501464844e-1, (2, 6) = 0.1956939697265625e-1, (2, 7) = .5381584167480469, (3, 1) = 0.31890869140625e-1, (3, 2) = .0, (3, 3) = -.34375, (3, 4) = -.335235595703125, (3, 5) = .2296142578125, (3, 6) = .41748046875, (3, 7) = 11.480712890625, (4, 1) = 0.9710520505905151e-1, (4, 2) = .0, (4, 3) = .40350341796875, (4, 4) = 0.20297467708587646e-1, (4, 5) = -0.6054282188415527e-2, (4, 6) = -0.4770040512084961e-1, (4, 7) = .77858567237854}, datatype = float[8], order = C_order), Array(1..6, 1..6, {(1, 1) = .0, (1, 2) = .0, (1, 3) = .0, (1, 4) = .0, (1, 5) = .0, (1, 6) = 1.0, (2, 1) = .25, (2, 2) = .0, (2, 3) = .0, (2, 4) = .0, (2, 5) = .0, (2, 6) = 1.0, (3, 1) = .1875, (3, 2) = .5625, (3, 3) = .0, (3, 4) = .0, (3, 5) = .0, (3, 6) = 2.0, (4, 1) = .23583984375, (4, 2) = -.87890625, (4, 3) = .890625, (4, 4) = .0, (4, 5) = .0, (4, 6) = .2681884765625, (5, 1) = .1272735595703125, (5, 2) = -.5009765625, (5, 3) = .44921875, (5, 4) = -0.128936767578125e-1, (5, 5) = .0, (5, 6) = 0.626220703125e-1, (6, 1) = -0.927734375e-1, (6, 2) = .626220703125, (6, 3) = -.4326171875, (6, 4) = .1418304443359375, (6, 5) = -0.861053466796875e-1, (6, 6) = .3131103515625}, datatype = float[8], order = C_order), Array(1..6, {(1) = .0, (2) = .386, (3) = .21, (4) = .63, (5) = 1.0, (6) = 1.0}, datatype = float[8], order = C_order), Array(1..6, {(1) = .25, (2) = -.1043, (3) = .1035, (4) = -0.362e-1, (5) = .0, (6) = .0}, datatype = float[8], order = C_order), Array(1..6, 1..5, {(1, 1) = .0, (1, 2) = .0, (1, 3) = .0, (1, 4) = .0, (1, 5) = .0, (2, 1) = 1.544, (2, 2) = .0, (2, 3) = .0, (2, 4) = .0, (2, 5) = .0, (3, 1) = .9466785280815533, (3, 2) = .25570116989825814, (3, 3) = .0, (3, 4) = .0, (3, 5) = .0, (4, 1) = 3.3148251870684886, (4, 2) = 2.896124015972123, (4, 3) = .9986419139977808, (4, 4) = .0, (4, 5) = .0, (5, 1) = 1.2212245092262748, (5, 2) = 6.019134481287752, (5, 3) = 12.537083329320874, (5, 4) = -.687886036105895, (5, 5) = .0, (6, 1) = 1.2212245092262748, (6, 2) = 6.019134481287752, (6, 3) = 12.537083329320874, (6, 4) = -.687886036105895, (6, 5) = 1.0}, datatype = float[8], order = C_order), Array(1..6, 1..5, {(1, 1) = .0, (1, 2) = .0, (1, 3) = .0, (1, 4) = .0, (1, 5) = .0, (2, 1) = -5.6688, (2, 2) = .0, (2, 3) = .0, (2, 4) = .0, (2, 5) = .0, (3, 1) = -2.4300933568337584, (3, 2) = -.20635991570891224, (3, 3) = .0, (3, 4) = .0, (3, 5) = .0, (4, 1) = -.10735290581452621, (4, 2) = -9.594562251021896, (4, 3) = -20.470286148096154, (4, 4) = .0, (4, 5) = .0, (5, 1) = 7.496443313968615, (5, 2) = -10.246804314641219, (5, 3) = -33.99990352819906, (5, 4) = 11.708908932061595, (5, 5) = .0, (6, 1) = 8.083246795922411, (6, 2) = -7.981132988062785, (6, 3) = -31.52159432874373, (6, 4) = 16.319305431231363, (6, 5) = -6.0588182388340535}, datatype = float[8], order = C_order), Array(1..3, 1..5, {(1, 1) = .0, (1, 2) = .0, (1, 3) = .0, (1, 4) = .0, (1, 5) = .0, (2, 1) = 10.126235083446911, (2, 2) = -7.487995877607633, (2, 3) = -34.800918615557414, (2, 4) = -7.9927717075687275, (2, 5) = 1.0251377232956207, (3, 1) = -.6762803392806898, (3, 2) = 6.087714651678606, (3, 3) = 16.43084320892463, (3, 4) = 24.767225114183653, (3, 5) = -6.5943891257167815}, datatype = float[8], order = C_order)]), ( 9 ) = ([Array(1..2, {(1) = .1, (2) = .1}, datatype = float[8], order = C_order), Array(1..2, {(1) = 0.7526042605623481e-1, (2) = 3.0660436034844807}, datatype = float[8], order = C_order), Array(1..2, {(1) = .0, (2) = .0}, datatype = float[8], order = C_order), Array(1..2, {(1) = -0.2830100132632185e-2, (2) = 0.2860156760680521e-2}, datatype = float[8], order = C_order), Array(1..2, {(1) = .0, (2) = .0}, datatype = float[8], order = C_order), Array(1..2, 1..2, {(1, 1) = .0, (1, 2) = .0, (2, 1) = .0, (2, 2) = .0}, datatype = float[8], order = C_order), Array(1..2, 1..2, {(1, 1) = .0, (1, 2) = .0, (2, 1) = .0, (2, 2) = .0}, datatype = float[8], order = C_order), Array(1..2, {(1) = .0, (2) = .0}, datatype = float[8], order = C_order), Array(1..2, 1..2, {(1, 1) = .0, (1, 2) = .0, (2, 1) = .0, (2, 2) = .0}, datatype = float[8], order = C_order), Array(1..2, 1..6, {(1, 1) = -0.2830100132632185e-2, (1, 2) = -0.28722805040864996e-2, (1, 3) = -0.28652266020250394e-2, (1, 4) = -0.2834250924762416e-2, (1, 5) = -0.28296637518538947e-2, (1, 6) = -0.28580310492229977e-2, (2, 1) = 0.2860156760680521e-2, (2, 2) = 0.29064977225434774e-2, (2, 3) = 0.2900866412635761e-2, (2, 4) = 0.2841429848231325e-2, (2, 5) = 0.2784379690961236e-2, (2, 6) = 0.28719374122381236e-2}, datatype = float[8], order = C_order), Array(1..2, {(1) = 0, (2) = 0}, datatype = integer[8]), Array(1..2, {(1) = 0.7534879699098646e-1, (2) = 3.065954146097728}, datatype = float[8], order = C_order), Array(1..2, {(1) = 0.7496663712034955e-1, (2) = 3.066340596446817}, datatype = float[8], order = C_order), Array(1..2, {(1) = 0.2548158406501244e-8, (2) = 0.4524173671249798e-6}, datatype = float[8], order = C_order), Array(1..2, {(1) = 0.7570549051984135e-1, (2) = 3.0655926259449173}, datatype = float[8], order = C_order), Array(1..2, {(1) = -0.2851065090725413e-2, (2) = 0.28788757974356205e-2}, datatype = float[8], order = C_order), Array(1..4, {(1) = .0, (2) = .0, (3) = .0, (4) = .0}, datatype = float[8], order = C_order), Array(1..2, {(1) = 0, (2) = 0}, datatype = integer[8])]), ( 8 ) = ([Array(1..2, {(1) = 0.7570549051984135e-1, (2) = 3.0655926259449173}, datatype = float[8], order = C_order), Array(1..2, {(1) = .0, (2) = .0}, datatype = float[8], order = C_order), Array(1..2, {(1) = -0.2830100132632185e-2, (2) = 0.2860156760680521e-2}, datatype = float[8], order = C_order), 0, 0]), ( 11 ) = (Array(1..6, 0..2, {(1, 1) = 19.875842854070893, (1, 2) = 0.7570549051984135e-1, (2, 0) = 0.7570549051984135e-1, (2, 1) = 3.0655926259449173, (2, 2) = 19.940468092890193, (3, 0) = 19.940468092890193, (3, 1) = 0.7551940375406233e-1, (3, 2) = 3.065781261063657, (4, 0) = 3.065781261063657, (4, 1) = 20.005093331709496, (4, 2) = 0.7533423661191713e-1, (5, 0) = 0.7533423661191713e-1, (5, 1) = 3.065968890513437, (5, 2) = 20.069718570528796, (6, 0) = 20.069718570528796, (6, 1) = 0.7514998350616103e-1, (6, 2) = 3.0661553043897034}, datatype = float[8], order = C_order)), ( 10 ) = ([proc (N, X, Y, YP) option `[Y[1] = r(t), Y[2] = varphi(t)]`; YP[1] := -1-cos(Y[2]); YP[2] := -1+sin(Y[2])/Y[1]; 0 end proc, -1, 0, 0, 0, 0, 0, 0, 0, 0, 0, 0]), ( 13 ) = (), ( 12 ) = (Array(1..293, 0..2, {(1, 1) = .0, (1, 2) = 2.0, (2, 0) = 2.0, (2, 1) = 2.094395103, (2, 2) = 0.4883953172071137e-1, (3, 0) = 0.4883953172071137e-1, (3, 1) = 1.9749957636720312, (3, 2) = 2.0670025471235336, (4, 0) = 2.0670025471235336, (4, 1) = 0.9767906344142274e-1, (4, 2) = 1.9488280959770066, (5, 0) = 1.9488280959770066, (5, 1) = 2.04021084709857, (5, 2) = .1465185951621341, (6, 0) = .1465185951621341, (6, 1) = 1.9215068608366304, (6, 2) = 2.0140263347936975, (7, 0) = 2.0140263347936975, (7, 1) = .19535812688284548, (7, 2) = 1.893044054829213, (8, 0) = 1.893044054829213, (8, 1) = 1.988457425914424, (8, 2) = .280900476384457, (9, 0) = .280900476384457, (9, 1) = 1.8404843242365583, (9, 2) = 1.9451906076368206, (10, 0) = 1.9451906076368206, (10, 1) = .36644282588606847, (10, 2) = 1.7845598519772645, (11, 0) = 1.7845598519772645, (11, 1) = 1.9039191638716142, (11, 2) = .4519851753876799, (12, 0) = .4519851753876799, (12, 1) = 1.7253847367916073, (12, 2) = 1.8647415453538858, (13, 0) = 1.8647415453538858, (13, 1) = .5375275248892915, (13, 2) = 1.6630931456083156, (14, 0) = 1.6630931456083156, (14, 1) = 1.827785275008053, (14, 2) = .616075451639432, (15, 0) = .616075451639432, (15, 1) = 1.603283300376125, (15, 2) = 1.7959429678186245, (16, 0) = 1.7959429678186245, (16, 1) = .6946233783895726, (16, 2) = 1.5411171896322202, (17, 0) = 1.5411171896322202, (17, 1) = 1.7662563673049378, (17, 2) = .7731713051397131, (18, 0) = .7731713051397131, (18, 1) = 1.4767537695478887, (18, 2) = 1.7389080337794152, (19, 0) = 1.7389080337794152, (19, 1) = .8517192318898537, (19, 2) = 1.4103708331171143, (20, 0) = 1.4103708331171143, (20, 1) = 1.7141191124530415, (20, 2) = .9177358538213208, (21, 0) = .9177358538213208, (21, 1) = 1.3531616403350515, (21, 2) = 1.6954560815446786, (22, 0) = 1.6954560815446786, (22, 1) = .983752475752788, (22, 2) = 1.2948000182859192, (23, 0) = 1.2948000182859192, (23, 1) = 1.6789696037423298, (23, 2) = 1.0497690976842553, (24, 0) = 1.0497690976842553, (24, 1) = 1.235434387752726, (24, 2) = 1.664875276796809, (25, 0) = 1.664875276796809, (25, 1) = 1.1157857196157224, (25, 2) = 1.1752283323792916, (26, 0) = 1.1752283323792916, (26, 1) = 1.6534251811289784, (26, 2) = 1.17181879714737, (27, 0) = 1.17181879714737, (27, 1) = 1.1236019582656207, (27, 2) = 1.6459973906746916, (28, 0) = 1.6459973906746916, (28, 1) = 1.2278518746790175, (28, 2) = 1.0716241501398995, (29, 0) = 1.0716241501398995, (29, 1) = 1.640888665777501, (29, 2) = 1.2838849522106648, (30, 0) = 1.2838849522106648, (30, 1) = 1.0194315393350855, (30, 2) = 1.6383329167946707, (31, 0) = 1.6383329167946707, (31, 1) = 1.3399180297423123, (31, 2) = .967173884862351, (32, 0) = .967173884862351, (32, 1) = 1.63859579173605, (32, 2) = 1.3895931786245055, (33, 0) = 1.3895931786245055, (33, 1) = .9209233700331131, (33, 2) = 1.6414255181271569, (34, 0) = 1.6414255181271569, (34, 1) = 1.4392683275066989, (34, 2) = .8748784230151254, (35, 0) = .8748784230151254, (35, 1) = 1.646939265151252, (35, 2) = 1.4889434763888922, (36, 0) = 1.4889434763888922, (36, 1) = .8291788145340493, (36, 2) = 1.6553957182885823, (37, 0) = 1.6553957182885823, (37, 1) = 1.5386186252710854, (37, 2) = .7839766015575426, (38, 0) = .7839766015575426, (38, 1) = 1.667077404650224, (38, 2) = 1.5687462276863915, (39, 0) = 1.5687462276863915, (39, 1) = .7568735457220451, (39, 2) = 1.67586213435023, (40, 0) = 1.67586213435023, (40, 1) = 1.5988738301016974, (40, 2) = .7300540461536099, (41, 0) = .7300540461536099, (41, 1) = 1.6860182095468146, (41, 2) = 1.6290014325170035, (42, 0) = 1.6290014325170035, (42, 1) = .7035599816612077, (42, 2) = 1.697620293665825, (43, 0) = 1.697620293665825, (43, 1) = 1.6591290349323096, (43, 2) = .6774351893350706, (44, 0) = .6774351893350706, (44, 1) = 1.7107443248264431, (44, 2) = 1.6892566373476157, (45, 0) = 1.6892566373476157, (45, 1) = .6517254613446625, (45, 2) = 1.7254668242982154, (46, 0) = 1.7254668242982154, (46, 1) = 1.7193842397629218, (46, 2) = .6264787480696691, (47, 0) = .6264787480696691, (47, 1) = 1.7418650301879928, (47, 2) = 1.7495118421782276, (48, 0) = 1.7495118421782276, (48, 1) = .6017446545171511, (48, 2) = 1.7600130123373363, (49, 0) = 1.7600130123373363, (49, 1) = 1.7796394445935337, (49, 2) = .5775742015482379, (50, 0) = .5775742015482379, (50, 1) = 1.7799796411830302, (50, 2) = 1.8061947635665625, (51, 0) = 1.8061947635665625, (51, 1) = .5567786183444859, (51, 2) = 1.7991366433344658, (52, 0) = 1.7991366433344658, (52, 1) = 1.832750082539591, (52, 2) = .5364978626253581, (53, 0) = .5364978626253581, (53, 1) = 1.8197927195419688, (53, 2) = 1.8593054015126196, (54, 0) = 1.8593054015126196, (54, 1) = .5167682561523157, (54, 2) = 1.8419764809526942, (55, 0) = 1.8419764809526942, (55, 1) = 1.8858607204856483, (55, 2) = .49762581223390895, (56, 0) = .49762581223390895, (56, 1) = 1.8657055776358582, (56, 2) = 1.9097149107830291, (57, 0) = 1.9097149107830291, (57, 1) = .4809602717718633, (57, 2) = 1.8883435286863, (58, 0) = 1.8883435286863, (58, 1) = 1.93356910108041, (58, 2) = .4648218596764317, (59, 0) = .4648218596764317, (59, 1) = 1.9122277759833848, (59, 2) = 1.9574232913777907, (60, 0) = 1.9574232913777907, (60, 1) = .4492340389199136, (60, 2) = 1.9373409026689865, (61, 0) = 1.9373409026689865, (61, 1) = 1.9812774816751715, (61, 2) = .4342187292534649, (62, 0) = .4342187292534649, (62, 1) = 1.9636521189398293, (62, 2) = 2.004263852787264, (63, 0) = 2.004263852787264, (63, 1) = .4203101092586252, (63, 2) = 1.990098117377601, (64, 0) = 1.990098117377601, (64, 1) = 2.027250223899356, (64, 2) = .4069674582769166, (65, 0) = .4069674582769166, (65, 1) = 2.0175622542309486, (65, 2) = 2.050236595011448, (66, 0) = 2.050236595011448, (66, 1) = .3942039633751688, (66, 2) = 2.0459772536535046, (67, 0) = 2.0459772536535046, (67, 1) = 2.07322296612354, (67, 2) = .38203013565972604, (68, 0) = .38203013565972604, (68, 1) = 2.075261255402451, (68, 2) = 2.098058121270015, (69, 0) = 2.098058121270015, (69, 1) = .3695485759576045, (69, 2) = 2.107766300909261, (70, 0) = 2.107766300909261, (70, 1) = 2.1228932764164896, (70, 2) = .3577689175737098, (71, 0) = .3577689175737098, (71, 1) = 2.141033682628699, (71, 2) = 2.1477284315629643, (72, 0) = 2.1477284315629643, (72, 1) = .3466910657927155, (72, 2) = 2.174907057374285, (73, 0) = 2.174907057374285, (73, 1) = 2.1725635867094395, (73, 2) = .33631017357287435, (74, 0) = .33631017357287435, (74, 1) = 2.20921581927419, (74, 2) = 2.196849383761043, (75, 0) = 2.196849383761043, (75, 1) = .3268235884660522, (75, 2) = 2.2430115231100825, (76, 0) = 2.2430115231100825, (76, 1) = 2.221135180812647, (76, 2) = .3179799207626713, (77, 0) = .3179799207626713, (77, 1) = 2.276869570385799, (77, 2) = 2.2454209778642507, (78, 0) = 2.2454209778642507, (78, 1) = .309760915843174, (78, 2) = 2.3106091885511706, (79, 0) = 2.3106091885511706, (79, 1) = 2.2697067749158544, (79, 2) = .3021447460238304, (80, 0) = .3021447460238304, (80, 1) = 2.3440521970551167, (80, 2) = 2.2915527181738296, (81, 0) = 2.2915527181738296, (81, 1) = .2957879507637747, (81, 2) = 2.373738294552842, (82, 0) = 2.373738294552842, (82, 1) = 2.3133986614318047, (82, 2) = .28987791521959144, (83, 0) = .28987791521959144, (83, 1) = 2.402922916310279, (83, 2) = 2.3352446046897803, (84, 0) = 2.3352446046897803, (84, 1) = .28439275840127815, (84, 2) = 2.4314945706700617, (85, 0) = 2.4314945706700617, (85, 1) = 2.3570905479477555, (85, 2) = .27930964339102904, (86, 0) = .27930964339102904, (86, 1) = 2.459352718470794, (86, 2) = 2.3784374462904565, (87, 0) = 2.3784374462904565, (87, 1) = .27470836354515993, (87, 2) = 2.48579949109626, (88, 0) = 2.48579949109626, (88, 1) = 2.3997843446331575, (88, 2) = .2704459880193966, (89, 0) = .2704459880193966, (89, 1) = 2.5114073811132367, (89, 2) = 2.4211312429758585, (90, 0) = 2.4211312429758585, (90, 1) = .2665002212690166, (90, 2) = 2.5361163411219585, (91, 0) = 2.5361163411219585, (91, 1) = 2.4424781413185594, (91, 2) = .2628490736722603, (92, 0) = .2628490736722603, (92, 1) = 2.5598787740355147, (92, 2) = 2.4655186975040255, (93, 0) = 2.4655186975040255, (93, 1) = .2592140289832346, (93, 2) = 2.5844234536705066, (94, 0) = 2.5844234536705066, (94, 1) = 2.4885592536894916, (94, 2) = .25587099980250133, (95, 0) = .25587099980250133, (95, 1) = 2.6077936904799546, (95, 2) = 2.5115998098749577, (96, 0) = 2.5115998098749577, (96, 1) = .2527951328212119, (96, 2) = 2.629973224986, (97, 0) = 2.629973224986, (97, 1) = 2.5346403660604238, (97, 2) = .2499628694993035, (98, 0) = .2499628694993035, (98, 1) = 2.65095907626387, (98, 2) = 2.5628420940501604, (99, 0) = 2.5628420940501604, (99, 1) = .24679537545953073, (99, 2) = 2.6750351095459477, (100, 0) = 2.6750351095459477, (100, 1) = 2.5910438220398966, (100, 2) = .24392250354435982, (101, 0) = .24392250354435982, (101, 1) = 2.697373398401289, (101, 2) = 2.619245550029633, (102, 0) = 2.619245550029633, (102, 1) = .2413104879072591, (102, 2) = 2.7180272233793885, (103, 0) = 2.7180272233793885, (103, 1) = 2.64744727801937, (103, 2) = .2389286445261805, (104, 0) = .2389286445261805, (104, 1) = 2.737064239589553, (104, 2) = 2.6727594936393686, (105, 0) = 2.6727594936393686, (105, 1) = .23696417121057278, (105, 2) = 2.752839269706871, (106, 0) = 2.752839269706871, (106, 1) = 2.698071709259368, (106, 2) = .23514548434933286, (107, 0) = .23514548434933286, (107, 1) = 2.767437393623022, (107, 2) = 2.723383924879367, (108, 0) = 2.723383924879367, (108, 1) = .23345683386760652, (108, 2) = 2.780922628651858, (109, 0) = 2.780922628651858, (109, 1) = 2.7486961404993657, (109, 2) = .23188399060343612, (110, 0) = .23188399060343612, (110, 1) = 2.7933606874276067, (110, 2) = 2.7723273247032147, (111, 0) = 2.7723273247032147, (111, 1) = .23050891475489108, (111, 2) = 2.804086354583106, (112, 0) = 2.804086354583106, (112, 1) = 2.7959585089070638, (112, 2) = .22921466145488045, (113, 0) = .22921466145488045, (113, 1) = 2.8140104524941068, (113, 2) = 2.8195896931109132, (114, 0) = 2.8195896931109132, (114, 1) = .22799307048009754, (114, 2) = 2.8231848353211926, (115, 0) = 2.8231848353211926, (115, 1) = 2.8432208773147623, (115, 2) = .22683676390508273, (116, 0) = .22683676390508273, (116, 1) = 2.8316600886491474, (116, 2) = 2.867123504016718, (117, 0) = 2.867123504016718, (117, 1) = .2257268581341544, (117, 2) = 2.839571556576499, (118, 0) = 2.839571556576499, (118, 1) = 2.8910261307186733, (118, 2) = .22467101958629782, (119, 0) = .22467101958629782, (119, 1) = 2.8468659870111366, (119, 2) = 2.914928757420629, (120, 0) = 2.914928757420629, (120, 1) = .2236638757184451, (120, 2) = 2.853589073136975, (121, 0) = 2.853589073136975, (121, 1) = 2.938831384122585, (121, 2) = .22270057794927467, (122, 0) = .22270057794927467, (122, 1) = 2.8597843388449604, (122, 2) = 2.9634858657986514, (123, 0) = 2.9634858657986514, (123, 1) = .221748342025735, (123, 2) = 2.8656651287650265, (124, 0) = 2.8656651287650265, (124, 1) = 2.988140347474718, (124, 2) = .22083401075704298, (125, 0) = .22083401075704298, (125, 1) = 2.871070168038091, (125, 2) = 3.012794829150785, (126, 0) = 3.012794829150785, (126, 1) = .21995387131675959, (126, 2) = 2.876038628847415, (127, 0) = 2.876038628847415, (127, 1) = 3.0374493108268514, (127, 2) = .21910457742849349, (128, 0) = .21910457742849349, (128, 1) = 2.8806072512024623, (128, 2) = 3.063209778013813, (129, 0) = 3.063209778013813, (129, 1) = .21824690989336215, (129, 2) = 2.8849907978604623, (130, 0) = 2.8849907978604623, (130, 1) = 3.088970245200774, (130, 2) = .21741671014997485, (131, 0) = .21741671014997485, (131, 1) = 2.8890108286060343, (131, 2) = 3.1147307123877352, (132, 0) = 3.1147307123877352, (132, 1) = .21661133704966593, (132, 2) = 2.892700155990855, (133, 0) = 2.892700155990855, (133, 1) = 3.140491179574697, (133, 2) = .21582841336080608, (134, 0) = .21582841336080608, (134, 1) = 2.8960891958820154, (134, 2) = 3.167662415478304, (135, 0) = 3.167662415478304, (135, 1) = .21502461195403322, (135, 2) = 2.899369308622477, (136, 0) = 2.899369308622477, (136, 1) = 3.1948336513819116, (136, 2) = .21424129161169642, (137, 0) = .21424129161169642, (137, 1) = 2.90237597639576, (137, 2) = 3.222004887285519, (138, 0) = 3.222004887285519, (138, 1) = .21347654190237864, (138, 2) = 2.9051360454227293, (139, 0) = 2.9051360454227293, (139, 1) = 3.2491761231891263, (139, 2) = .21272864617370485, (140, 0) = .21272864617370485, (140, 1) = 2.9076741547466693, (140, 2) = 3.278062530345, (141, 0) = 3.278062530345, (141, 1) = .21195032144944925, (141, 2) = 2.9101541603712846, (142, 0) = 2.9101541603712846, (142, 1) = 3.306948937500874, (142, 2) = .21118775437149703, (143, 0) = .21118775437149703, (143, 1) = 2.9124324620047366, (143, 2) = 3.335835344656748, (144, 0) = 3.335835344656748, (144, 1) = .21043955106385748, (144, 2) = 2.9145304890393797, (145, 0) = 2.9145304890393797, (145, 1) = 3.364721751812622, (145, 2) = .20970446169509782, (146, 0) = .20970446169509782, (146, 1) = 2.9164677311165463, (146, 2) = 3.3956755135432513, (147, 0) = 3.3956755135432513, (147, 1) = .20893006498528155, (147, 2) = 2.918385093652395, (148, 0) = 2.918385093652395, (148, 1) = 3.426629275273881, (148, 2) = .20816830023298008, (149, 0) = .20816830023298008, (149, 1) = 2.9201567552216607, (149, 2) = 3.457583037004511, (150, 0) = 3.457583037004511, (150, 1) = .20741814582764204, (150, 2) = 2.921799394973414, (151, 0) = 2.921799394973414, (151, 1) = 3.4885367987351406, (151, 2) = .2066786878637407, (152, 0) = .2066786878637407, (152, 1) = 2.9233280500200642, (152, 2) = 3.5219524042636445, (153, 0) = 3.5219524042636445, (153, 1) = .20589149889712868, (153, 2) = 2.9248657668110214, (154, 0) = 2.9248657668110214, (154, 1) = 3.5553680097921485, (154, 2) = .20511498369186287, (155, 0) = .20511498369186287, (155, 1) = 2.9263006280395683, (155, 2) = 3.5887836153206525, (156, 0) = 3.5887836153206525, (156, 1) = .20434839344357744, (156, 2) = 2.927645226357976, (157, 0) = 2.927645226357976, (157, 1) = 3.6221992208491565, (157, 2) = .2035910593457218, (158, 0) = .2035910593457218, (158, 1) = 2.9289108180223704, (158, 2) = 3.6585655966188804, (159, 0) = 3.6585655966188804, (159, 1) = .2027766808473796, (159, 2) = 2.9302099858912, (160, 0) = 2.9302099858912, (160, 1) = 3.6949319723886047, (160, 2) = .20197193830185708, (161, 0) = .20197193830185708, (161, 1) = 2.9314379764358005, (161, 2) = 3.7312983481583286, (162, 0) = 3.7312983481583286, (162, 1) = .20117628079841618, (162, 2) = 2.9326039734259632, (163, 0) = 2.9326039734259632, (163, 1) = 3.7676647239280525, (163, 2) = .20038921578507893, (164, 0) = .20038921578507893, (164, 1) = 2.9337161194984804, (164, 2) = 3.807593388452677, (165, 0) = 3.807593388452677, (165, 1) = .19953443566874676, (165, 2) = 2.9348836228855797, (166, 0) = 2.9348836228855797, (166, 1) = 3.8475220529773013, (166, 2) = .19868901885057327, (167, 0) = .19868901885057327, (167, 1) = 2.936002364645071, (167, 2) = 3.8874507175019253, (168, 0) = 3.8874507175019253, (168, 1) = .19785255284896996, (168, 2) = 2.937078771892623, (169, 0) = 2.937078771892623, (169, 1) = 3.9273793820265497, (169, 2) = .19702466642657965, (170, 0) = .19702466642657965, (170, 1) = 2.9381185047823974, (170, 2) = 3.9716538441666662, (171, 0) = 3.9716538441666662, (171, 1) = .19611630729093374, (171, 2) = 2.9392344405705826, (172, 0) = 2.9392344405705826, (172, 1) = 4.015928306306783, (172, 2) = .19521772338608318, (173, 0) = .19521772338608318, (173, 1) = 2.9403164785831475, (173, 2) = 4.0602027684469, (174, 0) = 4.0602027684469, (174, 1) = .19432859021468576, (174, 2) = 2.9413689024427505, (175, 0) = 2.9413689024427505, (175, 1) = 4.104477230587017, (175, 2) = .1934486111423583, (176, 0) = .1934486111423583, (176, 1) = 2.942395474374902, (176, 2) = 4.15411137206019, (177, 0) = 4.15411137206019, (177, 1) = .1924726588724664, (177, 2) = 2.9435195785334676, (178, 0) = 2.9435195785334676, (178, 1) = 4.203745513533364, (178, 2) = .1915075600776147, (179, 0) = .1915075600776147, (179, 1) = 2.9446186198795035, (179, 2) = 4.253379655006537, (180, 0) = 4.253379655006537, (180, 1) = .19055303258142456, (180, 2) = 2.9456953000486816, (181, 0) = 2.9456953000486816, (181, 1) = 4.303013796479711, (181, 2) = .18960881207121646, (182, 0) = .18960881207121646, (182, 1) = 2.9467520114119576, (182, 2) = 4.359299845755834, (183, 0) = 4.359299845755834, (183, 1) = .1885502106934767, (183, 2) = 2.9479287969626125, (184, 0) = 2.9479287969626125, (184, 1) = 4.415585895031958, (184, 2) = .1875042406631604, (185, 0) = .1875042406631604, (185, 1) = 2.9490846491165312, (185, 2) = 4.471871944308081, (186, 0) = 4.471871944308081, (186, 1) = .18647061798892903, (186, 2) = 2.9502211862185117, (187, 0) = 2.9502211862185117, (187, 1) = 4.5281579935842045, (187, 2) = .1854490697951694, (188, 0) = .1854490697951694, (188, 1) = 2.9513398946070737, (188, 2) = 4.592598163431405, (189, 0) = 4.592598163431405, (189, 1) = .18429402112867296, (189, 2) = 2.9526005066473537, (190, 0) = 2.9526005066473537, (190, 1) = 4.657038333278605, (190, 2) = .18315410798404075, (191, 0) = .18315410798404075, (191, 1) = 2.953840776225838, (191, 2) = 4.721478503125805, (192, 0) = 4.721478503125805, (192, 1) = .18202900043597736, (192, 2) = 2.955061660679748, (193, 0) = 2.955061660679748, (193, 1) = 4.785918672973006, (193, 2) = .18091837602450384, (194, 0) = .18091837602450384, (194, 1) = 2.956264132659559, (194, 2) = 4.859679614110352, (195, 0) = 4.859679614110352, (195, 1) = .17966448223402004, (195, 2) = 2.9576191950615467, (196, 0) = 2.9576191950615467, (196, 1) = 4.933440555247698, (196, 2) = .1784287216518401, (197, 0) = .1784287216518401, (197, 1) = 2.958952244049499, (197, 2) = 5.007201496385043, (198, 0) = 5.007201496385043, (198, 1) = .1772106815987885, (198, 2) = 2.960263896732423, (199, 0) = 2.960263896732423, (199, 1) = 5.0809624375223885, (199, 2) = .1760099556582413, (200, 0) = .1760099556582413, (200, 1) = 2.961554917941637, (200, 2) = 5.163339652594451, (201, 0) = 5.163339652594451, (201, 1) = .17468894503842072, (201, 2) = 2.9629734863776735, (202, 0) = 2.9629734863776735, (202, 1) = 5.245716867666514, (202, 2) = .1733885174204394, (203, 0) = .1733885174204394, (203, 1) = 2.964368088582786, (203, 2) = 5.328094082738576, (204, 0) = 5.328094082738576, (204, 1) = .17210817900265843, (204, 2) = 2.96573918157493, (205, 0) = 2.96573918157493, (205, 1) = 5.410471297810639, (205, 2) = .17084744179992908, (206, 0) = .17084744179992908, (206, 1) = 2.9670874973977686, (206, 2) = 5.49808629521452, (207, 0) = 5.49808629521452, (207, 1) = .16952751483794967, (207, 2) = 2.968497683604801, (208, 0) = 2.968497683604801, (208, 1) = 5.585701292618403, (208, 2) = .16822868128945515, (209, 0) = .16822868128945515, (209, 1) = 2.96988376461216, (209, 2) = 5.673316290022285, (210, 0) = 5.673316290022285, (210, 1) = .16695042701431329, (210, 2) = 2.9712460917263934, (211, 0) = 2.9712460917263934, (211, 1) = 5.760931287426167, (211, 2) = .16569224260075294, (212, 0) = .16569224260075294, (212, 1) = 2.972585377455728, (212, 2) = 5.850815777397728, (213, 0) = 5.850815777397728, (213, 1) = .16442179655547282, (213, 2) = 2.9739365365532233, (214, 0) = 2.9739365365532233, (214, 1) = 5.940700267369291, (214, 2) = .16317144191963348, (215, 0) = .16317144191963348, (215, 1) = 2.9752650053078415, (215, 2) = 6.030584757340852, (216, 0) = 6.030584757340852, (216, 1) = .16194069657257465, (216, 2) = 2.9765710478104883, (217, 0) = 2.9765710478104883, (217, 1) = 6.120469247312414, (217, 2) = .16072908179346757, (218, 0) = .16072908179346757, (218, 1) = 2.9778553195552604, (218, 2) = 6.211662238252436, (219, 0) = 6.211662238252436, (219, 1) = .1595188926183553, (219, 2) = 2.9791371153978887, (220, 0) = 2.9791371153978887, (220, 1) = 6.302855229192458, (220, 2) = .15832745028113318, (221, 0) = .15832745028113318, (221, 1) = 2.9803979404929968, (221, 2) = 6.394048220132479, (222, 0) = 6.394048220132479, (222, 1) = .15715431583973505, (222, 2) = 2.98163798645929, (223, 0) = 2.98163798645929, (223, 1) = 6.485241211072501, (223, 2) = .15599905258104424, (224, 0) = .15599905258104424, (224, 1) = 2.9828578462794613, (224, 2) = 6.5774764201281775, (225, 0) = 6.5774764201281775, (225, 1) = .15484832255712652, (225, 2) = 2.984072134152188, (226, 0) = 2.984072134152188, (226, 1) = 6.669711629183855, (226, 2) = .15371501762488315, (227, 0) = .15371501762488315, (227, 1) = 2.9852670935510535, (227, 2) = 6.761946838239531, (228, 0) = 6.761946838239531, (228, 1) = .15259874030116494, (228, 2) = 2.986442854840476, (229, 0) = 2.986442854840476, (229, 1) = 6.8541820472952075, (229, 2) = .15149909437937817, (230, 0) = .15149909437937817, (230, 1) = 2.987599953737316, (230, 2) = 6.947397386964395, (231, 0) = 6.947397386964395, (231, 1) = .15040425903824592, (231, 2) = 2.9887513554643035, (232, 0) = 2.9887513554643035, (232, 1) = 7.040612726633583, (232, 2) = .14932563310284283, (233, 0) = .14932563310284283, (233, 1) = 2.9898849143407182, (233, 2) = 7.13382806630277, (234, 0) = 7.13382806630277, (234, 1) = .14826285616117232, (234, 2) = 2.991000708397239, (235, 0) = 2.991000708397239, (235, 1) = 7.2270434059719575, (235, 2) = .1472155683170778, (236, 0) = .1472155683170778, (236, 1) = 2.992099223299339, (236, 2) = 7.321230060847515, (237, 0) = 7.321230060847515, (237, 1) = .1461727342913193, (237, 2) = 2.993192556729732, (238, 0) = 2.993192556729732, (238, 1) = 7.415416715723074, (238, 2) = .1451450068675212, (239, 0) = .1451450068675212, (239, 1) = 2.9942693775450913, (239, 2) = 7.509603370598633, (240, 0) = 7.509603370598633, (240, 1) = .14413205831764966, (240, 2) = 2.995329718885447, (241, 0) = 2.995329718885447, (241, 1) = 7.603790025474191, (241, 2) = .14313356082938558, (242, 0) = .14313356082938558, (242, 1) = 2.9963740230105134, (242, 2) = 7.6989655248912365, (243, 0) = 7.6989655248912365, (243, 1) = .14213892631589162, (243, 2) = 2.997413882468587, (244, 0) = 2.997413882468587, (244, 1) = 7.794141024308282, (244, 2) = .14115840277011998, (245, 0) = .14115840277011998, (245, 1) = 2.9984384170096603, (245, 2) = 7.889316523725328, (246, 0) = 7.889316523725328, (246, 1) = .14019169115485172, (246, 2) = 2.9994476212009107, (247, 0) = 2.9994476212009107, (247, 1) = 7.984492023142374, (247, 2) = .13923849188092896, (248, 0) = .13923849188092896, (248, 1) = 3.000441899761024, (248, 2) = 8.080690621656966, (249, 0) = 8.080690621656966, (249, 1) = .13828847166293992, (249, 2) = 3.001432546524942, (250, 0) = 3.001432546524942, (250, 1) = 8.17688922017156, (250, 2) = .1373516650171985, (251, 0) = .1373516650171985, (251, 1) = 3.002408928474348, (251, 2) = 8.273087818686154, (252, 0) = 8.273087818686154, (252, 1) = .1364277980656317, (252, 2) = 3.003371007064013, (253, 0) = 3.003371007064013, (253, 1) = 8.369286417200748, (253, 2) = .13551659602095714, (254, 0) = .13551659602095714, (254, 1) = 3.0043191545545747, (254, 2) = 8.466560313900638, (255, 0) = 8.466560313900638, (255, 1) = .13460780588671795, (255, 2) = 3.005264551626789, (256, 0) = 3.005264551626789, (256, 1) = 8.563834210600527, (256, 2) = .13371142213308196, (257, 0) = .13371142213308196, (257, 1) = 3.0061966292657063, (257, 2) = 8.661108107300418, (258, 0) = 8.661108107300418, (258, 1) = .1328271929091004, (258, 2) = 3.0071153205709775, (259, 0) = 3.0071153205709775, (259, 1) = 8.758382004000307, (259, 2) = .13195486518947824, (260, 0) = .13195486518947824, (260, 1) = 3.008020969794317, (260, 2) = 8.856801895892394, (261, 0) = 8.856801895892394, (261, 1) = .1310841138926368, (261, 2) = 3.0089248052520903, (262, 0) = 3.0089248052520903, (262, 1) = 8.955221787784481, (262, 2) = .13022504459033893, (263, 0) = .13022504459033893, (263, 1) = 3.009816163287251, (263, 2) = 9.053641679676566, (264, 0) = 9.053641679676566, (264, 1) = .129377424677843, (264, 2) = 3.0106949528506006, (265, 0) = 3.0106949528506006, (265, 1) = 9.152061571568654, (265, 2) = .1285410201887651, (266, 0) = .1285410201887651, (266, 1) = 3.0115614940965685, (266, 2) = 9.251719897437459, (267, 0) = 9.251719897437459, (267, 1) = .1277052787283953, (267, 2) = 3.012427225310521, (268, 0) = 3.012427225310521, (268, 1) = 9.351378223306265, (268, 2) = .1268805714839593, (269, 0) = .1268805714839593, (269, 1) = 3.0132812271364284, (269, 2) = 9.45103654917507, (270, 0) = 9.45103654917507, (270, 1) = .12606668260701, (270, 2) = 3.0141233881336946, (271, 0) = 3.0141233881336946, (271, 1) = 9.550694875043876, (271, 2) = .12526339476639048, (272, 0) = .12526339476639048, (272, 1) = 3.014954007846169, (272, 2) = 9.651708570525894, (273, 0) = 9.651708570525894, (273, 1) = .12445977645651632, (273, 2) = 3.015784892090056, (274, 0) = 3.015784892090056, (274, 1) = 9.752722266007915, (274, 2) = .12366661584754343, (275, 0) = .12366661584754343, (275, 1) = 3.016604708961747, (275, 2) = 9.853735961489935, (276, 0) = 9.853735961489935, (276, 1) = .12288371160290919, (276, 2) = 3.0174133300455286, (277, 0) = 3.0174133300455286, (277, 1) = 9.954749656971954, (277, 2) = .12211086083957598, (278, 0) = .12211086083957598, (278, 1) = 3.0182110374151154, (278, 2) = 10.057264911630828, (279, 0) = 10.057264911630828, (279, 1) = .12133659082449595, (279, 2) = 3.0190101715749886, (280, 0) = 3.0190101715749886, (280, 1) = 10.159780166289702, (280, 2) = .12057226900577965, (281, 0) = .12057226900577965, (281, 1) = 3.019798820733956, (281, 2) = 10.262295420948575, (282, 0) = 10.262295420948575, (282, 1) = .11981770651135228, (282, 2) = 3.020576842646774, (283, 0) = 3.020576842646774, (283, 1) = 10.36481067560745, (283, 2) = .11907271290907263, (284, 0) = .11907271290907263, (284, 1) = 3.021344504798576, (284, 2) = 10.46900745674079, (285, 0) = 10.46900745674079, (285, 1) = .11832510758982556, (285, 2) = 3.0221148532412108, (286, 0) = 3.0221148532412108, (286, 1) = 10.573204237874133, (286, 2) = .11758700452535928, (287, 0) = .11758700452535928, (287, 1) = 3.022875224595573, (287, 2) = 10.677401019007476, (288, 0) = 10.677401019007476, (288, 1) = .11685822541997815, (288, 2) = 3.02362546574413, (289, 0) = 3.02362546574413, (289, 1) = 10.781597800140817, (289, 2) = .11613859044930648, (290, 0) = .11613859044930648, (290, 1) = 3.024365832269538, (290, 2) = 10.887696568815235, (291, 0) = 10.887696568815235, (291, 1) = .11541502835790642, (291, 2) = 3.025110262346421, (292, 0) = 3.025110262346421, (292, 1) = 10.993795337489654, (292, 2) = .11470058371034211, (293, 0) = .11470058371034211, (293, 1) = 3.0258451526312395, (293, 2) = 11.099894106164072}, datatype = float[8], order = C_order)), ( 15 ) = ("rkf45"), ( 14 ) = ([0, 0]), ( 19 ) = (0), ( 16 ) = ([0, 0, 0, 0, 0, 0, []]), ( 17 ) = ([proc (N, X, Y, YP) option `[Y[1] = r(t), Y[2] = varphi(t)]`; YP[1] := -1-cos(Y[2]); YP[2] := -1+sin(Y[2])/Y[1]; 0 end proc, -1, 0, 0, 0, 0, 0, 0, 0, 0, 0, 0]), ( 22 ) = (0), ( 23 ) = (0), ( 20 ) = ([]), ( 21 ) = (0), ( 27 ) = (""), ( 26 ) = (Array(1..0, {})), ( 25 ) = (Array(1..0, {})), ( 24 ) = (0), ( 28 ) = (0)  ] )), ( 4 ) = (3)  ] ); _y0 := Array(0..2, {(1) = 0., (2) = 2.0}); _vmap := array( 1 .. 2, [( 1 ) = (1), ( 2 ) = (2)  ] ); _x0 := _dtbl[1][5][5]; _n := _dtbl[1][4][1]; _ne := _dtbl[1][4][3]; _nd := _dtbl[1][4][4]; _nv := _dtbl[1][4][16]; if not type(_xout, 'numeric') then if member(_xout, ["start", "left", "right"]) then if _Env_smart_dsolve_numeric = true or _dtbl[1][4][10] = 1 then if _xout = "left" then if type(_dtbl[2], 'table') then return _dtbl[2][5][1] end if elif _xout = "right" then if type(_dtbl[3], 'table') then return _dtbl[3][5][1] end if end if end if; return _dtbl[1][5][5] elif _xout = "method" then return _dtbl[1][15] elif _xout = "storage" then return evalb(_dtbl[1][4][10] = 1) elif _xout = "leftdata" then if not type(_dtbl[2], 'array') then return NULL else return eval(_dtbl[2]) end if elif _xout = "rightdata" then if not type(_dtbl[3], 'array') then return NULL else return eval(_dtbl[3]) end if elif _xout = "enginedata" then return eval(_dtbl[1]) elif _xout = "enginereset" then _dtbl[2] := evaln(_dtbl[2]); _dtbl[3] := evaln(_dtbl[3]); return NULL elif _xout = "initial" then return procname(_y0[0]) elif _xout = "laxtol" then return _dtbl[`if`(member(_dtbl[4], {2, 3}), _dtbl[4], 1)][5][18] elif _xout = "numfun" then return `if`(member(_dtbl[4], {2, 3}), _dtbl[_dtbl[4]][4][18], 0) elif _xout = "parameters" then return [seq(_y0[_n+_i], _i = 1 .. nops(_pars))] elif _xout = "initial_and_parameters" then return procname(_y0[0]), [seq(_y0[_n+_i], _i = 1 .. nops(_pars))] elif _xout = "last" then if _dtbl[4] <> 2 and _dtbl[4] <> 3 or _x0-_dtbl[_dtbl[4]][5][1] = 0. then error "no information is available on last computed point" else _xout := _dtbl[_dtbl[4]][5][1] end if elif _xout = "function" then if _dtbl[1][4][33]-2. = 0 then return eval(_dtbl[1][10], 1) else return eval(_dtbl[1][10][1], 1) end if elif _xout = "map" then return copy(_vmap) elif type(_xin, `=`) and type(rhs(_xin), 'list') and member(lhs(_xin), {"initial", "parameters", "initial_and_parameters"}) then _ini, _par := [], []; if lhs(_xin) = "initial" then _ini := rhs(_xin) elif lhs(_xin) = "parameters" then _par := rhs(_xin) elif select(type, rhs(_xin), `=`) <> [] then _par, _ini := selectremove(type, rhs(_xin), `=`) elif nops(rhs(_xin)) < nops(_pars)+1 then error "insufficient data for specification of initial and parameters" else _par := rhs(_xin)[-nops(_pars) .. -1]; _ini := rhs(_xin)[1 .. -nops(_pars)-1] end if; _xout := lhs(_xout); _i := false; if _par <> [] then _i := `dsolve/numeric/process_parameters`(_n, _pars, _par, _y0) end if; if _ini <> [] then _i := `dsolve/numeric/process_initial`(_n-_ne, _ini, _y0, _pars, _vmap) or _i end if; if _i then `dsolve/numeric/SC/reinitialize`(_dtbl, _y0, _n, procname, _pars); if _Env_smart_dsolve_numeric = true and type(_y0[0], 'numeric') and _dtbl[1][4][10] <> 1 then procname("right") := _y0[0]; procname("left") := _y0[0] end if end if; if _xout = "initial" then return [_y0[0], seq(_y0[_vmap[_i]], _i = 1 .. _n-_ne)] elif _xout = "parameters" then return [seq(_y0[_n+_i], _i = 1 .. nops(_pars))] else return [_y0[0], seq(_y0[_vmap[_i]], _i = 1 .. _n-_ne)], [seq(_y0[_n+_i], _i = 1 .. nops(_pars))] end if elif _xin = "eventstop" then if _nv = 0 then error "this solution has no events" end if; _i := _dtbl[4]; if _i <> 2 and _i <> 3 then return 0 end if; if _dtbl[_i][4][10] = 1 and assigned(_dtbl[5-_i]) and _dtbl[_i][4][9] < 100 and 100 <= _dtbl[5-_i][4][9] then _i := 5-_i; _dtbl[4] := _i; _j := round(_dtbl[_i][4][17]); return round(_dtbl[_i][3][1][_j, 1]) elif 100 <= _dtbl[_i][4][9] then _j := round(_dtbl[_i][4][17]); return round(_dtbl[_i][3][1][_j, 1]) else return 0 end if elif _xin = "eventstatus" then if _nv = 0 then error "this solution has no events" end if; _i := [selectremove(proc (a) options operator, arrow; _dtbl[1][3][1][a, 7] = 1 end proc, {seq(_j, _j = 1 .. round(_dtbl[1][3][1][_nv+1, 1]))})]; return ':-enabled' = _i[1], ':-disabled' = _i[2] elif _xin = "eventclear" then if _nv = 0 then error "this solution has no events" end if; _i := _dtbl[4]; if _i <> 2 and _i <> 3 then error "no events to clear" end if; if _dtbl[_i][4][10] = 1 and assigned(_dtbl[5-_i]) and _dtbl[_i][4][9] < 100 and 100 < _dtbl[5-_i][4][9] then _dtbl[4] := 5-_i; _i := 5-_i end if; if _dtbl[_i][4][9] < 100 then error "no events to clear" elif _nv < _dtbl[_i][4][9]-100 then error "event error condition cannot be cleared" else _j := _dtbl[_i][4][9]-100; if irem(round(_dtbl[_i][3][1][_j, 4]), 2) = 1 then error "retriggerable events cannot be cleared" end if; _j := round(_dtbl[_i][3][1][_j, 1]); for _k to _nv do if _dtbl[_i][3][1][_k, 1] = _j then if _dtbl[_i][3][1][_k, 2] = 3 then error "range events cannot be cleared" end if; _dtbl[_i][3][1][_k, 8] := _dtbl[_i][3][1][_nv+1, 8] end if end do; _dtbl[_i][4][17] := 0; _dtbl[_i][4][9] := 0; if _dtbl[1][4][10] = 1 then if _i = 2 then try procname(procname("left")) catch:  end try else try procname(procname("right")) catch:  end try end if end if end if; return  elif type(_xin, `=`) and member(lhs(_xin), {"eventdisable", "eventenable"}) then if _nv = 0 then error "this solution has no events" end if; if type(rhs(_xin), {('list')('posint'), ('set')('posint')}) then _i := {op(rhs(_xin))} elif type(rhs(_xin), 'posint') then _i := {rhs(_xin)} else error "event identifiers must be integers in the range 1..%1", round(_dtbl[1][3][1][_nv+1, 1]) end if; if select(proc (a) options operator, arrow; _nv < a end proc, _i) <> {} then error "event identifiers must be integers in the range 1..%1", round(_dtbl[1][3][1][_nv+1, 1]) end if; _k := {}; for _j to _nv do if member(round(_dtbl[1][3][1][_j, 1]), _i) then _k := `union`(_k, {_j}) end if end do; _i := _k; if lhs(_xin) = "eventdisable" then _dtbl[4] := 0; _j := [evalb(assigned(_dtbl[2]) and member(_dtbl[2][4][17], _i)), evalb(assigned(_dtbl[3]) and member(_dtbl[3][4][17], _i))]; for _k in _i do _dtbl[1][3][1][_k, 7] := 0; if assigned(_dtbl[2]) then _dtbl[2][3][1][_k, 7] := 0 end if; if assigned(_dtbl[3]) then _dtbl[3][3][1][_k, 7] := 0 end if end do; if _j[1] then for _k to _nv+1 do if _k <= _nv and not type(_dtbl[2][3][4][_k, 1], 'undefined') then userinfo(3, {'events', 'eventreset'}, `reinit #2, event code `, _k, ` to defined init `, _dtbl[2][3][4][_k, 1]); _dtbl[2][3][1][_k, 8] := _dtbl[2][3][4][_k, 1] elif _dtbl[2][3][1][_k, 2] = 0 and irem(iquo(round(_dtbl[2][3][1][_k, 4]), 32), 2) = 1 then userinfo(3, {'events', 'eventreset'}, `reinit #2, event code `, _k, ` to rate hysteresis init `, _dtbl[2][5][24]); _dtbl[2][3][1][_k, 8] := _dtbl[2][5][24] elif _dtbl[2][3][1][_k, 2] = 0 and irem(iquo(round(_dtbl[2][3][1][_k, 4]), 2), 2) = 0 then userinfo(3, {'events', 'eventreset'}, `reinit #2, event code `, _k, ` to initial init `, _x0); _dtbl[2][3][1][_k, 8] := _x0 else userinfo(3, {'events', 'eventreset'}, `reinit #2, event code `, _k, ` to fireinitial init `, _x0-1); _dtbl[2][3][1][_k, 8] := _x0-1 end if end do; _dtbl[2][4][17] := 0; _dtbl[2][4][9] := 0; if _dtbl[1][4][10] = 1 then procname(procname("left")) end if end if; if _j[2] then for _k to _nv+1 do if _k <= _nv and not type(_dtbl[3][3][4][_k, 2], 'undefined') then userinfo(3, {'events', 'eventreset'}, `reinit #3, event code `, _k, ` to defined init `, _dtbl[3][3][4][_k, 2]); _dtbl[3][3][1][_k, 8] := _dtbl[3][3][4][_k, 2] elif _dtbl[3][3][1][_k, 2] = 0 and irem(iquo(round(_dtbl[3][3][1][_k, 4]), 32), 2) = 1 then userinfo(3, {'events', 'eventreset'}, `reinit #3, event code `, _k, ` to rate hysteresis init `, _dtbl[3][5][24]); _dtbl[3][3][1][_k, 8] := _dtbl[3][5][24] elif _dtbl[3][3][1][_k, 2] = 0 and irem(iquo(round(_dtbl[3][3][1][_k, 4]), 2), 2) = 0 then userinfo(3, {'events', 'eventreset'}, `reinit #3, event code `, _k, ` to initial init `, _x0); _dtbl[3][3][1][_k, 8] := _x0 else userinfo(3, {'events', 'eventreset'}, `reinit #3, event code `, _k, ` to fireinitial init `, _x0+1); _dtbl[3][3][1][_k, 8] := _x0+1 end if end do; _dtbl[3][4][17] := 0; _dtbl[3][4][9] := 0; if _dtbl[1][4][10] = 1 then procname(procname("right")) end if end if else for _k in _i do _dtbl[1][3][1][_k, 7] := 1 end do; _dtbl[2] := evaln(_dtbl[2]); _dtbl[3] := evaln(_dtbl[3]); _dtbl[4] := 0; if _dtbl[1][4][10] = 1 then if _x0 <= procname("right") then try procname(procname("right")) catch:  end try end if; if procname("left") <= _x0 then try procname(procname("left")) catch:  end try end if end if end if; return  elif type(_xin, `=`) and lhs(_xin) = "eventfired" then if not type(rhs(_xin), 'list') then error "'eventfired' must be specified as a list" end if; if _nv = 0 then error "this solution has no events" end if; if _dtbl[4] <> 2 and _dtbl[4] <> 3 then error "'direction' must be set prior to calling/setting 'eventfired'" end if; _i := _dtbl[4]; _val := NULL; if not assigned(_EnvEventRetriggerWarned) then _EnvEventRetriggerWarned := false end if; for _k in rhs(_xin) do if type(_k, 'integer') then _src := _k elif type(_k, 'integer' = 'anything') and type(evalf(rhs(_k)), 'numeric') then _k := lhs(_k) = evalf[max(Digits, 18)](rhs(_k)); _src := lhs(_k) else error "'eventfired' entry is not valid: %1", _k end if; if _src < 1 or round(_dtbl[1][3][1][_nv+1, 1]) < _src then error "event identifiers must be integers in the range 1..%1", round(_dtbl[1][3][1][_nv+1, 1]) end if; _src := {seq(`if`(_dtbl[1][3][1][_j, 1]-_src = 0., _j, NULL), _j = 1 .. _nv)}; if nops(_src) <> 1 then error "'eventfired' can only be set/queried for root-finding events and time/interval events" end if; _src := _src[1]; if _dtbl[1][3][1][_src, 2] <> 0. and _dtbl[1][3][1][_src, 2]-2. <> 0. then error "'eventfired' can only be set/queried for root-finding events and time/interval events" elif irem(round(_dtbl[1][3][1][_src, 4]), 2) = 1 then if _EnvEventRetriggerWarned = false then WARNING(`'eventfired' has no effect on events that retrigger`) end if; _EnvEventRetriggerWarned := true end if; if _dtbl[_i][3][1][_src, 2] = 0 and irem(iquo(round(_dtbl[_i][3][1][_src, 4]), 32), 2) = 1 then _val := _val, undefined elif type(_dtbl[_i][3][4][_src, _i-1], 'undefined') or _i = 2 and _dtbl[2][3][1][_src, 8] < _dtbl[2][3][4][_src, 1] or _i = 3 and _dtbl[3][3][4][_src, 2] < _dtbl[3][3][1][_src, 8] then _val := _val, _dtbl[_i][3][1][_src, 8] else _val := _val, _dtbl[_i][3][4][_src, _i-1] end if; if type(_k, `=`) then if _dtbl[_i][3][1][_src, 2] = 0 and irem(iquo(round(_dtbl[_i][3][1][_src, 4]), 32), 2) = 1 then error "cannot set event code for a rate hysteresis event" end if; userinfo(3, {'events', 'eventreset'}, `manual set event code `, _src, ` to value `, rhs(_k)); _dtbl[_i][3][1][_src, 8] := rhs(_k); _dtbl[_i][3][4][_src, _i-1] := rhs(_k) end if end do; return [_val] elif type(_xin, `=`) and lhs(_xin) = "direction" then if not member(rhs(_xin), {-1, 1, ':-left', ':-right'}) then error "'direction' must be specified as either '1' or 'right' (positive) or '-1' or 'left' (negative)" end if; _src := `if`(_dtbl[4] = 2, -1, `if`(_dtbl[4] = 3, 1, undefined)); _i := `if`(member(rhs(_xin), {1, ':-right'}), 3, 2); _dtbl[4] := _i; _dtbl[_i] := `dsolve/numeric/SC/IVPdcopy`(_dtbl[1], `if`(assigned(_dtbl[_i]), _dtbl[_i], NULL)); if 0 < _nv then for _j to _nv+1 do if _j <= _nv and not type(_dtbl[_i][3][4][_j, _i-1], 'undefined') then userinfo(3, {'events', 'eventreset'}, `reinit #4, event code `, _j, ` to defined init `, _dtbl[_i][3][4][_j, _i-1]); _dtbl[_i][3][1][_j, 8] := _dtbl[_i][3][4][_j, _i-1] elif _dtbl[_i][3][1][_j, 2] = 0 and irem(iquo(round(_dtbl[_i][3][1][_j, 4]), 32), 2) = 1 then userinfo(3, {'events', 'eventreset'}, `reinit #4, event code `, _j, ` to rate hysteresis init `, _dtbl[_i][5][24]); _dtbl[_i][3][1][_j, 8] := _dtbl[_i][5][24] elif _dtbl[_i][3][1][_j, 2] = 0 and irem(iquo(round(_dtbl[_i][3][1][_j, 4]), 2), 2) = 0 then userinfo(3, {'events', 'eventreset'}, `reinit #4, event code `, _j, ` to initial init `, _x0); _dtbl[_i][3][1][_j, 8] := _x0 else userinfo(3, {'events', 'eventreset'}, `reinit #4, event code `, _j, ` to fireinitial init `, _x0-2*_i+5.0); _dtbl[_i][3][1][_j, 8] := _x0-2*_i+5.0 end if end do end if; return _src elif _xin = "eventcount" then if _dtbl[1][3][1] = 0 or _dtbl[4] <> 2 and _dtbl[4] <> 3 then return 0 else return round(_dtbl[_dtbl[4]][3][1][_nv+1, 12]) end if elif type(_xin, `=`) and lhs(_xin) = "setdatacallback" then if not type(rhs(_xin), 'nonegint') then error "data callback must be a nonnegative integer (address)" end if; _dtbl[1][28] := rhs(_xin) else return "procname" end if end if; if _xout = _x0 then return [_x0, seq(evalf(_dtbl[1][6][_vmap[_i]]), _i = 1 .. _n-_ne)] end if; _i := `if`(_x0 <= _xout, 3, 2); if _xin = "last" and 0 < _dtbl[_i][4][9] and _dtbl[_i][4][9] < 100 then _dat := eval(_dtbl[_i], 2); _j := _dat[4][20]; return [_dat[11][_j, 0], seq(_dat[11][_j, _vmap[_i]], _i = 1 .. _n-_ne-_nd), seq(_dat[8][1][_vmap[_i]], _i = _n-_ne-_nd+1 .. _n-_ne)] end if; if not type(_dtbl[_i], 'array') then _dtbl[_i] := `dsolve/numeric/SC/IVPdcopy`(_dtbl[1], `if`(assigned(_dtbl[_i]), _dtbl[_i], NULL)); if 0 < _nv then for _j to _nv+1 do if _j <= _nv and not type(_dtbl[_i][3][4][_j, _i-1], 'undefined') then userinfo(3, {'events', 'eventreset'}, `reinit #5, event code `, _j, ` to defined init `, _dtbl[_i][3][4][_j, _i-1]); _dtbl[_i][3][1][_j, 8] := _dtbl[_i][3][4][_j, _i-1] elif _dtbl[_i][3][1][_j, 2] = 0 and irem(iquo(round(_dtbl[_i][3][1][_j, 4]), 32), 2) = 1 then userinfo(3, {'events', 'eventreset'}, `reinit #5, event code `, _j, ` to rate hysteresis init `, _dtbl[_i][5][24]); _dtbl[_i][3][1][_j, 8] := _dtbl[_i][5][24] elif _dtbl[_i][3][1][_j, 2] = 0 and irem(iquo(round(_dtbl[_i][3][1][_j, 4]), 2), 2) = 0 then userinfo(3, {'events', 'eventreset'}, `reinit #5, event code `, _j, ` to initial init `, _x0); _dtbl[_i][3][1][_j, 8] := _x0 else userinfo(3, {'events', 'eventreset'}, `reinit #5, event code `, _j, ` to fireinitial init `, _x0-2*_i+5.0); _dtbl[_i][3][1][_j, 8] := _x0-2*_i+5.0 end if end do end if end if; if _xin <> "last" then if 0 < 0 then if `dsolve/numeric/checkglobals`(op(_dtbl[1][14]), _pars, _n, _y0) then `dsolve/numeric/SC/reinitialize`(_dtbl, _y0, _n, procname, _pars, _i) end if end if; if _dtbl[1][4][7] = 0 then error "parameters must be initialized before solution can be computed" end if end if; _dat := eval(_dtbl[_i], 2); _dtbl[4] := _i; try _src := `dsolve/numeric/SC/IVPrun`(_dat, _xout) catch: userinfo(2, `dsolve/debug`, print(`Exception in solnproc:`, [lastexception][2 .. -1])); error  end try; if _dat[17] <> _dtbl[1][17] then _dtbl[1][17] := _dat[17]; _dtbl[1][10] := _dat[10] end if; if _src = 0 and 100 < _dat[4][9] then _val := _dat[3][1][_nv+1, 8] else _val := _dat[11][_dat[4][20], 0] end if; if _src <> 0 or _dat[4][9] <= 0 then _dtbl[1][5][1] := _xout else _dtbl[1][5][1] := _val end if; if _i = 3 and _val < _xout then Rounding := -infinity; if _dat[4][9] = 1 then error "cannot evaluate the solution further right of %1, probably a singularity", evalf[8](_val) elif _dat[4][9] = 2 then error "cannot evaluate the solution further right of %1, maxfun limit exceeded (see ?dsolve,maxfun for details)", evalf[8](_val) elif _dat[4][9] = 3 then if _dat[4][25] = 3 then error "cannot evaluate the solution past the initial point, problem may be initially singular or improperly set up" else error "cannot evaluate the solution past the initial point, problem may be complex, initially singular or improperly set up" end if elif _dat[4][9] = 4 then error "cannot evaluate the solution further right of %1, accuracy goal cannot be achieved with specified 'minstep'", evalf[8](_val) elif _dat[4][9] = 5 then error "cannot evaluate the solution further right of %1, too many step failures, tolerances may be too loose for problem", evalf[8](_val) elif _dat[4][9] = 6 then error "cannot evaluate the solution further right of %1, cannot downgrade delay storage for problems with delay derivative order > 1, try increasing delaypts", evalf[8](_val) elif _dat[4][9] = 10 then error "cannot evaluate the solution further right of %1, interrupt requested", evalf[8](_val) elif 100 < _dat[4][9] then if _dat[4][9]-100 = _nv+1 then error "constraint projection failure on event at t=%1", evalf[8](_val) elif _dat[4][9]-100 = _nv+2 then error "index-1 and derivative evaluation failure on event at t=%1", evalf[8](_val) elif _dat[4][9]-100 = _nv+3 then error "maximum number of event iterations reached (%1) at t=%2", round(_dat[3][1][_nv+1, 3]), evalf[8](_val) else if _Env_dsolve_nowarnstop <> true then `dsolve/numeric/warning`(StringTools:-FormatMessage("cannot evaluate the solution further right of %1, event #%2 triggered a halt", evalf[8](_val), round(_dat[3][1][_dat[4][9]-100, 1]))) end if; Rounding := 'nearest'; _xout := _val end if else error "cannot evaluate the solution further right of %1", evalf[8](_val) end if elif _i = 2 and _xout < _val then Rounding := infinity; if _dat[4][9] = 1 then error "cannot evaluate the solution further left of %1, probably a singularity", evalf[8](_val) elif _dat[4][9] = 2 then error "cannot evaluate the solution further left of %1, maxfun limit exceeded (see ?dsolve,maxfun for details)", evalf[8](_val) elif _dat[4][9] = 3 then if _dat[4][25] = 3 then error "cannot evaluate the solution past the initial point, problem may be initially singular or improperly set up" else error "cannot evaluate the solution past the initial point, problem may be complex, initially singular or improperly set up" end if elif _dat[4][9] = 4 then error "cannot evaluate the solution further left of %1, accuracy goal cannot be achieved with specified 'minstep'", evalf[8](_val) elif _dat[4][9] = 5 then error "cannot evaluate the solution further left of %1, too many step failures, tolerances may be too loose for problem", evalf[8](_val) elif _dat[4][9] = 6 then error "cannot evaluate the solution further left of %1, cannot downgrade delay storage for problems with delay derivative order > 1, try increasing delaypts", evalf[8](_val) elif _dat[4][9] = 10 then error "cannot evaluate the solution further right of %1, interrupt requested", evalf[8](_val) elif 100 < _dat[4][9] then if _dat[4][9]-100 = _nv+1 then error "constraint projection failure on event at t=%1", evalf[8](_val) elif _dat[4][9]-100 = _nv+2 then error "index-1 and derivative evaluation failure on event at t=%1", evalf[8](_val) elif _dat[4][9]-100 = _nv+3 then error "maximum number of event iterations reached (%1) at t=%2", round(_dat[3][1][_nv+1, 3]), evalf[8](_val) else if _Env_dsolve_nowarnstop <> true then `dsolve/numeric/warning`(StringTools:-FormatMessage("cannot evaluate the solution further left of %1, event #%2 triggered a halt", evalf[8](_val), round(_dat[3][1][_dat[4][9]-100, 1]))) end if; Rounding := 'nearest'; _xout := _val end if else error "cannot evaluate the solution further left of %1", evalf[8](_val) end if end if; if _EnvInFsolve = true then _dig := _dat[4][26]; if type(_EnvDSNumericSaveDigits, 'posint') then _dat[4][26] := _EnvDSNumericSaveDigits else _dat[4][26] := Digits end if; _Env_dsolve_SC_native := true; if _dat[4][25] = 1 then _i := 1; _dat[4][25] := 2 else _i := _dat[4][25] end if; _val := `dsolve/numeric/SC/IVPval`(_dat, _xout, _src); _dat[4][25] := _i; _dat[4][26] := _dig; [_xout, seq(_val[_vmap[_i]], _i = 1 .. _n-_ne)] else Digits := _dat[4][26]; _val := `dsolve/numeric/SC/IVPval`(eval(_dat, 2), _xout, _src); [_xout, seq(_val[_vmap[_i]], _i = 1 .. _n-_ne)] end if end proc, (2) = Array(0..0, {}), (3) = [t, r(t), varphi(t)], (4) = []}); _vars := _dat[3]; _pars := map(lhs, _dat[4]); _n := nops(_vars)-1; _solnproc := _dat[1]; if not type(_xout, 'numeric') then if member(x_rkf45, ["start", 'start', "method", 'method', "left", 'left', "right", 'right', "leftdata", "rightdata", "enginedata", "eventstop", 'eventstop', "eventclear", 'eventclear', "eventstatus", 'eventstatus', "eventcount", 'eventcount', "laxtol", 'laxtol', "numfun", 'numfun', NULL]) then _res := _solnproc(convert(x_rkf45, 'string')); if 1 < nops([_res]) then return _res elif type(_res, 'array') then return eval(_res, 1) elif _res <> "procname" then return _res end if elif member(x_rkf45, ["last", 'last', "initial", 'initial', "parameters", 'parameters', "initial_and_parameters", 'initial_and_parameters', NULL]) then _xout := convert(x_rkf45, 'string'); _res := _solnproc(_xout); if _xout = "parameters" then return [seq(_pars[_i] = _res[_i], _i = 1 .. nops(_pars))] elif _xout = "initial_and_parameters" then return [seq(_vars[_i+1] = [_res][1][_i+1], _i = 0 .. _n), seq(_pars[_i] = [_res][2][_i], _i = 1 .. nops(_pars))] else return [seq(_vars[_i+1] = _res[_i+1], _i = 0 .. _n)] end if elif type(_xout, `=`) and member(lhs(_xout), ["initial", 'initial', "parameters", 'parameters', "initial_and_parameters", 'initial_and_parameters', NULL]) then _xout := convert(lhs(x_rkf45), 'string') = rhs(x_rkf45); if type(rhs(_xout), 'list') then _res := _solnproc(_xout) else error "initial and/or parameter values must be specified in a list" end if; if lhs(_xout) = "initial" then return [seq(_vars[_i+1] = _res[_i+1], _i = 0 .. _n)] elif lhs(_xout) = "parameters" then return [seq(_pars[_i] = _res[_i], _i = 1 .. nops(_pars))] else return [seq(_vars[_i+1] = [_res][1][_i+1], _i = 0 .. _n), seq(_pars[_i] = [_res][2][_i], _i = 1 .. nops(_pars))] end if elif type(_xout, `=`) and member(lhs(_xout), ["eventdisable", 'eventdisable', "eventenable", 'eventenable', "eventfired", 'eventfired', "direction", 'direction', NULL]) then return _solnproc(convert(lhs(x_rkf45), 'string') = rhs(x_rkf45)) elif _xout = "solnprocedure" then return eval(_solnproc) elif _xout = "sysvars" then return _vars end if; if procname <> unknown then return ('procname')(x_rkf45) else _ndsol := 1; _ndsol := _ndsol; _ndsol := pointto(_dat[2][0]); return ('_ndsol')(x_rkf45) end if end if; try _res := _solnproc(_xout); [seq(_vars[_i+1] = _res[_i+1], _i = 0 .. _n)] catch: error  end try end proc

(3)

plots[odeplot](soln, [r(t), `&varphi;`(t)])

 

plots[odeplot](soln, [[t, r(t)], [t, varphi(t)]])

 

"x(t):=r(t)*cos(`&varphi;`(t)+t)+sin(t);"

proc (t) options operator, arrow, function_assign; r(t)*cos(varphi(t)+t)+sin(t) end proc

(4)

"y(t):=r(t)*sin(`&varphi;`(t)+t)-cos(t);"

proc (t) options operator, arrow, function_assign; r(t)*sin(varphi(t)+t)-cos(t) end proc

(5)

plot(x(t), y(t))

Error, (in plot) unexpected option: r(t)*sin(varphi(t)+t)-cos(t)

 
 

NULL

Download test.mw

@dharr 

I need to think carefully about your advice.

@Kitonum 

Thank you, it works. The command structure is logical. I learned something new again :-).

It's a pleasure to be able to read and understand your two (theoretically correct) solutions in Maple. Now I have a lot of practice to do to progress in using the software. :-)

Here is the source where I found this problem:
Monatshefte für Mathematik, Volume 64, Issue 4, Page 305, https://gdz.sub.uni-goettingen.de/id/PPN362162050_0064

https://doi.org/10.1007/BF01498605
For methodological reasons, I had introduced the goat and the wolf instead of the dots in the source.

@dharr 

Both speeds are constant and equal from the start. The wolf always runs toward the goat.

1 2 3 4 5 6 7 Last Page 1 of 14