salim-barzani

1705 Reputation

9 Badges

1 years, 180 days

MaplePrimes Activity


These are replies submitted by salim-barzani

@dharr  how we can plot is have any relation with trigonometric or hyperbolic  how we can plot this function  really i am intresting if we can plot this what is the shape of plotting?, i will do for  other  case,  if i got problem i will  update

@janhardo construct and chose thus function which make the ode to zero and make table ..

@dharr  i  am agree , i think if i put this picture it will give you notion of it 

 

this is link of paper is open access you can watch

 link-paper

 

C47 := {f[2] = 4/3*(Q^2 - (3*P)*R), f[3] = (4*Q)/27*(-2*Q^2 + (9*P)*R)};
          /                4  2         4    /           2\\ 
  C47 := { f[2] = -4 P R + - Q , f[3] = -- Q \9 P R - 2 Q / }
          \                3            27                 / 

CC := {P = P, Q = Q, R = R};
                  CC := {P = P, Q = Q, R = R}

ode46 := simplify(expand(subs(CC, ode)));
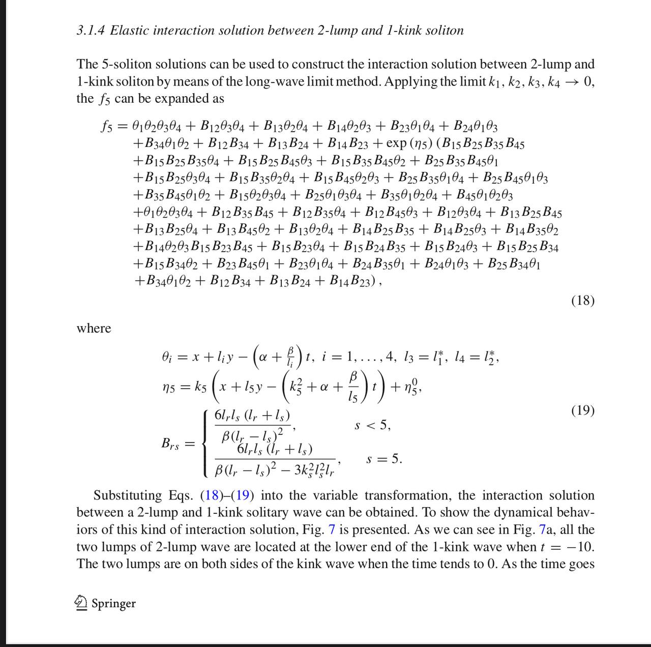
                               /         
ode46 := Typesetting:-mcomplete|F[ξ], 
                               \         

                    /[ d        ]\\            4          2    
  Typesetting:-_Hold|[---- F(xi)]||^2 = P F(xi)  + Q F(xi)  + R
                    \[ dxi      ]//                            


S46 := F(xi) = subs(C47, WeierstrassP(1/P*xi*f[2]*f[3]));
odetest(S46, ode46);
Error, (in WeierstrassP) expecting 3 argum

 

@janhardo  we have to apply long wave limit to eq(4)  and after tht we have to get eq(14) eq(17) eq(18)  beside this for each part of Exp(A[ij}) we have to apply long wave limit to for each B[ij]

@dharr  is been a year i am busy with this but still not any outcome, really i am not sure how to do it and it is making me angry a lot

which i can't find this while i undrestand whole topic but i can't see what missing in here once more i will explain it and i will put papers information if need i will send you i have a lot of them but if one of them come out the other is same, please help me for finding the  idea behind this i try to use Ai and he give me a lot idea but still not working, so lets begin explanations

before a year you and john hardo found this series Eq(4)

but we can't use long wave limit on it to get the function of eq(10), eq(13), eq(14)  eq(17), eq(18),...

i try to use all thus function by hand one by one and  i am not sure if  iam missign but i didn't found any error in using them , the problem is here when i found  for example in eq(5) we have exp(A[ij]) when i apply long wave limit on it it will be change and i used in interaction function of thus equation i mentioned  in top  instead of each B[ij] so exp(A[ij])=B[ij] after long wave limit, but how apply that i am not sure is some paper i did like they did by this method i already use but is not give me answer so i am confusing in here 

in this paper i mention in here i use eq(14) and i used long wave limit  is give me zero and don't have problem also when i use your trick numerically is not give me zero but is so near to zero, but when i used eq(17)  numerically is small variable -0.000034 and i didn't wait a long for not numerically solving by same way i did  , also i did for eq(18) again numerically is small number 0.00230291489 so please tell me which i am write about that or not also if i am true why my outcome is diferent from paper outcome specialy about that B[ij], becuase he mention something is so diferent from my outcome, i will put my file with picture here please watch carfully i will put in here one by one  first eq(40 by 3 maple file also for eq(17) and eq(18)

 

 

 eq14.mw

eq14-function.mw

eq14-function-Bij.mw

eq17.mw

eq17-function.mw

eq18.mw

eq18-function.mw

eq18-function-Bij.mw

also i have a diferent file for that series in case needed that without aplying long wave limit

N-series-Furmula.mw

@janhardo i did a 4 papers all of them have the same problem i did outcome and i am not sure about that limit becuase in some papers are different i will more and i will post in different way maybe i will post 4 papers for showing the different of outcome by applying that limit, but is strange why not give zero even i use the same as paper did

@janhardo  you have to use Eq17 in my file like author did also thus B[ij] come from (expA34) after apply long wave limit which you did in last time and theta[i] and eta[i] is clear in theta[i] just remove thus term have k[i] when i=1,2 but in eta[i] alll remain we have to replace thus part and then must pde be zero as i did  and i did a lot of other paper at there have same problem  i don't know why this issue is happen maybe we are do something wrong in long wave limit part 

@sand15  i change the name and that is the result as you mention, but our outcome is so different from him specially when we change a[ij] to Lambda[ij]  in eq(17), i am intrested a lot to find thus but have a trick which i can't see it

@janhardo  i have to find for all B[ij] becuase i have other function too, this is uncompleted we have to find B[12],B[13], and B[23] one by one and in other function sometime we have B[15] and so on   hence we need generalized this for finding all of them

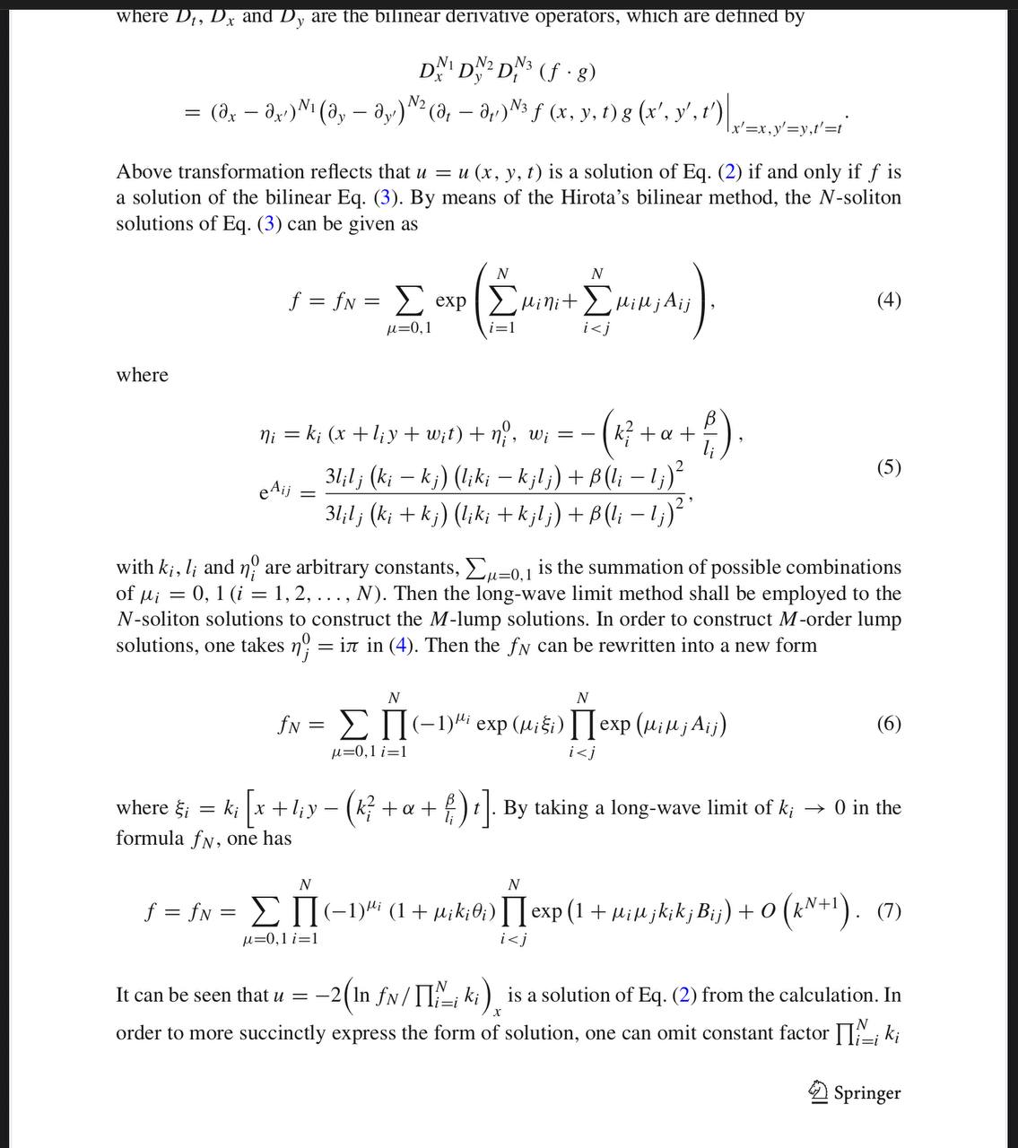
restart;

# Kortere versie
e_ij := ((3*c1*ki*(ki - kj)*lj - c3)*li^2 - 3*(c1*kj*(ki - kj)*lj - (2/3)*c3)*lj*li - c3*lj^2) /
        ((3*c1*ki*(ki + kj)*lj - c3)*li^2 + 3*(c1*kj*(ki + kj)*lj + (2/3)*c3)*lj*li - c3*lj^2);

# Bereken direct B13 met k1 -> 0 limiet
B13_direct := limit((subs(ki=k1, kj=k3, li=l1, lj=l3, e_ij) - 1)/(k1*k3), k1=0);

# Vereenvoudig
B13_result := simplify(B13_direct);

"B_{13} = ";
B13_result;

in this part  if you can use limit for finding B12 and B23 and B13 it will be great can you i think in B12  K[1] and K[2]-->0 and in B13 K[1]-->0 and in B23 K[2]-->0

@dharr  the problem for thus ways is you can do a lot thing which not done before the idea is remains and open you can do anything and use any series combined with another ode which have a lot of solution and constract the ode and pde solution, i  combined the G'/G method with solution of herota bilinear method  and it give me answer of pdes so there is a lot idea is still open  and really if intrested in such topic i can put my 100 on this work with you in future and i am sure with your idea we can construct a lot new methods .  i will put a lot question which really are intresting after new year and really i have to construct a new method  and the graph of solution must be different, i hope  or i wish have a meeting with you and negotation about that topic

@sand15 thanks for your help and explaining that points, thanks a lot.

@dharr  your idea about hundling thus equation are emazing i liked a lot, as i mention before is a little bit long for explanation but i will try, the procces of solving pdes is like that i have transform the pde for two part real and imaginary then i take real part of pdes as my ode and i will use a methods for solving the ode then this solution of my ode will be solution of my pdes automatically becuase of that i use thus analyticall methods and there is a lot of them which i can't do it yet and becuase construct paper i don't have much time, there is some other way for solvng pdes which i don't have idea but the visualization is great i don't know where to start , like lax pair, lie symmetry  and darboux transformation thus are my future work and keep continuos on analytical methods  when something new come up i will try to solve, and really sorry for that if the questions are a little bit similar, in my mind still i am looking for long wave limit too, thank you a lot and any time have any question i will response and is my honor 

@janhardo don't have link yet

@dharr the whole idea is a little bit long becuase of that i didn't mention all, just the place i stuck, @sand15  my questions are different a lot each time i stuck in a place and i figure out i need your help , and i am really true about that without Dr.David and your help i was not success at all, beside this i am work on unpublished work now becuase of that i need to figure out and construct the idea and i am not sure i am stuck at coding a lot but in idea of undrestanding math i don't have issue at all,  i will upload the picture of one of my article but not published yet and i need to find the solution of all of them and each time use a different ode for getting my solution but the solution are different as clear in picture,

about the parameter at least one of the (F) function must not be zero, and the parameter in orginal equation must not be zero , in here again  i used your code for sech&csch is work but when i want to used for sinh and cosh is not worked and there is one of derivative remain  

Dr.D-thanks.mw

1 2 3 4 5 6 7 Last Page 1 of 44